来源:贵州山河勘测设计有限公司
一、基本计算公式
实用堰是水利工程中最常见的堰型之一 。作为挡水及泄水建筑物的溢流坝,就是实用堰的典型例子。低溢流坝常用石料砌筑成折线形(见图8.2c);较 高的溢流坝为了增大过流能力, 一般作成曲线形(见下图);

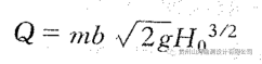
即所谓折线形实用堰和曲线形实用堰。实用堰的计算公式式如下:

但在实际工程中,实用堰常由闸墩及边墩 分隔成为数个等宽的堰孔,如下图所示。此时,公式中的 b=nb’,其 中 :n 为堰孔数;b '为一个堰孔的净宽。当仅有边墩而无闸墩存在时 n=1,b=b'。

由于边墩或闸墩存在,水流流经堰孔时,流线发生侧向收缩,减小了溢流宽 度,增加了局部水头损失。故同样条件下有侧收缩(即有边墩或闸墩存在),堰的 流量较无侧收缩堰的流量为小。通常在公式的右端乘一个系数 ε? ,以考虑侧 收缩对流量的影响, ε?即为侧收缩系数,其值小于1.0。此外,实用堰在应用中还可能出现下游水位过高或下游堰高较小,导致过水 能力减小,即形成所谓淹没出流的情况。这时也是在公式的右端乘上一个淹 没系数σs 来表示淹没的影响,其值也小于1.0。所以计算实用堰的公式应为:

若堰为无侧收缩(e?=1) 和自由出流(σs=1);
二、曲线形实用堰的剖面形状
曲线形实用堰比较合理的剖面形状应当具有下列几个优点:即过水能力大, 堰面不出现过大的负压和经济、稳定。一般情况下,曲线形实用堰的剖面系由下列几个部分组成:上游的直线段AB; 堰顶曲线段 BC; 坡度为 ma=cotα 的下游直线段CD 以及用以和下游河底 连接的反弧段DE,如下图:

上游直线段 AB 常作成垂直的,有时也作成倾斜的。上游直线 AB 的坡度和下游直线CD 的坡度主要根据坝体的稳定和强度要求来选定①。反弧段 DE 的作用是使直线CD 与下游河底平滑连接,避免水流直冲河床;并有利于溢流坝下游的消能。反弧半径 r 的确定,应结合消能型式统一考虑。一般情况下,对于非岩基上高度不大的坝,当水头 H 较大时,可取 r=(0.5~1.0)(Ha+xmax); 对岩基上的高坝,当水头 H<5m 时,可取r=(0.25~0.5)(Ha+xmax)。面设计水头;xmax为最大的上下游水位差。堰顶曲线 BC 对水流特性的影响最大,是设计曲线形实用堰剖面形状的关 键。国内外设计堰剖面形状有许多方法,主要区别就在于曲线段BC如何确定。
如果曲线 BC 作成与同样条件下薄壁堰自由出流的水舌下缘相吻合的形 状,则水流将紧贴堰面下泄,水舌基本上不受堰面形状的影响,堰面压强应为大 气压强(见下图a)。 如果堰面曲线突出于水舌下缘,如下图b所示,

则堰面将顶托水流,水舌不能保持原有的形状,堰面压强应大于大气压强;堰前总水头中 的一部分势能将转换成压能,使转换成水舌动能的有效水头减小,过水能力就会 降低。反之,若堰面低于水舌下缘,溢流水舌将脱离堰顶表面,脱离处空气被水舌带走,堰面形成局部负压区(见图8.9c); 堰顶附近负压区的存在,等于加大了 作用水头,过水能力将增大。但是,堰面过大的负压将会形成空蚀破坏和水舌颤 动。所以,理想的剖面形状应使堰面曲线与薄壁堰水舌下缘吻合。这样既不产 生负压,又有比较大的过水能力。但实际上由于堰面的粗糙度不可避免地对水 舌发生影响,再加上上游水头及水舌形状不会绝对稳定,所以实际采用的剖面形 状都是按薄壁堰水舌下缘曲线稍加修改而成。
三、WES克奥曲线
美国陆军工程兵团 水道试验站(Waterways Experiment Station)的标准剖面,即WES剖面。WES剖面系用曲线方程表示,便于控制;同时,堰剖面较瘦可节省工程量;另外,堰面压强分布比较理想,负压不大,对安全有利。

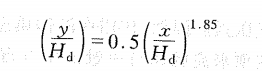
WES 剖面如上图所示。该剖面堰顶O 点下游的曲线由(8.8)式计算, 式中的系数k 及指数n 决定于堰上游面的坡度,当上游面为垂直时k=0.5,n=1.85。代入公式式得:

式中的 Hd为不包括行近流速水头的剖面设计水头,简称设计水头。堰顶O 点上游曲线,采用三段复合圆弧相接。这样做可使堰顶曲线与堰上 游面平滑连接,改善了堰面压强分布,减小了负压。三段复合圆弧的半径 R 及 坐标值如图8.11所示。从上述可知,堰剖面曲线的坐标值(亦即堰剖面的大小)决定于所采用的设 计水头 Ha。但所设计的堰在实际应用时,堰顶水头却是随流量 Q 的改变而在 某一范围(Hmn~Hma) 内变化。因此,选定什么水头作为设计水头 Ha, 才会使 所设计的堰剖面在已知的水头变化范围内工作时,既有较大的流量系数,又不会 使堰面产生过大的负压,这是剖面设计中应当注意的问题。如果以最大水头作设计水头,即Ha=Hmax, 虽然可以保证堰面不出现负 压,但由于实际工作水头总是小于设计水头,堰面压强一般高于大气压强,流量 系数减小;同时,在这种情况下所得出的堰剖面偏肥,显然是不经济的。反之,如 果采用最小水头作设计水头,即 Ha=Hmin; 虽然可以得到较为经济的剖面,但因 实际工作水头往往大于设计水头,堰面会产生较大负压,严重时会危及坝的安 全。所以工程中经常采用的设计水头是 Ha=(0.75~0.95)Hmax。上面所谈的堰剖面,在设计水头下工作时堰面一般不出现负压(或真空),称 为非真空剖面。有一种剖面有意使堰剖面外形略低于溢流水舌的下缘,使堰面 产生一定负压,可以得到较大的流量系数,这种剖面称为真空剖面。本章只介绍 非真空剖面,有关真空剖面的水力计算可参阅水力计算手册。
0人已收藏
1人已打赏
免费3人已点赞
分享
水利工程资料库
返回版块1.37 万条内容 · 233 人订阅
阅读下一篇
水电站混凝土重力坝工程 左岸边坡开挖与支护分部工程 验收鉴定书编号:1-1 ***水电站混凝土重力坝工程 左岸边坡开挖与支护分部工程 验收鉴定书 所属单位工程名称:混凝土重力坝工程 混凝土重力坝工程左岸边坡开挖与支护分部工程验收工作组 2015年8月
回帖成功
经验值 +10
全部回复(1 )
只看楼主 我来说两句 抢板凳多多分享
回复 举报