内支撑的作用?
1.内支撑是在基坑内设置的对围护结构(桩墙)提供支撑力的受力构件或体系;通常是由水平支撑和竖向支承两部分组成的空间结构。
2.当基坑深度较大时,悬臂桩墙的承载力(强度)和变形(刚度)无法满足要求,且坑外的锚拉无法设置或可靠性低时,应对桩墙使用内支撑。
内支撑的材料和截面?
材料(1)钢筋混凝土(2)钢
截面(1)矩形(2)圆管形(3)格构式(4)圆形
钢筋混凝土内支撑的优缺点?
优点:
(1)发挥两种材料的优点(钢筋受拉、混凝土受压)。
(2)挖土空间大,可加快土方挖运速度。
(3)降低工程造价。
(4)不受周边场地不足的限制。
缺点:
(1)自重大。
(2)施工速度较慢(需要支模和混凝土养护)。
(3)不利于材料的回收,对环境有害。
(4)造价比钢内支撑稍高。
钢支撑优缺点?
优点:
(1)自重轻,利于施工,施工速度较快。
(2)可预加力。
(3)造价低,可回收利用,保护环境。
缺点:
(1)刚度小,易失稳,需要竖向支承。
(2)节点安装复杂。




钢-混凝土组合内支撑
(1)根据上述钢支撑和钢筋混凝土支撑的丌同特点以及应用范围,在一定条件下的基坑工程可以充分利用两种材料的特性,采用钢不混凝土组合支撑形式,在确保基坑工程安全前提下,可实现较为合理的经济和工期目标。
(2)钢不混凝土组合支撑体系常用的有两种形式:
A、同层支撑平面内钢和混凝土组合支撑,如在长方形的深基坑中,中部可设置短边方向的钢支撑对撑,施工速度快而且工程造价低,基坑两边如设置钢支撑角撑支撑节点复杂而且刚度低,丌利于控制基坑变形,可采用施工难度低、刚度更大的钢筋混凝土角撑。
B、钢支撑平面不混凝土支撑平面的分层组合的形式。一般情况下深基坑工程第一道支撑采用钢筋混凝土支撑,对减小围护体水平位秱,并保证围护体整体稳定具有重要作用,同时第一道支撑部分区域的支撑杆件经过截面以及配筋的加强即可作为施工栈桥,既方便了施工,又降低了施工技术措施费,第二及以下各道支撑系统为加快施工速度和节约工程造价可采用钢支撑,采用此种组合形式的支撑时,应注意第一道支撑不其下各道支撑平面应上下统一,以便于竖向支承系统的共用以及基坑土方的开挖施工。


内支撑的布置型式?
水平简单对撑

水平角撑

竖向斜撑

平面结构体系(杆系)

平面结构体系(圆环梁)

基坑支护三维分析的荷载
(1)土压力:粘性土由于透水性差,一般水土合算;而无粘性土由于透水性好,一般水土分算。
(2)附加荷载:无限宽度均布荷载按荷载大小*Kai传递(可以理解为增加等效的土层 );行标中有限宽度局部荷载按应力45度扩散方法处理,有的地方标准的扩散角是45°+φ/2 。
(3)三种水压力:静止水压力,渗流水压力1、渗流水压力2(上海规范)特有。
内支撑的施工
顺作法?
以设置两层内支撑的基坑为例,其开挖工况为:
工况1:开挖到第一道支点底标高。
工况2:第一道支点施加预加力。
工况3:开挖到第二道支点底标高。
工况4:第二道支点施加预加力。
工况5:开挖到坑底。
一般来讲,对于设置N道支撑的基坑,
总的开挖工况数=2N+1

内支撑的施工
逆作法?

土钉墙概念及土钉类型
1.概念 :土钉墙由被加固土体、放置在土中的土钉体和面板组成。天然土体通过土钉就地实施加固并与喷射混凝土面板相结合,形成一个类似重力式墙的土挡土墙,以此来抵抗墙后传来的土压力和其他力量,从而使得开挖坡面稳定。我们将这个土墙称为土钉墙。
2.土钉墙的基本结构
(1 )被加固土体
(2 )土钉(钻孔注浆型、直接打入型、打入注浆型)
(3 )面层及连接件(钢筋网或者钢板网)
土钉类型
(1)钻孔注浆型:先用钻机等机械设备在土体中钻孔,成孔后置入杆体(一般采用HRB335/HRB400钢筋制作),然后沿全长注水泥浆。钻孔注浆几乎适用于各种土层,抗拔力较高,质量可靠,造价低,是最常用的土钉类型。在北京基坑支护中一般采用洛阳铲成孔。
(2)直接打入型:在土体中直接打入钢管、角钢等型钢、钢筋、毛竹、圆木等,不再注浆。由于打入式土钉直径小,与土体间的粘结摩阻力强度低,承载力低,钉长又受限制,所以布置较密,可用人力或振动冲击钻、液压锤等机具打入。直接打入钉的优点是不需要预先成孔,对原位土的扰动较小,施工速度快,但在坚硬粘性土中很难打入,不适用于服务年限超过2年的永久性支护工程,杆体材料采用金属材料时造价稍高,目前比较少使用。
(3)打入注浆型:在钢管中部及尾部设置注浆孔成为钢花管,直接打入土中后压灌水泥浆形成土钉。钢管一般采用φ48钢管。钢管注浆土钉具有直接打入土钉的优点且抗拔力较高,特别适合于成孔困难的淤泥、淤泥质土等软弱土层、各种填土及砂土,应用较为广泛,缺点是造价比注浆土钉略高,防腐性能较差不适用于永久性工程。目前在北京,若出现用洛阳铲难以成孔的地层(卵石或房渣土),才会采用这种土钉。


土钉特点?
(1 )能合理利用土体的自稳能力,将土体作为支护结构不可分割的一部分,结构合理。
(2 )结构轻型,柔性大,有良好的抗震性和延性,破坏前有变形的过程。
(3 )密封性好,完全将坡面覆盖,没有裸露土方,阻止或限制了地下水从边坡表面渗出,防止了水土流失及雨水、地下水对边坡的冲刷侵蚀。
(4 )土钉数量多依靠群体作用,即便个别土钉有质量问题或失效对整体影响不大。有研究表明,当某条土钉失效时,其周边土钉中,上排及同排的土钉分担了较大的荷载。
(5 )施工所需场地小,移动灵活,支护结构基本不单独占用空间,能贴近已有建筑物开挖,这是桩、墙等支护形式难以做到的,故在施工场地狭小、建筑距离近、大型护坡施工设备没有足够工作面情况下,显示其独特优越性。
(6 )施工速度快。土钉墙随土方开挖施工,分层分段进行,与土方开挖基本能同步,不需要养护或单独占用施工工期。
(7 )施工设备及工艺简单,不需要复杂的技术和大型机具,施工对周围环境干扰小。
(8 )材料用量及工程量较少,工程造价低。据国内外资料分析,土钉墙工程造价比其他类型支挡结构一般低1/5~1/3 。
(9 )能够与其他支护结构相结合形成,比如“土钉墙+ 桩锚” ,还可以 形成“复合土钉墙”:“土钉墙+ 预应力锚杆”、“土钉墙+ 止水帷幕”、“土钉墙+ 微型桩” 等,大大拓宽了土钉墙的应用范围,得到了广泛的工程应用。
复合土钉墙的常见形式

土钉局限性
(1 )土钉施工时一般要先开挖1 ~2m 深,在喷射混凝土和安装土钉前需要在无支护情况下稳定至少几个小时,因此土层必须有一定的天然“凝聚力”或胶结力,故不适用于没有临时自稳能力的淤泥土层,流塑状态的软粘土。
(2 )不适用于没有放坡开挖条件的基坑。
(3 )对变形要求较为严格的基坑,不适合用土钉墙。土钉墙属于轻型支护结构,土钉、面层的刚度较小,支护体系变形较大。土钉墙不适用于一级基坑。
(4 )较深的基坑。通常认为,土钉墙适用于深度不大于12m 的基坑,除非有比较大的放坡条件。
(5 )对用地红线有严格要求的场地。如果不允许土钉超出红线,也不适合用土钉。
(6 )土钉不适宜在腐蚀性土如煤渣、煤灰、炉渣、酸性矿物废料等土质作永久性支挡结构。
(7 ) 土钉施工时要求坡面无水渗出。若地下水从坡面渗出,则开挖坡面会出现局部坍滑,这样就不可能开成喷射混凝土面。适用于地下水位低于开挖层或经过降水使地下水位低于开挖标高的情况。对于“土钉墙 + 止水帷幕 ”结合,帷幕一般设置在土钉外。
土钉墙设计流程?

(1 )确定采用土钉墙
a )土层确定可以使用土钉墙:人工填土层、粘性土和弱胶结砂土,圆砾、粒径较小砂卵石层。
b )具有放坡开挖条件,地下空间允许使用土钉。
c )对变形要求不是很严格,周边环境不是很复杂。
d )基坑支护深度不超过12.0m ,若放坡比例较大也可超过12.0m 。
(2 )确定土钉墙参数
a )放坡比例:不宜大于1:0.2 。一般采用1:0.3 、1:0.4 、1:0.5 等比例。
b )土钉间距:一般土钉间距为1.5 ×1.5m 。可以根据实际情况局部调整。
c )直径:由成孔方式确定,一般钢筋土钉直径(洛阳铲成孔)100mm ,钢管土钉70/80mm 。
d )土钉杆体材料:钢筋土钉材料HRB400 ,直径16~32mm ,一般18/22mm 较多,钢管土钉杆体一般采用外径42~48mm 、厚度2.5~4.0mm 的热轧或者热处理钢板,48 钢管使用比较多。
e )确定土钉长度及倾角:土钉长度一般是3~12m 。一般是基坑上部及下部土钉较短、中部较长,但为了控制位移,上部土钉也不宜过短。倾角宜5~20 °,一般采用10 °。
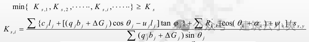
(3 )整体稳定性验算 )整体稳定性验算- 圆弧滑动条分法


整体稳定性验算
安全等级为二级、三级的基坑,K s 不小于1.3、1.25
(4 )基坑支护的设计计算 )基坑支护的设计计算- 土钉抗拔承载力验算
土钉抗拔承载力验算

其中,N k,j 为土钉轴向拉力标准值

K t 为土钉抗拔安全系数,安全等级为二级、三级的基坑,K t 不小于1.6、1.4

土钉抗拔承载力计算
(4 )基坑支护的设计计算 )基坑支护的设计计算- 土钉抗拔承载力验算
土钉抗拔承载力验算
R k,j 为土钉极限抗拔承载力标准值,一般通过试验确定,也可以按下式估算:

土钉杆体抗拉承载力应满足

来源建筑云小爽,如有侵权请联系删除
0人已收藏
0人已打赏
免费0人已点赞
分享
地基基础
返回版块12.11 万条内容 · 717 人订阅
阅读下一篇
挤密桩法处理地基设计一般规定挤密桩法处理地基设计一般规定 1 地基处理设计应依据下列资料和条件进行: ⑴ 搜集掌握场地的岩土工程勘察资料。对湿陷性黄土地基应查明湿陷的类型与等级、湿陷性土层的深度、地基土的含水率、饱和度与干密度等指标;对人工填土地基应查明其分布范围、深度、填土成分以及填土的均匀性、湿陷性和承载力等。必要时,应进行补充勘察。 ⑵ 根据建(构)筑物的分类、上部结构及基础设计资料等,明确地基处理的主要目的和要求。
回帖成功
经验值 +10
全部回复(0 )
只看楼主 我来说两句抢沙发