引言
市政给排水工程质量的好坏直接影响到整个城市的发展状况,对城市运作、道路建设、交通安全等多个方面都有着显著的影响。市政道路给排水工程作为城市的基础设施,对保证城市的基础发展有着重要意义,人们对城市市政道路给排水工程有着更高的要求。目前多地区出现管道爆管现象,造成居民大面积停水、城市道路涌水及封路,严重影响居民的生活和出行。管道安全问题越来越被更多人重视。对于管道而言,除了要选择满足国家标准的合格产品外,最主要的是规范施工和设计。作为一名合格的设计人员,应该从技术根本上正确指导施工。
市政给排水管道由于材质、管道规模、管道埋深、所处地质层以及受到外部荷载(土体荷载、车辆荷载等)的不同而产生不同的极限承载力和弯曲变形。管道结构安全性高,可使管道的承载安全系数更高,管道的使用年限较长,可减少管道的破坏、维修及后续费用,从而达到节能、高效、安全的效果。
如何从设计角度在满足规划规范的条件下,使管道的承载力和变形达到规定要求的范围,加强市政给排水工程技术研究,提高设计质量,改进设计技术,对市政给排水管道各个环节进行优化设计,实现市政给排水工程社会效益、环保效益和经济效益最大化,是当前研究的重要课题。
1.市政给排水管道设计任务
市政给排水管道的设计是整个城市全面实现规划设计的重要组成部分。在进行城市市政给排水系统设计过程中,主要设计内容有全面实现对城市内部给排水系统的范围划分、全面对整个给排水量的推测、科学合理地确定出整个城市的排水体制、根据城市实际人口等因素进行城市内部给排水系统布局,实现向各种不同类别的用户供应满足不同需求的水量和水质,同时承担用户排出废水的收集、输送和处理,达到消除废水中污染物质对人体健康的危害和保护环境的目的。
给水管道系统承担供水的输送、分配、压力调节和水量调节任务,起到保障用户用水的作用;排水管道系统承担污(废)水收集、输送、高程或压力调节和水量调节任务,起到防止环境污染和防治洪涝灾害的作用。城市市政给排水管道设计关系到人们的生活质量和城市发展。
2.管道设计要点
设计人员应结合项目的工程特点,根据前期规划和相关规范资料,确定给水管道、中水管道的管材和管径规模,必要时可进行管网平差计算校对。根据国家法律法规行业条文和相关综合规范资料,对管道线位进行确定,并做好管道的平面布置工作。管道布置时,结合工程管道起终点及主干管和预留支管线位置,需要对后续工作的便利性进行充分考虑,同时还要做好给中水管道节点和附属构筑物(管道平面和竖向弯头、预留直线管处设置管道三通及管道盲板)的布置工作,确定管道的接口和基础形式。结合管道的结构安全性和防冻要求,同时还要考虑与其他相交市政管道交叉相撞及工程造价的难题,绘制管道纵断面图,结合管道管径、管道材质、管道埋设深度和管道所处工程地质层,使管道的结构达到标准要求。根据管道结构要求,设计管道沟槽回填断面形式,确保设计成果能够指导施工顺利进行。
3.管道设计难点
自20 世纪90 年代以来,在市政给中水管道工程中,球墨铸铁管被广泛应用,球墨铸铁管作为主要的市政给中水管道管材,其综合性能良好。作用在管道结构上的影响力除了管道本身的重量、侧向和竖向回填土的土压力、地基的不均匀沉降等永久性作用外,还承受管道内的内水压力、地面堆积荷载、地面车辆荷载和地下水浮力等可变作用力。这些作用力会超出管道的极限承载力范围,会引起管道的竖向变形和抗弯变形,管道强度对管道安全作用不可低估。简而言之,管道的管径大小、埋设深度及管道的回填敷设基础断面不同,管道上的作用效应和材料性能也不同。但在实际工程中,由于局限性,设计图纸中缺少关于球墨铸铁管管道的强度验算,给后期施工带来一定的困难,严重影响工程质量。
4.市政道路给中水管道设计优化
4.1 项目概况
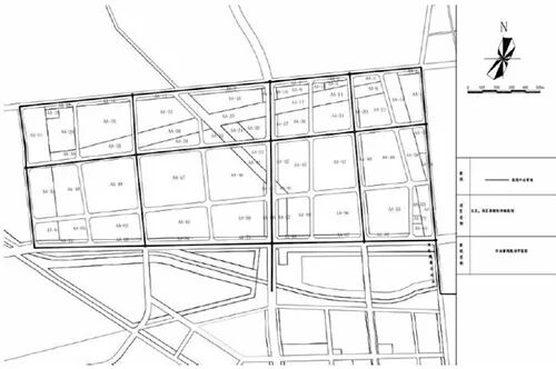
某项目道路全长约9.3 km,配套进行给水、中水、雨水和污水管道设计,市政给排水管道总长度约35 km(见图1)。其中,给水管道管径为DN 150~DN 300,中水管道管径为DN 150~DN 300,给中水管道管材选用球墨铸铁管(K9 级),管道接口采用滑入式T 形接口,橡胶圈压缩率为34%~40%,管道平均埋深为1.06~5 m。根据地勘报告显示,按地层岩性和过程特性划分,管道埋深分布在人工堆积层和新进沉积层,管道基础采用100~150 mm 中粗砂垫层,管道回填及夯实(压实度)要求参照《北京市给水排水管道工程施工技术规程》(DBJ 01-47—2000)的标准实施。

图1 某项目中水管网规划平面图
该项目设计的给中水管道管径不等,管道埋设深度竖向幅度相差较大,不同道路桩号段的球墨铸铁管管道位于不同的地质层,管道回填土的压实度不同,土的类别不同,地勘报告提供的原状土的标准贯入锤击数不同,管道的强度不同。根据《给水排水工程埋地铸铁管管道结构设计规程》(CECS 142—2002),不同情况的管道强度、管道承载能力极限状态不同。
4.2 设计球墨铸铁管管道结构计算
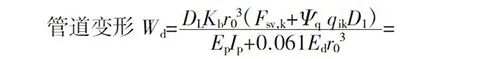
(1)根据《给水排水工程埋地铸铁管管道结构设计规程》(CECS 142—2002),对项目中的给中水球墨铸铁管管道进行结构计算。首先假设管道结构强度符合要求,以管道内径DN150×6 mm、极限最深埋深5.5 m 为例,按素土平基计算(土弧中心角20°),对管道极限承载力和变形进行验算。已知参数条件如下:
设计管道内径D=150 mm;
设计管道壁厚t=6 mm;
管外壁直径D1=0.162 m;
管道计算直径D0=0.156 m;
管道计算半径r0=0.078 m;
管壁计算厚度t0=0.975t-1.5=4.35(mm);
地面堆积荷载标准值qik=10kN/mm2;
回填土的重度γrs=18 kN/m3;
回填土变形模量Ee=5 MPa;
管内水的重度γw=10 kN/m3;
球墨铸铁管重度γi=70.5 kN/m3;
球墨铸铁管弹性模量Ep=160 000 N/mm2;
球墨铸铁管抗拉强度设计值ftd=230 MPa;
变形滞后效应系数DL=1.5;
管道结构自重作用下铸铁管管壁截面的最大弯矩系数Kgm=0.202;
竖向土压力作用下铸铁管管壁截面的最大弯矩系数Kvm=0.255;
管内水重作用下铸铁管管壁截面的最大弯矩系数Kwm=0.202;
竖向土压力作用下柔性管的竖向变形系数Kb=0.109;
管道结构自重的分项系数rG1=1.2;
竖向土压力的分项系数rG,sv=1.27;
管内水重的分项系数rGw=1.2;
管道设计内水压力Fwd,k=1.0 MPa;
设计内水压力、地面车辆荷载的分项系数rQ=1.4;
可变作用准永久值系数Ψc=0.9;
管壁单位长度横截面的惯性矩IP=6.859 m3。
计算如下:
管顶竖向土压力Fsv,k=15.6 kN/m;
管道内水重标准值Gwk=0.177 kN/m;
管道设计内水压力Fwd,k=1.0 MPa;
管道结构自重标准值G1k=0.207 kN/m;
设计内水压力作用下管壁截面上的拉力设计值N=Ψc rQFwd,kr0b0=98.28 kN;
管中心槽宽Br=0.825 m,Br/D1=5.09,Ee/En=1.67,根据《给水排水工程埋地铸铁管管道结构设计规程》(CECS 142—2002)附录C 得系数ζ=0.98;
综合变形模量Ed=0.98×5=4.9(MPa);
在荷载组合作用下管壁截面上的最大弯矩值M=441.93 N?m;

因162.72 MPa<230 MPa,故该条件下的管道强度满足要求。

1.027 mm<0.02×0.156=3.12(mm),故该条件下的管道变形满足要求。
得出结果:管径DN150 mm 的管道,埋设深度小于5.5 m 时,管道敷设基础均可选用素土平基实施(土弧中心角20°),施工时可忽略中心角,管道结构满足规范要求。
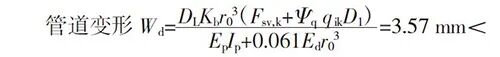
(2)按照同样的计算方法,计算管道内径DN300×7.2 mm,极限最大埋深3.3 m 时,强度值

因227.33 MPa<230 MPa,该假设值贴近极限要求值,强度满足要求。

0 . 02×0 . 307= 6.144(mm),故变形满足要求(埋深3.3 m 为极限值)。
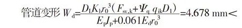
当埋深大于3.3 m 时,因强度不满足要求故将管道基础选择120°土弧基础。该次设计DN300×7.2 mm 管道最大埋深为5.0m,经计算得

因199.38 MPa<230 MPa,故采用120°土弧基础管道强度满足要求。

0.02×0.307=6.144(mm),故变形满足要求。
得出结果:管径DN300 的球墨铸铁管,埋设深度小于3.3 m 的管段可选用素土平基实施就可满足管道强度;当埋深大于3.3 m 的管段必须选用120°或150°土弧基础实施时,管道结构方能满足结构强度要求。参考如图2 所示。

图2 《给水排水工程埋地铸铁管管道结构设计规程》(CECS 142—2002)中的附录C
圆形柔性管道在各种荷载作用下,管截面上的最大弯矩系数和竖向变形系数可按表1 确定。
表1 圆形柔性管道的最大弯矩系数和竖向变形系数

同一个项目,不同管段的管道结构强度也不相同,须根据计算,针对管道的验算结果,设计相应的管道基础断面形式,以满足管道强度安全性要求。同样,若管道管材选用钢管以及排水管道时,也应根据相应的规范要求进行上述计算。对于不同项目,需要在最基本的设计基础上根据项目特点及现场需要进行优化设计,管道的优化设计不仅可以提高设计水平,满足施工需求,对管道的安全也有一定的基础保证(见图3)。

图3 管道基础断面图
5.结语
在市政给排水的设计工作中,依然存在诸多问题,影响到市政设计的合理性,同时对城市建设发展也会产生不良影响。所以市政给排水设计是城市建设发展中一项较为重要的工作,如果设计不合格就会造成其他相关的一系列不良影响,严重的还会威胁到人们的财产和人身安全。因此市政道路给排水设计相关部门应高度重视,结合实际不合理的问题采取合理科学的措施进行解决,不断提高市政给排水设计工作质量,确保市政给排水工程顺利高效的实施,使各项设计指标达标,为我国城市建设健康发展夯实基础。
摘自:城市道桥与防洪
文章来源于网络,侵权请联系删除
0人已收藏
0人已打赏
免费1人已点赞
分享
市政给排水
返回版块23.68 万条内容 · 858 人订阅
阅读下一篇
详解污水处理中沉淀工艺的原理及特点针对沉淀是去除水中悬浮物的主要单元,对沉淀工艺的进展方面进行了论述,主要介绍了平流式沉淀池、蜂窝斜管填料沉淀池、高密度沉淀池、拦截式沉淀池的特点和优点,旨在提高沉淀池的沉降效率。 目 前,国内外的给水处理工艺大多采用沉淀(澄清)过滤和消毒形式,其中沉淀部分对原水中悬浮物的去除显得尤为重要。沉淀池作为去除水中悬浮物的主要设施之 一,在水行业得到了广泛的应用。纵观沉淀构筑物的发展可以发现,在20世纪6O年代以前主要采用平流式、竖流式和辐流式沉淀池,60年代起各种澄清池盛行 一时,70年代后,主要是斜管、斜板及复合型沉淀池。沉淀构筑物形式的改进提高了沉淀分离的效率。沉淀池的设计和开发都是围绕怎样增加沉淀面积和改变水流 流态这两方面进行的。沉淀池的设计总是以提高沉淀池的沉降效率为目的。提高沉降效率有两种方法:1)缩短颗粒的沉淀距离、增大沉淀池面积,斜管沉淀属这一 类;2)增大矾花颗粒的下沉速度,通过采用高效絮凝剂和优化絮凝工艺来实现。
回帖成功
经验值 +10
全部回复(1 )
只看楼主 我来说两句 抢板凳好资料,学习啦,谢谢楼主分享
回复 举报