土木在线论坛 \ 建筑结构 \ 结构施工图 \ 吊车梁腹板承压应力的正确公式

吊车梁腹板承压应力的正确公式

发布于:2023-02-24 14:24:24 来自:建筑结构/结构施工图 [复制转发]

近三十年来各种类型的钢结构在我国获得了大范围的应用,其快速发展促进了对它们设计方法的研究。由于研究手段的现代化,钢结构稳定理论、抗震设计理论和组合结构理论都取得了巨大的进展,钢结构及其配套新技术也不断出现。虽然钢结构应用广泛,钢结构设计规范也已经进入第 4 个版本即 2017 版本,但是钢结构设计仍存在很多亟待改进的地方,例如外露式柱脚的锚栓能否参与抗剪以及抗剪承载力如何计算,外包式柱脚的外包混凝土层是钢柱的支座还是与钢柱共同工作形成了钢管混凝土(SRC)柱,抗震结构的梁柱节点域应设计成强节点域还是弱节点域,等等。浙江大学童根树教授在参与钢结构相关规范的过程中对这些问题进行了一些思考,并带领团队进行了相关深入研究,在重视理论的同时也偏向工程应用,积累了很多很好的设计经验。为进一步促进和推动我国钢结构设计方法和技术的发展,《钢结构(中英文)》编辑部特邀童根树教授将其在钢结构设计研究中的新观点、新方法和新结果进行系列介绍,以飨读者,并欢迎大家交流和探讨。

摘要

钢吊车梁轮压下腹板承压应力计算,我国钢结构设计规范改过多次,与欧洲,俄罗斯和美国的公式都不一样。简要介绍了基于弹性地基梁理论的一个解析解,其数值结果与有限元分析一致。给出了两类轨道的等效承压长度计算公式。


集中力在钢板中的扩散角度,来自《弹性力学》平面问题的弗拉芒解:在半无限平面的上边界作用一个集中力,如图 1 所示,半无限平面内的应力是: 

图片

计算等效宽度 b上的均布应力,可以得到: 

图片

于是得到扩散角为:

图片

即集中力在钢板中的扩散角是 38.146°。


图片

图 1 集中力在平板中的应力扩散角


但是,扩散角受到垫梁、垫板的影响。图 2 是建筑工地施工人员的经验,在软基部位,要放置路基板以扩散应力。


图片

图 2 力的扩散角受到垫板的影响


吊车梁中的轨道和钢梁上翼缘,是下部钢梁腹板的垫梁:如图 3 所示,钢梁上翼缘在轮压荷载处有局部下凹变形,上翼缘的挠度减去下翼缘的挠度是腹板的竖向压缩变形,因此轨道和上翼缘是腹板的弹性地基。如果轨道刚度无限大,是不可能有这样的下凹变形的,因此轨道的刚度是决定应力在腹板中扩散的重要因素。


图片

a—模型图; b—变形。

图 3 轮压作用下吊车梁腹板的变形


有限元分析表明,对腹板上边缘的竖向压应力,腹板高度几乎没有影响,因此可以按照腹板高度无限大来模拟,于是得到了半无限弹性平面上的弹性地基梁(轨道)的力学模型。未知量是挠度和钢梁与半无限平面之间的法向相互作用力 q(x) 。注意图 3b 的轨道变形图,轨道变形出现在很短的范围,必须考虑轨道梁剪切变形。钢梁弯曲平衡微分方程为:

图片

式中: 为轨道惯性矩; 为弹性模量; wb 为弯曲挠度; P 为轮压; u(x) 为 heaviside 函数。剪切挠度为: 

图片

式中: G 为轨道剪切模量; A 为轨道面积; ks 为剪切系数,对图 4 所示两种轨道,其值为 1.73(QU70) 和2.47(38 kg)。总挠度为: 

图片


图片

图 4 两种轨道


在 q(x) 作用下半无限平面的挠度,利用弹性力学 Flamant 解中的表面竖向位移公式获得: 

图片

式中: tw 为腹板厚度。采用一定的技巧求解上述这一组方程,可以得到 q(x) ,这个力就是腹板上表面的承压应力。


钢梁腹板承压应力,还受到荷载作用点高度的影响,见图 5,力作用在轨道顶部比作用在轨道形心更有利于扩散。须将轨顶的力按照 38.146°这一角度向两侧扩散到轨道的形心轴上,把轮压简化为分布荷载,代入方程进行求解。


图片

图 5 荷载作用点高度的影响


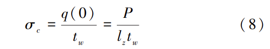
腹板承压求得的应力为:

图片

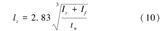
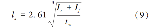
式中: lz 为等效承压长度。综合考虑剪切变形和荷载作用点高度后,得到等效承压长度如下: 


铁路轨道(33,43,50 kg 等规格):

图片

QU70,QU80 等起重机系列:

图片

两种轨道系列的剪切变形占比不一样,所以公式有差别。


来源

童根树. 吊车梁腹板承压应力的正确公式[J]. 钢结构(中英文), 2022, 37(11): 38-40. 


知识点: 吊车梁腹板承压应力的正确公式

吊车梁腹板变形,有么办法娇正呀?急!

全部回复(0 )

只看楼主 我来说两句抢沙发
这个家伙什么也没有留下。。。

结构施工图

返回版块

57.56 万条内容 · 1092 人订阅

猜你喜欢

阅读下一篇

材料的表面处理工艺大全

表面处理是在基体材料表面上人工形成一层与基体的机械、物理和化学性能不同的表层的工艺方法。 表面处理的目的是满足产品的耐蚀性、耐磨性、装饰或其他特种功能要求。我们比较常用的表面处理方法是,机械打磨、化学处理、表面热处理、喷涂表面,表面处理就是对工件表面进行清洁、清扫、去毛刺、去油污、去氧化皮等。今天我们就来了解下表面处理工艺。  常用表面处理的工艺有:

回帖成功

经验值 +10