土木在线论坛 \ 建筑结构 \ 混凝土结构 \ 钢-混凝土组合梁的刚度

钢-混凝土组合梁的刚度

发布于:2023-02-24 15:01:24 来自:建筑结构/混凝土结构 [复制转发]

近三十年来各种类型的钢结构在我国获得了大范围的应用,其快速发展促进了对它们设计方法的研究。由于研究手段的现代化,钢结构稳定理论、抗震设计理论和组合结构理论都取得了巨大的进展,钢结构及其配套新技术也不断出现。虽然钢结构应用广泛,钢结构设计规范也已经进入第 4 个版本即 2017 版本,但是钢结构设计仍存在很多亟待改进的地方,例如外露式柱脚的锚栓能否参与抗剪以及抗剪承载力如何计算,外包式柱脚的外包混凝土层是钢柱的支座还是与钢柱共同工作形成了钢管混凝土(SRC)柱,抗震结构的梁柱节点域应设计成强节点域还是弱节点域,等等。浙江大学童根树教授在参与钢结构相关规范的过程中对这些问题进行了一些思考,并带领团队进行了相关深入研究,在重视理论的同时也偏向工程应用,积累了很多很好的设计经验。为进一步促进和推动我国钢结构设计方法和技术的发展,《钢结构(中英文)》编辑部特邀童根树教授将其在钢结构设计研究中的新观点、新方法和新结果进行系列介绍,以飨读者,并欢迎大家交流和探讨。

摘要

推导了钢-混凝土组合梁的等效抗弯刚度,发现它由两部分组成:一是楼板和钢梁各自绕自身形心轴的抗弯刚度,二是楼板作为上弦、钢梁作为下弦、栓钉作为腹杆的桁架刚度,并给出了简单计算公式,同时介绍了剪切挠度和栓钉抗滑移刚度。


1 组合梁的界面滑移

图 1 是钢-混凝土楼板构成的组合梁;与普通梁不同之处在于钢-混凝土界面的栓钉是柔性连接件,受力后产生滑移;平截面假定对整个截面来说不再成立。


图片

图 1 钢-混凝土组合梁


栓钉受剪后的变形如图 2 所示,这种变形就是界面滑移;记单位面积上的抗滑移刚度为 kslip ( N/mm2) ,栓钉抗滑移刚度可以取栓钉承载力标准值的1 ~ 1.25 倍。


图片

图 2 栓钉的受力和变形

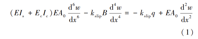
2 弯曲平衡微分方程

考虑界面滑移的理论在 1951 年由著名的 New-mark 等提出,相关平衡微分方程为:


式中: Ic ,I分别为楼板和钢梁绕各自形心的惯性矩; E,E分别为钢和混凝土的弹性模量; 为挠度;q 为梁上分布荷载; B 为平截面假定下(无界面滑移)组合梁截面的抗弯刚度,计算式为: 

图片

记钢梁形心和楼板形心的距离为 hsc ,图片为楼板作为上弦、钢梁作为下弦组成的桁架截面的抗弯刚度,如图 3 所示。


图片

图 3 组合梁类似桁架

3 等效抗弯刚度

因为设计规范允许混凝土和钢塑性充分开展,组合梁的强度计算并不需要求解微分方程,但挠度计算需要知道等效抗弯刚度以简化计算。获得等效刚度的方法如下: 


设简支梁承受正弦分布荷载:图片则挠度也是正弦函数,即:

图片

代入式(1)得到跨中挠度:

图片

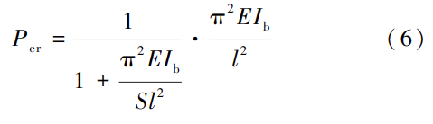
对式(5)等号右边的第 2 项进行解读:参考格构式压杆的临界荷载计算公式。设格构式压杆截面惯性矩为 Ib , 缀条体系抗剪刚度为 S, 则格构式压杆临界荷载为:

图片

将式(5)与式(6)对比并取桁架抗弯刚度为图片,则桁架剪切刚度取为:

图片

因此组合梁的荷载是由两种子结构来共同承担的:第 1 种子结构由楼板和钢梁各自独立的刚度抵抗荷载(没有组合作用,合计刚度为 EIsEcI), 第2 种子结构为格构式构件模型(桁架模型),刚度公式为式(5)等号右边第 2 项,两部分相加得到式(5)。 


式(5)虽然是针对正弦分布荷载推导得到的,但可以应用于任何荷载情况,相关文献中介绍的均布荷载、跨中集中荷载和三分点集中荷载的简支梁,其精确求解得到的挠度公式最后都能够以极高的精度将刚度化简为式(5)。


得到等效抗弯刚度后,组合梁就可以按照普通梁来计算挠度。


另外还有如下重要结论:组合梁的力学模型,即平衡微分方程式(1),与联肢剪力墙的力学模型完全一样,参考《钢结构的平面内稳定》。


4 组合梁的剪切挠度

组合梁的剪力被要求由钢梁承受,而组合梁中的钢梁截面比纯钢梁的截面小很多,因此剪切变形在组合梁中的占比更大。考虑组合梁中的钢梁剪切变形的方法是计算剪切挠度 w与弯曲挠度相加,故均布荷载时跨中剪切挠度为: 

图片

式中: 为钢材剪切模量; Aw 为钢梁腹板面积;系数0.8 为考虑弹性阶段楼板也承担了一部分剪力而引入的折减系数。

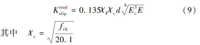
5 栓钉的抗滑移刚度

栓钉的抗滑移刚度是挠度计算的重要参数。遗憾的是,各国规范都没有给出这个刚度,欧盟 Eurocode 4 的附录中仅提到 ?19 栓钉的抗滑移刚度可以取 100 kN/mm。实际上栓钉埋在混凝土中,类似桩基埋在地基土中,可以采用弹性空间地基模型,挠度计算为使用极限状态,因此采用弹性刚度,考虑根部栓钉和混凝土的局部塑性开展引入折减系数,然后考虑栓钉锚固在钢板上还是下部有钢梁腹板等,可以得到: 

图片

式中: d 为栓钉直径; χF 为栓钉根部嵌固系数; χc 为混凝土强度影响系数; fck 为混凝土强度标准值。表1 给出了式(9)的计算结果。


表 1 栓钉抗滑移刚度( tfd = 0.5,fy= 345 MPa)

图片


栓钉正对腹板时 χF 取 1.0, 栓钉在钢板上时,有:

图片


来源

童根树. 钢-混凝土组合梁的刚度[J]. 钢结构(中英文), 2022, 37(10): 50-52. 


知识点:钢-混凝土组合梁的刚度

钢与混凝土组合梁

全部回复(0 )

只看楼主 我来说两句抢沙发
这个家伙什么也没有留下。。。

混凝土结构

返回版块

140.17 万条内容 · 2213 人订阅

猜你喜欢

阅读下一篇

保模一体板施工后的外墙保温体系用什么来找平?

用玻化微珠保温砂浆是不是可行?粘结砂浆的成本要低一些是不是能用,预计厚度在1.5-2cm,是不是要考虑再增加一道耐碱玻璃网格布?

回帖成功

经验值 +10