目前对结构承载力的计算主要是通过PKPM和YJK两种计算软件,为确认计算软件对内框架结构计算的准确性,特别是混凝土柱计算的准确性以及在建模时的注意事项,特地构造了如图所示的一个三层内框架,利用PKPM软件对其承载力进行计算。
计算参数如下:
7度0.1g,Ⅳ类场地土
混凝土强度C20,砂浆强度M5,砖强度MU10
各层层高均为4.0m
横向开间4.5m,纵向跨度6.0m,纵墙上开有1.5m宽的窗
各层楼面恒载4.0kN/m2,活载5.0kN/m2;屋面恒载5.0kN/m2,活载2.0kN/m2

一、验算结果一览
A类建筑、B类建筑、01版抗规和非抗震等四种情况下钢筋混凝土柱的验算结果如下图所示,其中A类建筑按构件承载力验算法考虑,未列出综合抗震能力指数法的结果。
1、A类建筑


一层配筋平面示意图

二层平面配筋示意图

三层平面配筋示意图
2、B类建筑


一层平面配筋示意图

二层平面配筋示意图

三层平面配筋示意图
3、01版抗规


一层平面配筋示意图

二层平面配筋示意图

三层平面配筋示意图
4、非抗震

一层平面配筋示意图

二层平面配筋示意图

三层平面配筋示意图
将四种工况的验算结果列表如下:

二、验算结果规律总结
由上表的计算结果,我们可以总结出如下规律(限于篇幅,本文仅列出单个案例的结果,事实上,我们对多个典型案例的计算结果分析,也可以得出如下相同的规律):
对于PKPM程序,内框架结构中混凝土构件的承载力计算时,A类建筑与B类建筑的计算结果最小,两者结果基本一致(说明对于构件承载力验算法,PKPM程序未严格区分A类建筑和B类建筑),非抗震工况次之,01版抗规的计算结果略大。从配筋规律看,非抗震工况的配筋大于抗震工况,存在一定的不合理。
在内框架结构的总地震剪力标准值的计算时,四种工况的计算结果基本一致。
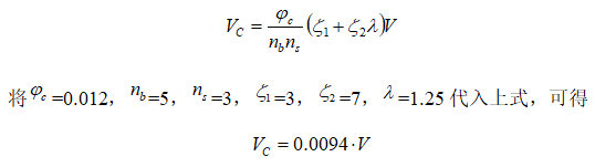
在内框架结构混凝土柱的地震剪力计算时,01版抗规>B类建筑=A类建筑。根据B类建筑的混凝土柱的地震剪力确定公式:

将上表中数值代入验算结果表,可知,对于A类建筑和B类建筑而言,内框架结构混凝土柱的剪力设计值与89版抗规的公式计算结果基本一致,但对01版抗规而言,内框架结构混凝土柱的剪力设计值较89版抗规的剪力设计值增大了1.1倍,这可能是PKPM软件的编制者为保守起见所乘的放大系数。
需要说明的是,对于混凝土柱而言,除了地震剪力外,由于柱顶两侧梁的支座条件不同(一边为铰接,一边与柱刚接),两侧梁端在柱顶支座处的剪力不同,因此在混凝土柱上应该存在由于正常使用荷载作用下的平衡剪力,但PKPM未考虑该部分的剪力,计算用的剪力设计值小于实际剪力。当然考虑到该剪力设计值相对较小,对最终的结果影响不大。
4. 在内框架结构混凝土柱的轴压比计算时,四种工况下的轴压比完全一致。说明在PKPM软件在计算内框架结构混凝土柱的轴压比时,其组合内力仅考虑了正常使用作用下的轴力,而未考虑地震工况下重力荷载代表值作用下的轴力,因此对地震工况下轴压比的计算相对偏大。
5. 关于砖墙与混凝土柱之间的轴力分配问题
根据计算结果分析,PKPM程序在内框架结构的内力分配时,对于砖柱和混凝土柱之间的轴力分配是按照各自的承载面积分配的,未考虑框架梁在传递荷载时的内力重分布作用。而我们知道,由于该梁两端的支座类型不同,砖墙一侧为铰接,混凝土柱一侧类似刚接,因此框架梁的内力图近似如图所示。

也就是说,梁两端的剪力设计值是不一样的,因此实际竖向构件轴力的分配并不是按承载面积分配,应该与梁的剪力有关。若按照承载面积分配,则PKPM加大了砖墙的轴力,减小了混凝土柱的轴力。因此,理论上PKPM对砖墙的抗压承载力验算偏于保守。
6、内框架结构中框架柱的纵向配筋均由构造配筋控制,由构件信息可以查到,对于非抗震工况,PKPM采用的单边构造配筋率为0.6%,A类建筑和B类建筑,PKPM采用的单边构造配筋率为0.4%,01版抗规:PKPM采用的单边构造配筋率为0.7%。
非抗震工况的规范规定:
根据《混凝土结构设计规范》GB50010-2010(2016年版)第8.5节的规定,对于钢筋混凝土结构构件中的受压钢筋,对于强度等级为300MPa、335MPa的钢筋,截面总配筋率不少于0.60%,且单侧纵向钢筋的配筋率不少于0.2%。
A类建筑规范规定:
《建筑抗震鉴定标准》GB50023-2009第6.2节A类钢筋混凝土房屋抗震鉴定一节中,对框架柱的构造要求为:6度和7度Ⅰ、Ⅱ类场地土时:框架梁柱的纵向钢筋和横向箍筋的配置应符合非抗震设计的要求。规范未对7度Ⅲ、Ⅳ类场地土上框架柱的纵筋配置做出规定,应该是规范失误。老陈理解应符合8度的要求,即框架中柱和边柱纵向钢筋的总配筋率不应少于0.6%。
上海市地方标准《现有建筑抗震鉴定与加固标准》DGJ08-81-2021第6.2节A类钢筋混凝土房屋抗震鉴定一节中,对框架柱的构造要求为:框架梁柱的纵向钢筋的配置应符合非抗震设计的要求,7度时,框架中柱和边柱的纵向钢筋的总配筋率不应少于0.5%。
B类建筑规范规定:
《建筑抗震鉴定标准》GB50023-2009第6.3节B类钢筋混凝土房屋抗震鉴定一节中,对框架柱纵向钢筋的最小总配筋率的要求如下:

上海市地方标准《现有建筑抗震鉴定与加固标准》DGJ08-81-2021第6.3节中,对框架柱纵向钢筋的最小总配筋率的要求与国家标准基本一致。
01版规范规定:
《建筑抗震设计规范》GB50011-2001第6.3节中,对框架柱纵向钢筋的最小总配筋率的要求如下:

由以上对各版本规范的规定可以看出:
非抗震工况:PKPM程序对混凝土柱的纵筋采用的单边构造配筋率取0.60%,显然程序未区分单边构造配筋率和截面总配筋率,错误的把截面总配筋率的要求按单边构造配筋率来考虑,因此对截面纵筋的要求过于保守。
A类建筑:PKPM程序对混凝土柱的纵筋采用的单边构造配筋率取0.4%,若其截面仅有四根纵筋(单侧纵筋为两根)时,其截面总配筋率为0.8%,若单侧纵筋超过两根时,其截面总配筋率肯定超过0.8%。其超过了规范要求,因此是偏于保守的。
B类建筑:同理可知,由于PKPM程序对混凝土柱的纵筋采用的单边构造配筋率取0.4%,超过了规范要求,因此是偏于保守的。
01版抗规:PKPM程序对混凝土柱的纵筋采用的单边构造配筋率取0.7%,显然程序未区分单边构造配筋率和截面总配筋率,错误的把截面总配筋率的要求按单边构造配筋率来考虑,因此对截面纵筋的要求过于保守。
7、由于计算的混凝土柱的剪力设计值相对较小,均未超过20kN,相应引起的弯矩也较小,核算实际偏心距小于0.05,在轴压比小于1.0时,混凝土柱的纵向配筋基本均由构造配筋控制。
A类建筑和B类建筑:构造体积配箍率由轴压比不同分别取0.40%、0.60%
01版抗规:构造体积配箍率由轴压比不同分别取0.45%和0.70%
非抗震工况:体积配箍率为0.15%
非抗震工况的规范规定:
《混凝土结构设计规范》GB50010-2010(2016年版)中无最小体积配箍率的要求。
A类建筑规范规定:
无论是《建筑抗震鉴定标准》GB50023-2009,还是《现有建筑抗震鉴定与加固标准》DGJ08-81-2021,均未有最小体积配箍率的要求,仅要求箍筋配置不小于φ6@200。
B类建筑规范规定:
《建筑抗震鉴定标准》GB50023-2009表6.3.5-3中抗震等级三级柱的最小体积配箍率如下:

《现有建筑抗震鉴定与加固标准》DGJ08-81-2021对箍筋最小体积配箍率的要求与国家标准一致。
01版规范规定:
《建筑抗震设计规范》GB50011-2001表6.3.12中,抗震等级三级柱的最小配箍特征值如下:

由以上对各版本规范的规定可以看出:
非抗震工况:PKPM程序对混凝土柱的箍筋的体积配箍率为0.15%,而规范未规定,其箍筋配置要求较高,偏于保守。
A类建筑:PKPM程序对混凝土柱体积配箍率按B类建筑的要求配置,要求较高,偏于安全。
B类建筑:基本符合规范要求。
01版抗规:基本符合规范要求。
三、PKPM建模和计算结果的注意事项
1、PKPM建模的注意事项
1). 内框架的层数
目前PKPM仅能对不超过4层的内框架结构进行分析,超过四层的内框架结构目前尚无法准确验算。亲测超过5层的内框架程序无法正常运行。

这意味着对位于6度和7度区的五层多排柱内框架结构,虽然《建筑抗震鉴定标准》GB50023-2009是允许采用的,但PKPM程序无法准确验算,可能需要进行手工校核。


2). 内框架参数的输入
在砌体参数的定义中,应注意内框架参数的输入,如图所示。这里需要注意的是,PKPM中,开间数和跨数的缺省值均为2,λ为0.75,对于局部内框架结构,若抗震横墙开间数按内框架的开间数,比如本案例中开间数按5输入,实际得到的框架柱剪力会大于规范规定的数值。关于这方面的讨论可详见《老陈聊房检》。PKPM程序对01版抗规的框架柱剪力乘以1.1倍的放大系数,实际上是偏于保守的。

2、PKPM计算结果的注意事项
1)、关于砖墙的轴力分配问题
PKPM程序未考虑混凝土梁在内力分配中的作用,实际加大了砖墙的轴力,减小了混凝土柱的轴力。同时由于程序自身的缺陷,无论是按砖柱还是纵墙变截面考虑扶壁柱的作用,其计算结果总是偏于保守的,因此,理论上PKPM对砖墙的抗压承载力验算偏于保守。
2)、关于混凝土柱的内力问题
PKPM程序在计算混凝土柱的内力时,由于传力方式的不合理,少算了混凝土柱的轴力,同时由于未考虑正常使用作用下柱的剪力,实际混凝土柱的设计剪力也相对偏小,由剪力引起弯矩也相应偏小。
3)、关于混凝土柱的箍筋配置问题
由于PKPM程序仅按内框架规范的要求计算地震工况下的剪力设计值,未考虑正常使用作用下的剪力设计值,因此在地震工况下,剪力设计值相对偏小,建议叠加正常使用作用下剪力设计值后,对斜截面抗剪承载力进行校核(当然根据实例,该剪力设计值相对较小,影响不大),若确认混凝土柱的箍筋配置仍为构造控制,则PKPM程序对于B类建筑和01版抗规的箍筋配置基本符合规范要求,可以直接采用。但非抗震工况和A类建筑的箍筋配置要求较高,过于保守,建议按规范要求重新计算构造要求。
4). 关于混凝土柱的纵向配筋问题
由于PKPM程序未考虑正常使用作用下的剪力设计值,因此由该剪力设计值引起的弯矩也未考虑,对框架柱的纵筋进行配置时,计算弯矩相对偏小。若确认在叠加了该弯矩后,混凝土柱的纵向配筋仍由构造配筋控制,则PKPM程序给出的构造配筋均远超规范要求,偏于保守。
总的来说,PKPM程序对于内框架结构,其内力计算是不准确的,加大了砖墙的作用效应,减小了混凝土柱的作用效应,但考虑到混凝土柱的配筋基本由构造配筋控制,PKPM给出的计算结果相对偏大,富余量相对较大,偏于保守,可能导致不必要的加固。
知识点:PKPM程序对内框架计算的注意事项
0人已收藏
0人已打赏
免费3人已点赞
分享
PKPM
返回版块30.87 万条内容 · 559 人订阅
回帖成功
经验值 +10
全部回复(1 )
只看楼主 我来说两句 抢板凳楼主牛逼,学习了
回复 举报