0 引言
改革开放四十多年来,我国GDP总量世界第二,2019年我国人均GDP已到达1.1万美元,社会财富的剧增,同时随着网购业、物流业的迅速发展,致使大量高架立体仓库应运而生,高架仓库的规模越来越大,最大的项目已达几十万平方米,有的高度高达到40 m。自动喷水灭火系统是当今世界上公认的最为有效的自动灭火设施,也是保护仓库最可靠的灭火系统。自动喷头通过将水输送到货架上的可燃物表面,有效降低燃烧速率和烟气温度,同时润湿燃烧物周围的物品,阻止或减少火灾蔓延,最终实现火灾的有效抑制和控制。高架仓库又称为自动化立体仓库,其具有占地少、机械化程度高、空间利用率高等优点,而这些优点也决定了其火灾特性:
火灾隐患多;
火势蔓延迅速、燃烧猛烈;
火灾破坏力度大;
火灾扑救难度大;
火灾损失严重。
高架仓库火灾的这些特性,使标准洒水喷头的有效性受到巨大挑战。为应对这些挑战,FM goble公司进行了一系列研究,并提出了响应时间指数(RTI)、实际喷水强度(ADD)、必须喷水强度(RDD)等新概念。在这些新的概念和理论帮助下,FM gobal开发了ESFR喷头,并基于11组实体灭火试验颁布了ESFR喷头的安装要求。
1 计算流体动力学应用于自动喷水进展
由于仓库燃烧试验是极具破坏性试验,因此全世界实体火灾试验较少。而计算流体动力学(CFD)已被证明是消防安全科学中用于模拟火灾现象的有用且强大的工具,一些CFD模拟已被证明其可以成功预测房间,隧道和仓库中的火势增长,蔓延和烟雾运动。对于自动喷水灭火过程的数值模拟研究如下:Alpert进行了有关喷水灭火模型的早期研究,该研究对二维的气体/水滴流动进行了建模,并考虑了火羽和水滴之间的质量、动量和能量传递3种作用模式。Nam对货架火灾中的早期抑制快速响应(ESFR)洒水喷头进行仿真,通过数值模拟研究了ESFR喷头的渗透能力及火羽和液滴之间的相互作用。Novozhilov等使用CFD模型对舱室火灾进行了喷水灭火数值模拟,开发了一个相对全面的模型,将喷水模型与灭火模型相结合。2013年,Sikanen等评估了FDS在预测喷水范围内液滴尺寸、速度和数量分布的能力。随后Tarek等提出了一套全面的数值模拟方法,检验了FDS在预测液滴与垂直上升的热气流相互作用的能力。
而仓库自动喷水灭火的研究,主要是因可燃物的仿真模拟有难度,故进展缓慢。2020年,黄晓家等在解决了标准燃烧物仿真模拟的难题后,对于大空间自动喷水灭火系统的工程参数进行了仿真模拟,研究并提出了18 m大空间的设计参数,从而使仓库火灾喷水灭火仿真模拟成为可能。
本文在基于这些理论研究的基础上,利用美国国家标准技术研究所开发的火灾动力学模拟器(FDS)对三层仓库货架进行真实场景自动喷水灭火仿真模拟研究,并提出工程设计参数。
2 高架仓库燃烧试验与FDS模拟
2.1 高架仓库场景设置
天津消防研究所所做试验为国内首次针对高架仓库的实体火灾试验,对该高架仓库试验进行真实场景仿真模拟,具体参数见表1。
表1 仓库模型喷头相关参数值

(1)火源及标准燃烧物。试验中点火源为浸有0.11 L汽油的纤维棉棒,直径为7.6 cm,长7.6 cm。在估算火源功率时,通过式(1)、式(2)可计算得出式(3):

式中 Q——热释放速率,kW;
Hu——可燃物平均热值,kJ/kg;
m·″——单位面积上的质量损失率,kg/(m?·s);
m·″∞——油池尺寸趋于无穷大时的单位面积质量损失率,kg/ (m?·s);
κ、β——与油池直径相关的系数;
D——油池直径,m;
Af——火源燃烧面积,m?;
χ——可燃物燃烧效率。最终火源功率计算得400 W。根据该火源功率,可以计算出特征火源直径为2.1 m。
货架上摆放物品为标准燃烧物,该标准燃烧物由装在分隔的单壁瓦楞纸箱中的聚苯乙烯杯组成,箱内杯子摆放形式如图1所示。

图1 分层纸箱中的聚苯乙烯杯示意
(2)网格划分。利用FDS对三层货架进行1∶1全尺寸建模。根据特征火源直径,网格尺寸大小设成0.1 m较为合适。考虑计算效率,在模拟中使用了两种不同的网格大小,实际网格被划分为5个网格区域,这些网格之间的界面设定在远离火源区域的位置,以避免对模拟结果产生影响。在喷头和火源相互作用的中心区域及货架所在区域,使用了的网格尺寸大小为0.1 m×0.1 m,其余区域采用0.2 m×0.2 m,网格总数975 264,模型为开放边界,以保证氧气充足。
(3)喷头。喷头相关参数见表1。NFPA13中规定用于仓库的ESFR喷头溅水盘距离天花板不得超过0.36 m。且规定了货架之间烟道应留有不小于150 mm的烟道间隔。由于网格尺寸原因,为了喷头能及时感测到火灾产生的热量,故此模型中溅水盘距天花板的距离取值为0.3 m;两货架之间烟道设置为0.2 m。
(4)热电偶及热辐射计位置。在点火位置的正上方设置温度热电偶,热电偶从地面0.1 m处,每隔1 m设置温度测点,共布置8层,形成热电偶树。并在距离主货架1.2 m处设置目标货架,每层货物中心布置辐射热测点,记录的数据将用于指示火灾是否引燃目标货架。此外,由于ASTM E119将钢结构温度限制在538 ℃,在距天花板0.1 m处设置了角钢,并布置热电偶,用于测量火灾对仓库钢结构的影响。火源、喷头及热电偶、热辐射计布置如图2所示。

图2 喷头、热电偶及热辐射计等装置布置
2.2 试验与模拟数据分析及对比
试验数据与模拟数据对比详见表2。真实燃烧试验中,三层货架在喷头启动时的热释放率约为1.5~1.8 MW,而模拟中喷头启动时刻的热释放速率为1.6 MW,在合理范围区间内。在模拟最后阶段,热释放率曲线维持在大约180 kW,这与真实试验中当喷头停止动作后,货架底部还存在零星火焰的事实相符。全尺寸灭火试验与FDS仿真模拟中动作喷头处的温度曲线对比见图3。
表2 三层货架试验与FDS模拟数据对比


图3 三层货架开启喷头处温度曲线对比
通过各方面参数及试验现象对比,结果表明仓库货架自动喷水灭火仿真数值模拟可以替代真实燃烧灭火试验,数值模拟结果可用于高架仓库火灾工程设计的参数研究与分析比较。
3 高架仓库ESFR喷头设计参数的模拟研究
对于高架仓库相关规范,例如美国NFPA 13以及国内的《自动喷水灭火系统设计规范》(以下简称喷规)中所采用的参数仅仅经过较少的试验得出,并没有大量的试验数据作为支撑。喷规第5.0.5条规定,当仓库储存物为箱装不发泡塑料,最大净空高度为9 m,最大储物高度为7.5 m,选用喷头流量系数K为202的下垂型ESFR喷头时,其喷头最低压力为0.345 MPa,计算得喷水强度为41.99 L/(min·m?),美国NFPA13-2019的与喷规一致,这个值大于FM DS809的规定值32 L/(min·m?),FM保险公司的数据是经济可靠的。
FM gobal根据临界传递通量(CDF)测量结果,得到三层货架聚苯乙烯杯商品临界灭火喷水强度RDD值为16.3 L/(min·m?)。为探究最佳工程设计参数,笔者利用FDS分别设置K系数为202、161、115的3种ESFR喷头在压强0.2 MPa、0.3 MPa、0.4 MPa下及临界灭火喷水强度16.3 L/(min·m?)共10种工况进行仿真模拟。
3.1 喷头K系数为202下不同压强数值模拟结果
3种工况喷水喷头动作时间、火灾最大热释放速率、火源正上方钢结构温度等详细参数见表3。3种工况抑火过程,如图4所示。
表3 K系数202下3种工况模拟结果



图4 K系数为202的喷头在不同压强下的喷水灭火过程云图
3种工况喷头的动作时间与到达热释放速率曲线拐点时间不一致,笔者分析原因是:ERSF喷头粒径分布满足Rosin-Rammler和log-normal分布。喷头动作时,火灾规模已经达到1 600 kW,此时火羽流的阻力较大,部分粒径较小的液滴受火羽影响无法到达标准体阵列顶部表面,在火羽流的影响下向上运动,如图5所示。随着大粒径的液滴到达阵列顶部上方表面,同时由于水的表面张力,其表面会形成一层薄薄的附着层,冷却了燃烧物,阻止其进一步产生可燃蒸气。热释放速率增长速度减缓,火羽流的阻力降低。随后粒径较小的液滴由于火羽阻力降低而到达火灾区域,稀释氧气,直到ADD=RDD时,曲线到达峰值。

图5 模型中部分水滴在火羽流阻力的作用下向上运动
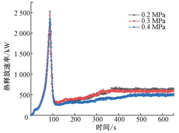
通过模拟发现,K系数为202的ESFR喷头,在0.4 MPa、0.3 MPa、0.2 MPa下均能有效快速抑制3层货架立体仓库火,3种压强下热释放速率与时间关系曲线如图6所示。
图6 K系数为202的ESFR喷头在不同压强下的热释放速率曲线
3.2 喷头K系数为161下不同压强的数值模拟结果
K系数为161时,3种工况模拟结果见表4。
表4 K系数161下3种工况模拟结果

喷水灭火过程如图7所示。



图7 K系数为161的喷头在不同压强下的喷水灭火过程云图
3种工况热释放速率如图8所示。通过分析对比发现,K系数为161的ESFR喷头,在3种工况下均能快速抑制三层货架立体仓库火。

图8 K系数为161的ESFR喷头在不同压强下的热释放速率曲线
3.3 喷头K系数为115下不同压强的数值模拟结果
喷头流量系数为K=115时,3种工况的模拟结果如下,喷水灭火过程如图9所示。
通过分析发现,3种工况均能对火灾进行抑制。但是由于K系数较小导致喷头孔口直径小。而体积中值直径随着孔口直径的2/3次方变化。故K115的ESFR喷头体积中值直径小于K161和K202,最终导致这3种工况下的抑火时间较前6种工况时间更长,3种工况热释放速率曲线如图10所示。



图9 K系数为115的喷头在不同压强下的喷水灭火过程云图

图10 K系数为115的ESFR喷头在不同压强下的热释放速率曲线
3.4 喷水强度16.3 L/(min·m?)数值模拟结果
根据美国FM公司CHENG Yao的研究,三层货架聚苯乙烯杯商品的临界灭火水密度(RDD)为16.3 L/(min·m?)。对该喷水强度进行了仿真模拟。在该工况下,点火后,火焰大约用了42 s时间到达第一层货物顶部并延伸到纵向烟道。随后,它迅速蔓延到三层货物顶端。70 s时,火焰击中天花板,同时位于主货架中心正上方的喷头启动。火焰被迅速压制,但60 s后,火焰开始在货架烟道重新增长,直到15 min47 s,位于第一个启动喷头以西3 m处喷头启动。在接下来的3 min22 s内,又启动了5个喷头,但是距离火源太远,对火灾没有影响。直到19 min9 s第八个喷头启动时,火势开始减弱,火灾规模增长至约16 MW。随后2 min 50 s内又启动了5个喷头,该工况下喷头总共启动了13个,喷头启动顺序如图11所示。
表5 K系数115下3种工况模拟结果


图11 喷水强度为16.3 L/(min·m?)时工况下喷头启动顺序

图12 工况10火源正上方不同高度温度
通过分析图12,在三层货架临界灭火喷水强度16.3 L/(min·m?)的工况下,喷头动作后顶部气体温度没有稳定下降,且最终喷头启动数量大于12个,货物损害严重,总共烧毁6个标准燃烧物,认为火灾抑制失败。
3.5 对仓库结构及目标货架的影响分析
当钢梁温度超过538 ℃时,便会对整个仓库结构造成影响。对火源正上方距天花坂0.1 m处设置的角钢进行温度测量,温度曲线如图13所示。通过曲线可发现,前9种工况,由于均实现了抑火,角钢温度均在150 ℃以内。工况10由于抑火失败,故角钢最高温度较前9种工况高,最高温度为226 ℃。但10种工况下钢结构均在安全温度内。而标准燃烧物被引燃的临界辐射热通量为20 kW/m?。在工况1~工况9中,对目标货架上的测点并未观测到辐射热通量变化;工况10,目标货架上的热辐射计树检查到明显的变化,如图14所示,通过观察热辐射计发现,目标货架最高热辐射值为18 kW/m?,未达到引燃的临界辐射热通量,故表明目标货架未被引燃。

图13 不同工况下角钢铁处的温度曲线

图14 工况10目标货架不同高度下辐射热曲线
4 ESFR喷头工程参数的确定
对于仓库货架燃烧灭火试验,如果满足以下条件,则可以认为成功灭火:
主要的火灾燃烧损害仅限于主货架的中央烟道;
喷头正下方点火的情况下只启动了一个喷头。
通过分析以上10种工况的模拟结果,发现工况1~工况9均能成功的抑制三层仓库立体火灾,故当喷水强度为18.0 L/(min·m?)时,便能实现三层仓库火灾的抑制,但工况7~工况9抑火时间远大于工况1~工况6,10种工况抑火时间详见表6。并且在工程设计参数上应取1.5~2的安全系数值,故此建议工程上三层仓库货架灭火喷水强度为27.1~36.1 L/(min·m?),这与FM全球财产损失DS 8098-9中建议的三层货架灭火喷水强度32.6 L/(min·m?)是吻合的。综上分析,当仓库最大净空高度为9 m,储存物为箱装不发泡塑料时可采用K系数为161的ESFR喷头,其喷水压强其喷水压强不小于为0.2 MPa至少为0.3 MPa或者以及采用K系数为202的ESFR喷头,其喷水压强不小于为0.2 MPa,这两种工况情况下的喷水强度分别为:31.0 L/(min·m?)和31.7 L/(min·m?)。
表6 10种工况抑火时间

5 小结
(1)国内首次建立了三层高架仓库的ESFR自动喷水灭火模型,与文献及FM gobal公司所做全尺寸真实燃烧试验进行对比分析,进一步验证了FDS软件应用于模拟仓库立体火灾的有效性。
(2)基于真实仓库实体灭火试验,验证了立体仓库自动喷水灭火系统灭火仿真模拟的可行性和可靠性,研究探究了不同流量K系数202、161、115的ESFR喷头在不同喷水压强力0.4 MPa、0.3 MPa、0.2 MPa下的灭火效果。同时也证明自动喷水灭火系统能有效保护建筑和立体仓库的支撑结构,角钢温度都未超过538 ℃,9种工况下均没有对仓库屋顶钢结构造成损害。
(3)模拟研究证实了三层货架的临界喷水强度16.3 L/(min·m?)时的灭火情况,发现在该工况下火灾最大功率达到了16 MW,总共启动了超过13个喷头,且货物损害严重。故在此喷水强度下,不能抑制火灾,只能初步控火,且控火效果较差。
(4)通过分析对比9种工况喷头启动数量、抑火时间等,并在取值安全系数的基础上认为工程中三层仓库货架灭火喷水强度取值27.1~36.1 L/(min·m?)是合理的。在最大净空高度为9 m的三层高架仓库,工程设计参数为采用K系数为161和工作压强为0.3 MPa ESFR喷头;或采用K系数为202和工作压强为0.2 MPa ESFR喷头。
内容源于给水排水,旨在分享,如有侵权,请联系删除
相关资料推荐:
https://ziliao.co188.com/d63005447.html
知识点:基于FDS的高架仓库火灾自动喷水灭火研究
0人已收藏
0人已打赏
免费3人已点赞
分享
建筑消防给水
返回版块28.41 万条内容 · 744 人订阅
阅读下一篇
爆炸危险性厂房和仓库~一、总平面布局 1. 有爆炸危险的甲、乙类厂房、库房宜独立设置,并宜采用敞开或半敞开式,其承重结构宜采用钢筋混凝土或钢框架、排架结构。 2. 有爆炸危险的厂房平面布置最好采用矩形,与主导风向应垂直或夹角不小于45°,以有效利用穿堂风吹散爆炸性气体,在山区宜布置在迎风山坡一面且通风良好的地方。
回帖成功
经验值 +10
全部回复(0 )
只看楼主 我来说两句抢沙发