土木在线论坛 \ 建筑结构 \ 地基基础 \ 柱下独立基础设计

柱下独立基础设计

发布于:2023-03-16 13:39:16 来自:建筑结构/地基基础 [复制转发]

一、冲切破坏和剪切破坏

图片

二、独立基础设计

h0(有效高度)=h(基础高度)-40mm(混凝土保护层厚度,一般取40mm),详情可查混凝土结构基本原理。

基底反力计算用线性内插法,可参考墙下条形基础设计,是一个非常重要的计算公式。

1、冲切破坏锥体落在基础范围以内时

图片
图片

图片

图片
图片


2、冲切破坏锥体落在基础范围以外时

图片
图片
图片
图片
图片

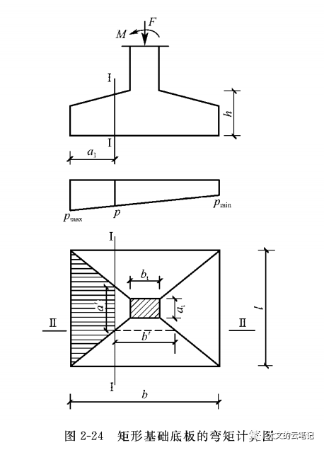
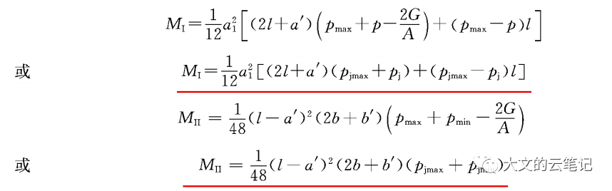
三、抗弯验算及配筋

1、魔法视频(戴上耳机只有左边有声音)


2、笔记

图片
图片
图片
图片

3、附表

图片
图片
知识点: 柱下独立基础设计

柱下独立基础设计

全部回复(0 )

只看楼主 我来说两句抢沙发
这个家伙什么也没有留下。。。

地基基础

返回版块

12.11 万条内容 · 717 人订阅

猜你喜欢

阅读下一篇

PHC管桩封底混凝土施工方法

最新一个项目,基础为PHC管桩+筏板,桩长未41米,设计要求桩底有2米C40混凝土封底。较多数桩顶标高相对正负零为-5.4米,沉桩形式为柴油锤击桩。请教各位大佬,2米封底混凝土采用什么方法可以施工?

回帖成功

经验值 +10