经常会遇到和钢筋混凝土的设计理论混在一起,比如这个抗震概念设计中的“三强三弱”。是否仍然适用于钢结构?
概念设计的基本原则,有时就直接影响到设计的优化方向。
下面就谈一谈自己浅显的看法:
查阅资料才知道有“四强四弱”:
1. 强柱弱梁
2. 强剪弱弯
3. 强节点弱杆件
4. 强压弱拉
那钢结构抗震设计也适用这些原则吗?那就要从这几个原则的基本出发点说一说。
在框架结构中,为了提高结构的变形能力,防止在强烈地震作用下倒塌,使框架结构塑性铰出现在梁端的设计要求。具体来说,就是柱子不先于梁破坏,因为梁破坏属于构件破坏,是局部性的,柱子破坏将危及整个结构的安全—可能会整体倒塌,后果严重。

柱顶先破坏
在实际设计中,“强柱弱梁”的设计理念可以通过调整系数、加大柱端弯矩和剪力设计值、提高柱的抗剪强度和抗弯强度等方式实现。
这些也仅限于一定经验数值的概念设计,因为钢筋和楼板的原因,梁端实配情况下的抗震承载力是比较难确定的。如果要让钢筋混凝土框架表现出很好的延性,实际上是不省钢的。
钢结构实现的方式有多种形式,比如骨形连接(RBS)

骨形连接(RBS)
在梁端塑性铰的转动过程中,要求梁和柱的斜截面受剪承载力更强,大于其正截面受弯承载力,可能发生的将是延性破坏,不是脆性破坏。
在设计中,需要有目的地增大柱子和梁的剪力设计值,不同抗震等级采用不同的剪力增大系数(1.1~1.3)。

梁的剪切破坏
钢结构抗震设计中需要考虑“强剪弱弯”吗?不需要。
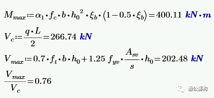
因为钢结构的抗剪承载能力非常高,通过下面一个算例可以看出有多高。
比如一根500x200的钢筋混凝土梁,在抗弯承载能力达到最大时,相应的剪力设计值为266.7kN,该截面的抗剪承载力只有202kN,所以钢筋混凝土梁,非常需要“强剪弱弯”的设计。

一根H型钢600x200x11x17的截面,在抗弯承载能力达到最大时,自身的抗剪承载能力还有3倍多的余量,所以钢构件不需要考虑“强剪弱弯”的设计。

钢构件的设计一般都是弯矩控制的,很少有剪力控制。
框架节点不应先于梁、柱屈服破坏,体现在节点抗剪承载力不低于梁柱抗震承载力。为了保证结构具有足够的韧性,节点处容易发生剪切破坏,应优先考虑抗剪能力。所以节点域的验算是为了满足强节点弱构件的要求。
? 对于混凝土框架梁柱节点有节点剪力增大系数(1.1~1.5)。
? 对于钢结构梁柱节点有钢结构连接系数(1.0~1.45)。

理想的节点破坏模式

钢结构的强节点
钢筋受拉屈服在前,混凝土受压破坏在后.这是杆件截面产生塑性铰的前提。要使受拉区钢筋的屈服先于受压区混凝土破坏,则要控制柱的轴压比、限制梁的受拉配筋率及受压区高度。
对于钢结构,轴压比更是控制要点,压弯稳定性常常控制钢构件的设计。
抗震设计的基本原则是:强柱弱梁,强节点弱构件,强压弱拉。
钢结构抗震不用考虑“强剪弱弯”。
在“强柱弱梁”的概念设计中,还应增加一项“强柱根”。对钢结构而言,就是“强柱脚”。

强柱脚-外包式钢柱脚
为了做到这些抗震的基本概念设计,相关规范作出了一系列的规定,可惜的是规定的内容过于零散,很难系统化地理解。
程序自动设计,增大系数乘增大系数,然后就发现配筋或者节点就设计得很大,有时候不自己去复盘下结果怎么出来的,这么硬做下去,很难说服自己,是否真的合适。
系统化地理解概念设计怎么体现在具体规范条文、怎么落实到软件参数设计和人为优化调整,这个问题感觉是个“深坑”,有时间再慢慢系统梳理吧,干活出活要紧。
0人已收藏
0人已打赏
免费0人已点赞
分享
结构资料库
返回版块41.29 万条内容 · 424 人订阅
阅读下一篇
欧洲高层木结构建筑案例分析及发展趋势研究建筑行业约占全球温室气体排放量的近40%、全球能源消耗的50%和原材料的40%。2012年全球气候峰会选出并推荐了世界上最具可持续性的7栋建筑。 与混凝土相比,木材是可再生性环保材料,木结构建筑能有效降低建筑碳排放,减少建筑对地球环境的负面影响。相对于低层和多层木构建筑,高层木结构建筑能有效节约土地资源,在城市建设中具有较高的经济价值,可满足人们对居住、办公、文化休闲等不同使用空间的需求,但也面临结构安全和防火安全两大突出挑战,一直以来世界范围几乎没有商业开发的高层木结构建筑问世。
回帖成功
经验值 +10
全部回复(0 )
只看楼主 我来说两句抢沙发