土木在线论坛 \ 建筑结构 \ 钢结构工程 \ 钢框架-支撑体系设计与选型(一)

钢框架-支撑体系设计与选型(一)

发布于:2024-03-12 14:09:12 来自:建筑结构/钢结构工程 [复制转发]

钢框架-支撑结构体系设计原则

根据支撑布置的不同,钢框架-支撑结构体系又可以细分为钢框架-中心支撑结构体系、钢框架-偏心支撑结构体系、钢框架-偏离支撑结构体系和钢框架-屈曲约束支撑结构体系等。其中,以中心支撑框架和偏心支撑框架最为常见。

支撑的布置应该在最大程度满足建筑使用功能和受力要求的基础上,将支撑布置在最有利于耗能,调节结构刚度的位置,发挥抗震设防第一道防线作用。

总结布置原则有以下几点:

(1)支撑与钢柱及钢梁形成支撑桁架,刚度较大,尽量远离中心布置。

(2)支撑应该布置在整体结构地震作用下受力大的部位。

(3)支撑应该根据结构地震作用下层间位移角进行楼层间布置。

(4)支撑宜根据结构平面形状沿着结构对称轴方向对称布置。

(5)支撑应该根据结构形状特点使结构的质量中心和刚度中心重合,在减小结构的扭转效应的同时保证结构立面刚度均匀,避免形成薄弱层或者应力集中。

(6)支撑应该沿竖向连续布置,并应延伸至计算嵌固端。除底部楼层和伸臂桁架所在楼层外,支撑的形式和布置沿建筑竖向宜一致。

简单来说,布置的原则是:“均匀、对称、连续、周边”。


1.1 中心支撑框架分类及设计方法

中心支撑是常用的支撑类型之一。中心支撑是指斜杆与横梁及柱汇交于一点,或两根斜杆与横梁汇交于一点,或与柱汇交于一点,汇交时均无偏心距。根据斜杆的不同布置,可分为十字交叉支撑、单斜杆支撑、人字形支撑、K形支撑,以及V形支撑等。抗震设计的结构不得采用K形斜杆体系。

图片

中心支撑类型

中心支撑具有较大的侧向刚度,构造相对简单,对减小结构的水平位移和改善结构的内力分布能起到一定的作用。但在水平地震作用下,中心支撑容易产生侧向屈曲,尤其在往复的水平地震作用下,当结构的受力进入弹塑性范围时,楼层的抗剪能力和结构的抗侧刚度急剧下降,层间侧移过度增大,最终导致结构整体失稳破坏。一方面通过严格控制适用建筑高度来规范使用,另一方面,通过提高钢框架的抗侧能力来保证其安全使用。

在实际工程应用中最为常用的中心支撑是人字形支撑和交叉斜杆支撑。与交叉斜杆支撑相比,人字型支撑的支撑杆较短,支撑杆之间不需要连接件,因而可减少制作和安装造价。另外人字型支撑有利于在支撑杆之间开设门窗洞口,更好地满足建筑平面布置的需要。一般地说,人字型支撑结构受力更为高效,在一定的使用范围内,如在常用的楼层高跨比(0.3~0.6)范围内和相同的楼层抗剪强度下,人字型支撑更为经济。

虽然人字型支撑与交叉斜杆支撑相比具有较多优越的特性,但在地震荷载作用下,人字支撑体系塑性性能较差。试验表明,在循环荷载作用下,当人字形支撑的横梁刚度较低时,一旦支撑达到水平极限受力状态,结构的水平承载能力随即大幅下降,通常仅为原来的40%左右。随着横梁刚度的不断增加,这种现象会逐步得到改善。

中心支撑斜杆构造要求及计算方法如下:

(1)长细比要求:中心支撑斜杆的长细比,按压杆设计时,不应大于,一、二、三级中心支撑斜杆不得采用拉杆设计,非抗震设计和四级采用拉杆设计时,其长细比不应大于180。

(2)中心支撑斜杆的板件宽厚比:中心支撑斜杆的板件宽厚比不应大于表3.2.1规定的限值.

图片

(3)支撑斜杆宜采用双轴对称截面。当采用单轴对称截面时,应采取防止绕对称轴屈曲的构造措施。

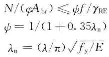
(4)在多遇地震效应组合作用下,支撑斜杆的受压承载力应满足下式要求:

图片
图片

(5)人字形和V形支撑框架应符合下列规定:

- 与支撑相交的横梁,在柱间应保持连续。

- 在确定支撑跨的横梁截面时,不应考虑支撑在跨中的支承作用。横梁除应承受大小等于重力荷载代表值的竖向荷载外,尚应承受跨中节点处两根支撑斜杆分别受拉屈服、受压屈曲所引起的不平衡竖向分力和水平分力的作用。在该不平衡力中,支撑的受压屈曲承载力和受拉屈服承载力应分别按0.3φAfy及Afy计算。为了减小竖向不平衡力引起的梁截面过大,可采用跨层X形支撑或采用拉链柱。

图片

- 在支撑与横梁相交处,梁的上下翼缘应设置侧向支承,该支承应设计成能承受在数值上等于0.02倍的相应翼缘承载力,fybftf的侧向力的作用,fy、bf、tf分别为钢材的屈服强度、翼缘板的宽度和厚度。当梁上为组合楼盖时,梁的上翼缘可不必验算。

(6)当中心支撑构件为填板连接的组合截面时,填板的间距应均匀,每一构件中填板数不得少于2块。且应符合下列规定:

- 当支撑屈曲后会在填板的连接处产生剪力时,两填板之间单肢杆件的长细比不应大于组合支撑杆件控制长细比的0.4倍。填板连接处的总受剪承载力设计值至少应等于单肢杆件的受拉承载力设计值。

- 当支撑屈曲后不在填板连接处产生剪力时,两填板之间单肢杆件的长细比不应大于组合支撑杆件控制长细比的0.75倍。

(7)一、二、三级抗震等级的钢结构,可采用带有耗能装置的中心支撑体系。支撑斜杆的承载力应为耗能装置滑动或屈服时承载力的1.5倍。


1.2 人字形支撑和交叉斜杆支撑经济性对比

上面提到实际工程应用中最为常用的中心支撑是人字形支撑和交叉斜杆支撑,下面采用算例进行不同支撑的经济性比较。比较原则为:所提供刚度一致原则(控制同一位移角,支撑布置位置一致、均布置在结构角部),在此原则下分析该两种中心支撑的经济性。该算例设防烈度为7度(0.10g),层高3.9米,共计15层,总高度58.5m,抗震等级三级,框架柱间距取9m,框架X向、Y向均取为4榀框架。下表为未设置支撑时,纯钢框架计算结果。

纯钢框架时计算参数

图片

采用交叉斜杆中心支撑(斜撑参数为方钢管260x260x12)和人字形中心支撑(斜撑参数为方钢管250x250x10)时,需满足长细比及箱形截面壁板宽厚比要求,控制同位移角参数相近。

图片

交叉斜杆中心支撑布置平面

图片

人字形中心支撑布置平面

交叉斜杆及人字形中心支撑计算参数

图片

由以上计算结果可以得出,在同等刚度的情况下,人字形中心支撑比交叉斜杆中心支撑更为经济


1.3 人字形中心支撑与纯钢框架经济性对比

上述算例得到了以下三个结论:

1、人字形支撑在中心支撑中最为经济;

2、设置中心支撑,在同截面下,设置支撑有效地减少钢框梁的应力比(与支撑相连的钢框梁减少65%左右;与支撑在同一榀内钢梁应力比减少25%左右;与支撑既不相连亦不在同一榀内钢框梁应力比减少20%左右,且离支撑越远,减少越明显);

3、设置中心支撑,在同截面下,设置支撑可以减少钢柱的应力比(减少6%左右)。

课题组进一步将支撑中最为经济的人字形中心支撑与纯钢框架进行经济性比对:

中心支撑布置在钢框架四角,为满足与上述算例——纯钢框架相同刚度(斜撑需满足上述斜撑构造及斜撑应力比要求),通过调试,斜撑截面为170x170x8箱型截面。由于布置斜撑可以显著提高钢框架刚度,故人字形中心支撑框架的梁截面、柱截面均可减小(减小原则为:控制钢框柱、钢框梁应力比接近,周期、位移角接近)。在此情况下,比较两者的经济性。两者计算参数及用钢量统计见下表。从表中计算数据可以得出:通过布置中心支撑可以降低钢框架含钢量,约降低6%。结合钢结构防火防腐,减少钢柱、钢梁截面可以减少防火防腐用量。防火材料一平方米为60元,对于此算例表面积减少了9.1%,全部涂料费用可以节省11.6万,涂料费用可以节省每平方米5.97元。

图片

中心支撑布置平面

纯钢框架与中心支撑框架对比参数

图片



1.4 人字形中心支撑长细比对整体刚度敏感性研究

中心支撑可以显著的提高结构的整体刚度,通过试算发现,当斜撑的长细比在某个范围时,对结构的刚度提高比较敏感,随着斜撑长细比的减小,斜撑对结构的刚度提高开始放缓。基于此种发现,对上述钢框架斜撑模型,通过改变斜撑的长细比来归纳长细比对结构刚度的影响情况,人字形斜撑的截面由180x180x8依次增大至300x300x12。由于位移角及周期平方的倒数(1/T2)可以反映结构的整体刚度,斜撑长细比与位移角、(1/T2)关系见下图。由《高层民用建筑钢结构技术规程》,支撑长细比限值为100(Q345),由下图可知,中心支撑长细比在限值0.7~0.8倍范围取值较为经济合理。


长细比与位移角关系图

图片


长细比与(1/T2)关系图

图片


全部回复(0 )

只看楼主 我来说两句抢沙发

钢结构工程

返回版块

46.53 万条内容 · 1212 人订阅

猜你喜欢

阅读下一篇

挤压机预应力框架压柱变形原因分析

挤压机框架是一个封闭的组合结构,主要由前、后梁、挤压梁和4根压柱组成简称三梁四柱,它是承受挤压力的最基本的构件。组合框架目前常见的有两种形式,一种是带钩头的厚板叠加成的预应力拉杆和受压柱套组合机架;另一种是圆柱形拉杆和受压柱套组合机架,见图1所示。 无论哪种结构,都是通过前梁外侧用预紧专用工具对张力柱加载预紧力使其拉伸,同时压柱受压,整个框架处于预应力的状态。由于预应力结构框架能大大提高液压机的承载能力,因此,预应力组合框架以其自身结构优势成为现代液压机设计中的常用结构。

回帖成功

经验值 +10