中国的多高层住宅建筑常用钢筋混凝土剪力墙结构体系。剪力墙的结构设计,主要依据《混凝土结构设计规范》GB50010、《建筑抗震设计规范》GB 50011、《高层建筑混凝土结构技术规程》JGJ 3等3本标准,及参照平法图集、布筋图集等。3本标准中,对最小墙厚、墙身分布筋排数的规定略有差别,砼规、抗规的最小墙厚可取至140mm、可设置单排分布筋,高规的最小墙厚是160mm、均需设置双排筋或多排筋。相关规定截图如下:



《砼规》规定截图


《抗规》规定截图



《高规》规定截图
常见设计中,最小墙厚基本都取为200mm。实际上,低烈度区的多高层建筑,整体刚度及墙身截面的富余均较多,在满足受力安全的前提下适当减薄、采用180mm乃至140mm墙厚也是可行的,既减少了材料用量和自重,又增加了建筑实用面积,一举两得,后续会拟专文对剪力墙厚度的取值优化进行分析对比。本文主要是针对常用墙厚的双(多)排分布筋的拉结筋的分布方式进行比选讨论。
根据上述规范要求,常用最小墙厚200mm需设置双排分布筋,各排分布筋之间需设置拉结筋,最小直径6mm、最大间距600mm;规范中没有限定拉结筋的排布形状。
因为拉结筋主要是构造要求、在构件承载力计算中没有具体贡献,设计人员对其排布方式的注写上就相对较自由随意,矩形的、梅花形的都有,如:Φ6
600(矩形)、Φ6
600(梅花形)等等,但并未细究可行性及成本等方面的差异。
正如上面所提到的,结构设计规范中仅对拉结筋的最小直径、最大间距提出限制,未对排布方式提出要求,严格意义上说只要不少于Φ6@600的都是合规可行的。
作为规范图解的平法图集,则提供了更加细化的做法示意,如下图:

《平法图集》截图
个人观点:平法图集的示意图,主要是从拉结筋最大间距600mm,如何跟墙身分布筋常用间距150mm或200mm进行匹配、尽量均匀布置的角度出发提出的一些参考做法,不具备强制性、也未包络所有情况。如:1、未包含选用越来越多的竖向分布筋间距@300的情况。竖向筋摆放方向要求自身有一定的刚度,Φ8太柔、至少需要Φ10,常用200mm墙厚Φ10@300配筋率约0.26%、Φ8/Φ10@300配筋率0.21%,可满足规范强条0.20%~0.25%的要求且较合适(如采用Φ10@200配筋率0.39%富余太多)。2、若分布筋间距@100时,按图示的梅花形拉结筋的最短间距约283mm,比规范600mm加密近100%,是否合适?3、图示的隔三拉一或隔四拉一,是否必要?等等。
现行的结构规范及条文说明,没有关于拉结筋作用的内容。我们可以参考其它规范、类比相似构件等进行分析研究。
1、参考《人防规范》
《人防规范》第4.11.11的文字及附图,是明确要求设置梅花形拉结筋及最大间距限值等,也是设计及图审中重点关注的内容。

其条文说明里,解释是考虑振动环境下钢筋及受压区砼共同工作的构造需要。

人防墙、人防楼板主要是承受面外荷载产生的弯矩作用。总括来说,设置梅花形拉结筋,主要是保证动态作用下受弯为主的构件的受拉钢筋与受压区砼可以共同工作。个人理解:《人防规范》对拉结筋的主要要求是梅花形布置且间距≤500mm,不宜将附图引申理解为要求“隔一拉一”。
上部结构的剪力墙,主要承受面内的轴力及其对应的弯矩及剪力等,面外仅考虑抗侧刚度贡献、构件稳定性等、但不考虑面外直接受力及截面设计(墙面外楼面梁支座处需另设暗柱或扶壁柱,配筋要满足计算和构造要求),这是跟人防墙的最主要区别。因此,人防墙拉结筋的设置规定,不完全适用于剪力墙、至少是可以大幅放松要求的。
2、与框架柱类比
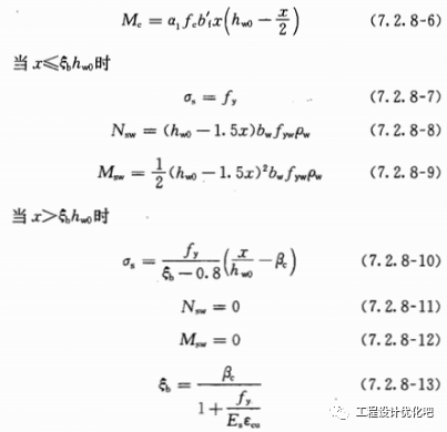
剪力墙跟框架柱较类似(截面高度/厚度≤4按柱设计,>4按墙设计),大部分情况下均为轴压或偏压受力,竖向分布筋可类比柱纵筋。柱截面受压时纵筋可能会出现外鼓趋势,对其承载力贡献存在不利影响,所以要设置(复合)箍筋进行约束、且宜至少隔一拉一。剪力墙竖向分布筋在受压时也会出现外鼓趋势,设置拉结筋进行适当约束也是必要的,但是否需要像框架柱那么严格,则视乎竖向分布筋对承载力的影响程度。因此,通过对比柱和墙的截面承载力公式,可以分析钢筋的具体作用,进而类比构造要求的异同。以下为《砼规》中柱子和剪力墙的正截面承载力验算公式:

《砼规》中框架柱的正截面验算公式

《砼规》中剪力墙的正截面验算公式
对比两个公式可知,截面承载力中均包含砼和主纵筋的贡献、且砼分项和主纵筋分项的算法基本一致,剪力墙竖向分布筋的贡献,主要体现在NSW、MSW的新增项上。
高规也有类似的计算公式。


《高规》中剪力墙的正截面验算公式
注:跟《砼规》不同,NSW、MSW在承载力项是减号。
《高规》的计算公式相对简单些,以下就按《高规》公式试算分析一下竖向分布筋对正截面承载力的影响程度。
剪力墙矩形截面200x1650mm,C50砼,竖向分布筋配筋率0.25%。假设受压区高度x=?bhw0。

从上述分析结果可知,无论是轴力还是弯矩验算,竖向分布筋sw均为砼c的1%不到;且NSW、MSW在受压承载力项是减号(x>?bhw0时直接取0)。竖向分布筋对正截面受压承载力的影响小,即使出现部分外鼓趋势也基本不会产生削弱,相应的横向拉结约束的措施要求可比框架柱的降低(篇幅有限,特殊情况下墙肢受拉的情况就暂时不展开对比讨论了)。
剪力墙水平分布筋主要是抵抗水平剪力,作用与框架柱箍筋类似,计算公式也基本一致,也不重复了论述了。抗剪箍筋无横向拉结要求。
综合上述分析结果,个人认为:剪力墙分布筋的拉结筋,正常情况下满足规范Φ@600的要求即可,无需满足“隔*拉*”的要求。
此处还要明确一个概念:相同间距下,梅花形布置比矩形布置是多了100%、而不是直观感觉中的(5根-1根)/4根=25%。如下图所示:

1、矩形布置时4角各设置1根拉筋,每根拉筋由与其相接的4个矩形分摊即每个矩形1/4根,矩形内拉筋数量=4角*1/4根=1根;梅花形是在矩形的中心增设1根拉筋,加上角部1根合计2根,增量100%。
2、如上图所示,梅花形拉筋的影响范围为红色菱形,矩形拉筋的影响范围为蓝色矩形,红色为蓝色的50%,即梅花形用量为矩形的一倍,同样可验证增量100%。
因此,设计师在标注拉筋规格时还是需要斟酌一下、合理设置,避免无效的放大加强。虽然单根拉筋的用量不多,但过度设置导致的增量也是不少的。例如:某项目的剪力墙表截图如下:

1、拉结筋Φ10
300(梅花形),单位面积墙面的钢筋用量约5.94kg。
2、拉结筋Φ10
300(矩形),单位面积墙面的钢筋用量约2.97kg。
3、拉结筋Φ6
600(矩形),单位面积墙面的钢筋用量约0.36kg。
设30层剪力墙住宅,标准层建筑面积500m2。含墙率5%,每层的墙体面积25m2,墙厚200mm总墙长约125m,按平均长度3m计算约41段墙肢82个构造边缘构件,按每个构件平均长度450mm估算,扣除后的墙身净长度约88m,按3m层高计算的墙身面积约264m2。Φ10
300(梅花形)用量1568kg,每平米建筑面积约3.14kg;Φ10
300(矩形)用量784kg,每平米建筑面积约1.57kg ;Φ6
600(矩形)用量95kg,每平米建筑面积约0.19kg 。各方案极差是2.95kg/平面建筑面积、折算约17.7元,全楼极差约26.5万元。可见,不同的布置方式,导致的钢筋用量及成本的差异还是比较明显的。
此处再补充一点资料,在《施工布筋图集》中,前后两版的示意是不同的。

已作废的12版

现行的18版
个人认为旧版的做法,梅花形和矩形的拉结筋最大间距均为600mm,与结构规范要求相对更匹配。新版的调整至与结构图集一致,但是否合适值得商榷。
综合上述的讨论及分析,对剪力墙墙身拉结筋的设计建议如下:
1、常规情况下,满足规范要求的不少于Φ6@600即可。
2、优先采用矩形布置。
知识点:剪力墙墙身拉结筋布置方式讨论及优化
0人已收藏
0人已打赏
免费1人已点赞
分享
公共建筑设计
返回版块51.17 万条内容 · 447 人订阅
回帖成功
经验值 +10
全部回复(0 )
只看楼主 我来说两句抢沙发