一、概述
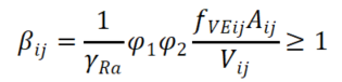
根据《建筑抗震鉴定标准》GB50023-2009的规定,当采用综合抗震能力指数法进行抗震承载力验算时,i楼层综合抗震能力指数βi可表示为:

式中,
为i楼层所有抗侧力构件的抗震承载力总和
为i楼层的总的地震作用。
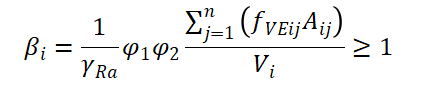
对于多层砌体结构而言,其综合抗震能力满足要求,用楼层综合抗震能力指数可以表示为:

式中,
表示楼层全部墙段的抗震承载力之和
表示楼层所有的地震剪力设计值。
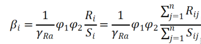
而当采用构件抗震承载力方法时,若抗震能力满足要求,其验算公式可以表示为:

式中,
表示楼层第j个墙段的抗震承载力
表示楼层第j个墙段的地震剪力设计值。
由以上两个公式显然可以得出,采用构件抗震承载力验算法的要求是高于楼层综合抗震能力指数法的,这是因为,根据其验算公式,构件抗震承载力验算法要求每个墙段的综合抗震能力指数均需大于1.0,而楼层综合抗震能力指数法则要求总的楼层综合抗震能力指数大于1.0即可,显然楼层综合抗震能力指数更容易得到满足。
二、砌体结构楼层综合抗震能力指数法的适用范围
通规5.3.3条规定:

如此,我们可以对通规第5.3.3条进行分析。该条要求采用楼层综合抗震能力指数法进行抗震能力验算时,不应低于原建造时的抗震要求。我们知道,对于原设计考虑了抗震承载力验算的既有建筑而言,其抗震设计时采用的均为构件承载力验算法,因此其要求一定高于楼层综合抗震能力指数法,则根据第5.3.3条不应低于原建造时的抗震要求的规定,我们基本上可以推出通规中砌体结构的楼层综合抗震能力指数法的适用范围为:
1、建造时未考虑抗震设防或按相关抗规建造的,抗震设防烈度为6度及以下的既有建筑;
2、若原设计考虑了抗震承载力验算(按七十年代和89版抗规建造的,抗震设防烈度为7度及以上的),期间抗震设防烈度未提高的既有建筑,均不适用于楼层综合抗震能力指数法进行抗震承载力验算,因为其要求必然低于原建造时的抗震要求。
3、若原设计考虑了抗震承载力验算,但后期抗震设防烈度提高的既有建筑,则需要采用现抗震设防烈度情况下的楼层综合抗震能力指数法和原抗震设防烈度情况下的构件承载力验算法进行对比,取相对不利的工况作为鉴定结果。
知识点:通规中砌体结构楼层综合抗震能力指数法的适用范围
0人已收藏
0人已打赏
免费4人已点赞
分享
岩土工程
返回版块1.59 万条内容 · 390 人订阅
回帖成功
经验值 +10
全部回复(0 )
只看楼主 我来说两句抢沙发