无梁楼盖在实际的工程中应用越来越广泛,无梁楼盖结构如何进行合理的设计也受到越来越多人的关注。根据历来发生的工程破坏情况来看,大板结构的破坏多是因为柱帽处的冲切导致,所以在本文中特对程序中对冲切计算的过程进行详细阐述,供大家参考,以便于大家在设计时对程序结果进行合理取用。
概述
在软件中可通过设计结果模块下的柱冲切验算简图(如下图所示)来查看无梁楼盖结构柱冲切验算结果,如果模型中布置了柱帽,或者建模时按虚梁建模或梁高与板厚相同,则软件自动验算柱冲切。
冲切验算内容有三项:(1)柱根对柱帽的冲切;(2)柱帽对托板的冲切;(3)托板对楼板的冲切,如果没有柱帽或托板,则相应的验算项结果按0输出。软件的计算原则为:先按不配置抗冲切钢筋公式验算;不满足,则按配置抗冲切钢筋公式验算,同时简图中输出抗冲切箍筋面积。其中输出的抗冲切箍筋面积为单边一个艰巨的箍筋总面积,间距同梁。
详细计算过程
(续2.2)
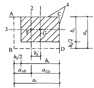
2.3 角柱(bc=hc)
(1)柱根的冲切验算
1)冲切力计算
截面有效高度:h0=300+200-15(保护层厚度)-10(楼板中钢筋直径假定是20)=475 mm
冲切锥底面边长:L1=600+475=1075 mm;L2=600+475=1075 mm(计算至外侧柱边)
冲切锥底面面积:A=1.075*1.075=1.156 m2
冲切控制组合为35号人防组合对应的工况进行设计
板面恒+人防:1.3*30+1.0*60=99kN/m2
冲切锥自重:1.3*25*(1.55^2*0.775-0.6^2*0.3)/3/4=4.75kN
(备注:边柱计算冲切锥体积时取中柱计算方式下的1/4)
冲切锥范围内的荷载设计值:99*1.55^2/4(面荷载,取中柱冲切锥底面面积的1/4)+4.75(自重)=64.21kN
柱所承受的轴向压力设计值:1.3*318.8+1.0*410.9=825.34kN
冲切力计算:N=825.34-64.21=761.13kN,与程序中计算输出的761.2结果基本一致。
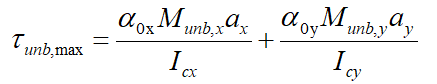
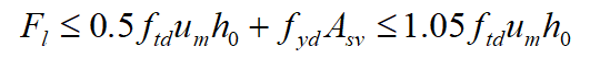
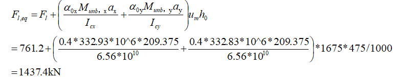
2)当有不平衡弯矩时等效冲切力的计算
不平衡弯矩:Mx=582.6 kN.m,My=582.5 kN.m
需要按照混凝土规范附录F考虑双向不平衡弯矩计算等效集中反力设计值,计算公式如下所示:

(F.0.1-5)

(F.0.1-6)
冲切临界截面边长:at=hc+h0/2=600+475/2=837.5;am=bc+h0/2=600+475/2=837.5 mm。

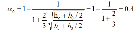
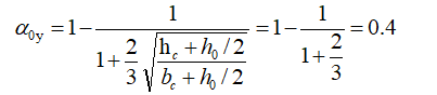
计算系数α0的计算参照混凝土规范附录F中的公式F.0.2-9来计算,如下所示:

(F.0.2-9)
冲切临界截面对其重心的极惯性矩Is的计算参考《建筑地基基础设计规范》附录P中的公式P.0.1-12。

(P.0.1-7)
对应该范例中类似极惯性矩的计算结果为:

冲切临界截面的周长:um=at+am=837.5+837.5=1675 mm
ax=ay=209.375 mm
所以等效冲切反力设计值Fl,eq的计算结果为:

与构件信息中输出1437.1结果基本一致。
3)冲切箍筋的计算
楼板的混凝土强度等级为C30,ft=1.43 N/mm2,梁箍筋级别HRB400,fyv=360 N/mm2。当人防组合起控制作用时,使用抗冲切箍筋抗拉强度设计值fyd=1.2*360=432 N/mm2。
混凝土轴心抗拉动力强度设计值:ftd=1.5*ft=1.5*1.43=2.145 N/mm2
由于该范例中是由人防组合起控制作用,所以计算抗冲切箍筋时应按照人防规范附录D中公式D.2.2-2来确定,公式如下所示:

(D.2.2-2)
与冲切破坏锥体斜截面相交的全部箍筋截面面积:

2侧一共1351.37,那么一侧就是1351.37/2=675.69
h0=475,那么一共有475/100=4.75排,一排箍筋面积=675.69/4.75=142.25
与构件信息中输出结果基本一致。
4)冲切截面验算
由于目前执行的人防规范版本是对应的混凝土规范2002版,版本较旧,所以在验算冲切截面时按照《混凝土结构设计规范 GB 50010-2010》中的公式6.5.3-1进行验算。
其中:βs=2,αs=20,所以计算得出η=1.0。

与构件信息中输出结果一致。
(2)托板的冲切验算
1)冲切力计算
截面有效高度:h0=200-15(保护层厚度)-10(楼板中钢筋直径假定是20)=175 mm
冲切锥底面边长:L1=L2=1500+300+175=1975 mm
冲切锥底面面积:A=1.975*1.975=3.9 m2(计算冲切锥范围内荷载时使用的面积为3.35*3.35/4=2.805m2,即中柱计算冲切锥底面积的1/4)
冲切控制组合为28号地震组合(1.2D+0.6L-1.3XE)对应的工况进行设计
板面荷载值恒加活:1.2*30+0.6*2(楼板均布活荷载)=37.2kN/m2
冲切锥自重:1.2*25*(3.35^2*1.675-3^2*1.5)/3/4=12.23kN(即中柱计算冲切锥自重的1/4)
冲切锥范围内的荷载设计值:37.2*2.805(面荷载)+12.23(自重)=116.58kN
柱所承受的轴向压力设计值:1.2*318.8+0.6*13.7-1.3*(-6.6)=399.36kN
冲切力计算:N=399.36-116.58=282.784kN,与程序中计算输出的281.7结果基本一致。
2)当有不平衡弯矩时等效冲切力的计算
通过构件信息中输出的各组合内力可以得出,28号组合对应的柱顶弯矩值为:
Mx=1.2*198.2+0.6*10.8+1.3*0.7=245.23 kN.m;
My=1.2*198.2+0.6*10.8+1.3*22=272.92 kN.m。
根据《建筑抗震设计规范GB 50011-2010》中6.6.3-3条的要求“板柱节点应进行冲切承载力的抗震验算,应计入不平衡弯矩引起的冲切,节点处地震作用组合的不平衡弯矩引起的冲切反力设计值应乘以增大系数,一、二、三级板柱的增大系数可分别取1.7、1.5、1.3。”
该工程抗震等级为二级,所以计算等效冲切力时使用的不平衡弯矩值最终应按照放大后的结果计算。
调整后的不平衡弯矩:Mx=1.5*245.23=367.85 kN.m,My=1.5*272.92=409.38 kN.m(与构件信息中输出的结果一致。)
需要按照混凝土规范附录F考虑双向不平衡弯矩计算等效集中反力设计值,计算公式如下所示:

(F.0.1-5)

(F.0.1-6)
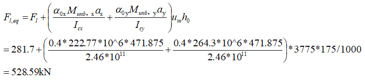
hc=bc=3000/2+300=1800 mm
冲切临界截面边长:at=am=hc+h0/2=1800+175/2=1887.5 mm。

计算系数α0的计算参照混凝土规范附录F中的公式F.0.2-9来计算,如下所示:

(F.0.2-9)
冲切临界截面对其重心的极惯性矩Is的计算参考《建筑地基基础设计规范》附录P中的公式P.0.1-12。

(P.0.1-7)
对应该范例中类似极惯性矩的计算结果为:

冲切临界截面的周长:um=at+am=1887.5+1887.5=3775 mm
ax=ay=471.875 mm
所以等效冲切反力设计值Fl,eq的计算结果为:

与构件信息中输出528.4结果基本一致。
3)冲切截面验算
按照《混凝土结构设计规范 GB 50010-2010》中的公式6.5.1-1进行验算。
其中:βs=2,αs=20,所以计算得出η值为:


与构件信息中输出结果一致。
冲切计算需知
(1)计算冲切锥底面积时,程序会判断是否有上柱,如果有上柱,则在计算板面荷载作用在冲切锥内的力时应扣掉上柱的面积。
(2)当结构为多层时,不平衡弯矩是取柱根处上下层柱的弯矩差值。当冲切计算由地震作用组合起控制作用时,对于不平衡弯矩尚应按照《建筑抗震设计规范 GB50011-2010》中的6.6.3-3条的要求进行调整。
(3)布置了多层人防荷载的结构,程序在计算各人防楼层梁内力时,选用该楼层人防荷载作用下计算各水平构件内力。在计算各人防楼层的柱、墙内力时,如果该竖向构件承受多于一层传来的人防荷载时,其人防荷载作用下的效应并不是其上各人防楼层效应的累加,而是仅选取其中最大的一层人防荷载的效应来作自身构件的设计。所以在计算底层柱的冲切力时,对于人防工况是不需要扣除上层柱的人防工况内力的。
(4)计算抗冲切箍筋时,对于箍筋的布置宽度范围只考虑冲切锥范围内,而不是按照1.5h0范围计算。
(5)当冲切验算由人防组合起控制作用时,计算抗冲切箍筋时按照人防规范中的相关公式计算。
(6)计算边柱及角柱的冲切临界面周长时,不管梁的偏心如何,均计算至外侧柱边。
(7)当用户布置的荷载是按照自定义荷载布置时,在计算冲切锥范围内的面荷载时,程序未计入自定义荷载值。
(8)当建模时上层所连柱子是用斜杆建模时,计算板冲切时可计入上层所连斜杆的轴力及弯矩的影响。
知识点:角柱
0人已收藏
0人已打赏
免费2人已点赞
分享
PKPM
返回版块30.87 万条内容 · 559 人订阅
回帖成功
经验值 +10
全部回复(0 )
只看楼主 我来说两句抢沙发