钢结构用的临时支撑,风荷载通过什么形式添加,进行计算分析呢?
风荷载
8.1 风荷载标准值及基本风压
8.1.1垂直于建筑物表面上的风荷载标准值,应按下列规定确定:
1计算主要受力结构时,应按下式计算:

式中:wk——风荷载标准值(kN/m2);
βz——高度z处的风振系数;
μs——风荷载体型系数;
μz——风压高度变化系数;
w0——基本风压(kN/m2)。
8.2 风压高度变化系数
8.2.1对于平坦或稍有起伏的地形,风压高度变化系数应根据地面粗糙度类别按表8.2.1确定。地面粗糙度可分为A、B、C、D四类:A类指近海海面和海岛、海岸、湖岸及沙漠地区;B类指田野、乡村、丛林、丘陵以及房屋比较稀疏的乡镇;C类指有密集建筑群的城市市区;D类指有密集建筑群且房屋较高的城市市区。

8.3 风荷载体型系数
8.3.1房屋和构筑物的风荷载体型系数,可按下列规定采用:
1房屋和构筑物与表8.3.1中的体型类同时,可按表8.3.1的规定采用;
2房屋和构筑物与表8.3.1中的体型不同时,可按有关资料采用;当无资料时,宜由风洞试验确定;
3对于重要且体型复杂的房屋和构筑物,应由风洞试验确定。

8.4 顺风向风振和风振系数
8.4.1对于高度大于30m且高宽比大于1.5的房屋,以及基本自振周期T1大于0.25s的各种高耸结构,应考虑风压脉动对结构产生顺风向风振的影响。顺风向风振响应计算应按结构随机振动理论进行。对于符合本规范第8.4.3条规定的结构,可采用风振系数法计算其顺风向风荷载。
注:
1 结构的自振周期应按结构动力学计算;近似的基本自振周期T1可按附录F计算;
2 高层建筑顺风向风振加速度可按本规范附录J计算。
8.4.2对于风敏感的或跨度大于36m的柔性屋盖结构,应考虑风压脉动对结构产生风振的影响。屋盖结构的风振响应,宜依据风洞试验结果按随机振动理论计算确定。
8.4.3对于一般竖向悬臂型结构,例如高层建筑和构架、塔架、烟囱等高耸结构,均可仅考虑结构第一振型的影响,结构的顺风向风荷载可按公式(8.1.1-1)计算。z高度处的风振系数βz可按下式计算:

式中:g——峰值因子,可取2.5;
I10——10m高度名义湍流强度,对应A、B、C和D类地面粗糙度,可分别取0.12、0.14、0.23和0.39;
R——脉动风荷载的共振分量因子;
Bz——脉动风荷载的背景分量因子。
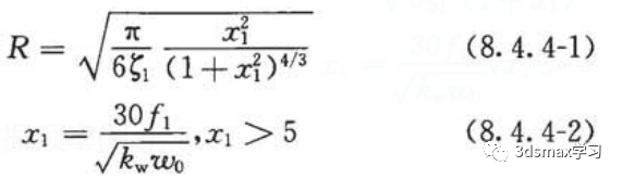
8.4.4脉动风荷载的共振分量因子可按下列公式计算:

式中:f1——结构第1阶自振频率(Hz);
kw——地面粗糙度修正系数,对A类、B类、C类和D类地面粗糙度分别取1.28、1.0、0.54和0.26;
ζ1——结构阻尼比,对钢结构可取0.01,对有填充墙的钢结构房屋可取0.02,对钢筋混凝土及砌体结构可取0.05,对其他结构可根据工程经验确定。
8.4.5脉动风荷载的背景分量因子可按下列规定确定:
1对体型和质量沿高度均匀分布的高层建筑和高耸结构,可按下式计算:

式中:φ1(z)——结构第1阶振型系数;
H——结构总高度(m),对A、B、C和D类地面粗糙度,H的取值分别不应大于300m、350m、450m和550m;
ρx——脉动风荷载水平方向相关系数;
ρz——脉动风荷载竖直方向相关系数;
k、a1——系数,按表8.4.5-1取值。

2对迎风面和侧风面的宽度沿高度按直线或接近直线变化,而质量沿高度按连续规律变化的高耸结构,式(8.4.5)计算的背景分量因子Bz应乘以修正系数θB和θv。θB为构筑物在z高度处的迎风面宽度B(z)与底部宽度B(0)的比值;θv可按表8.4.5-2确定。

8.4.6脉动风荷载的空间相关系数可按下列规定确定:
1竖直方向的相关系数可按下式计算:

式中:H——结构总高度(m);对A、B、C和D类地面粗糙度,H的取值分别不应大于300m、350m、450m和550m。
2水平方向相关系数可按下式计算:

式中:B——结构迎风面宽度(m),B≤2H。
3对迎风面宽度较小的高耸结构,水平方向相关系数可取ρx=1。
8.4.7振型系数应根据结构动力计算确定。对外形、质量、刚度沿高度按连续规律变化的竖向悬臂型高耸结构及沿高度比较均匀的高层建筑,振型系数φ1(z)也可根据相对高度z/H按本规范附录G确定。
附录G 结构振型系数的近似值
G.0.1结构振型系数应按实际工程由结构动力学计算得出。一般情况下,对顺风向响应可仅考虑第1振型的影响,对圆截面高层建筑及构筑物横风向的共振响应,应验算第1至第4振型的响应。本附录列出相应的前4个振型系数。
G.0.2迎风面宽度远小于其高度的高耸结构,其振型系数可按表G.0.2采用。

G.0.3迎风面宽度较大的高层建筑,当剪力墙和框架均起主要作用时,其振型系数可按表G.0.3采用。

G.0.4对截面沿高度规律变化的高耸结构,其第1振型系数可按表G.0.4采用。

注:表中BH、B0分别为结构顶部和底部的宽度。
实战分享


计算书
(1)施加在弦杆上的线荷载为:

(2)施加在腹杆杆上的线荷载为:


0人已收藏
0人已打赏
免费1人已点赞
分享
钢结构工程
返回版块46.53 万条内容 · 1214 人订阅
阅读下一篇
钢结构“结构形式”的十个知识点民用建筑根据建筑高度、使用功能、抗震性能、地下水文勘察报告等选用合适的结构形式,这期带大家了解钢结构“结构形式”的十个知识点。 Q1 常见结构体系分类及特点? 常见结构体系有砖混、框架、剪力墙、框架—剪力墙、筒体、桁架、网架、拱式、悬索、薄壁空间等,钢结构主要包括门式钢架、框架、桁架、网架,不同结构体系优缺点各异,受力形式也各异,现实建筑当中往往存在两种及以上组合结构形式。
回帖成功
经验值 +10
全部回复(1 )
只看楼主 我来说两句 抢板凳感谢楼主的分享,临时支撑的风荷载计算确实是比较困难的,准确的模拟是艰难的。需要结合工程经验去处理疑难问题。
回复 举报