土木在线论坛 \ 建筑结构 \ 钢结构工程 \ 框架梁的畸变屈曲:隅撑还是加劲肋?

框架梁的畸变屈曲:隅撑还是加劲肋?

发布于:2023-02-24 14:17:24 来自:建筑结构/钢结构工程 [复制转发]

近三十年来各种类型的钢结构在我国获得了大范围的应用,其快速发展促进了对它们设计方法的研究。由于研究手段的现代化,钢结构稳定理论、抗震设计理论和组合结构理论都取得了巨大的进展,钢结构及其配套新技术也不断出现。虽然钢结构应用广泛,钢结构设计规范也已经进入第 4 个版本即 2017 版本,但是钢结构设计仍存在很多亟待改进的地方,例如外露式柱脚的锚栓能否参与抗剪以及抗剪承载力如何计算,外包式柱脚的外包混凝土层是钢柱的支座还是与钢柱共同工作形成了钢管混凝土(SRC)柱,抗震结构的梁柱节点域应设计成强节点域还是弱节点域,等等。浙江大学童根树教授在参与钢结构相关规范的过程中对这些问题进行了一些思考,并带领团队进行了相关深入研究,在重视理论的同时也偏向工程应用,积累了很多很好的设计经验。为进一步促进和推动我国钢结构设计方法和技术的发展,《钢结构(中英文)》编辑部特邀童根树教授将其在钢结构设计研究中的新观点、新方法和新结果进行系列介绍,以飨读者,并欢迎大家交流和探讨。

摘 要

介绍了独立支撑和相对支撑的概念,指出框架梁之间设置的隅撑是相对支撑,其发挥作用的前提是另一根构件有富余度,即隅撑作用具有不确定性。故建议采用离开柱面 1.5 倍梁高处设置加劲肋来避免框架梁的畸变屈曲,同时给出了不设隅撑的条件。


1 独立支撑和相对支撑

先介绍 “独立支撑” 和 “相对支撑” 的概念。如图 1a 所示,相对支撑是支撑杆的两端都可能发生位移,图中两根相同截面的压杆承受相同压力 P ,两个压杆同时屈曲,中间的水平系杆(作为支撑杆)两端位移相同,支撑杆内无应变、无内力,支撑无法发挥作用。


图片

a—相对支撑; b—独立支撑。

图 1 独立支撑和相对支撑


如图 1b 所示,独立支撑是支撑杆的远端连接在刚度很大的部位,例如地面或者刚度很大的构件或者结构上,压杆屈曲时支撑杆远端无位移,此时支撑杆受压力或受拉力,阻止压杆屈曲,支撑杆发挥了作用。


2 相对支撑发挥作用的方式

相对支撑发挥作用的条件是:支撑杆两端的压杆受力不同,即不同时屈曲。此时支撑仅起 “传递”作用,或 “变形协调” 作用,仅仅是把受力较小压杆的“富余刚度” ,传递给受力较大的压杆,提高受力较大压杆的临界荷载。


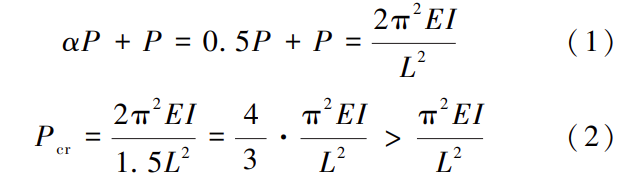
图 2 右侧压杆轴力小于左侧压杆,设 α = 0.5,支撑杆把右侧压杆的富余度提供给了左侧压杆,使得左侧压杆临界荷载提高了 33.33%。注意这个提高部分是右侧柱子提供的,不是支撑本身提供的。临界荷载为: 


图片


式中:E、I、L、P 分别为弹性模量、柱截面惯性矩、无杆总长和柱上轴力。


图片

图 2 相对支撑发挥作用的方式:变形协调作用


3 相互垂直的钢梁之间的隅撑

再看图 3 所示设置在两个方向的框架梁之间的隅撑。这是 JGJ 99—2015《高层民用建筑钢结构技术规程》允许的做法,但是这种做法是否有效,应进行分析。


图片

图 3 框架梁之间的隅撑


首先可以明确,这种框架梁之间的隅撑是相对支撑,当两根梁同时发生畸变屈曲时,隅撑内没有拉压力,因此不发生作用,它仅仅是随动而已。而它发挥作用的前提是: 


1) 垂直方向梁的负弯矩较小,有潜力; 


2) 此时它仅仅是起“变形协调”作用,或 “传递”作用,真正起作用的是垂直方向梁的下翼缘的平面外刚度;


3) 如果垂直方向的钢梁很窄,腹板很薄或受力已经很大,则通过隅撑从垂直方向的梁借力就变得不可能。


当垂直方向梁有富余度时,如何计算畸变屈曲的问题? 目前还没有相关研究。但从图 2 可知,图3 隅撑连接的两根梁的弯矩、刚度、腹板对各自下翼缘的约束作用都要合并。将两根梁作为一个整体来研究,理论上并不难,但是得到的结果应用价值并不大。


欧洲、美国的建筑案例中设置相关隅撑,日本的文献资料中也未见有。所以不建议用设置隅撑的方法来防止畸变屈曲。


4 弹性地基梁模型

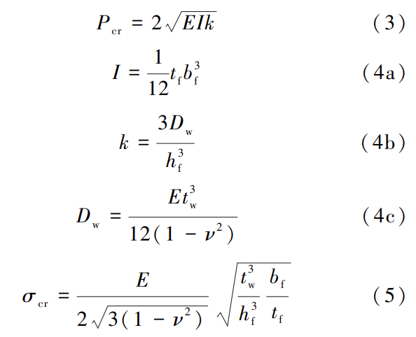
对于工字形截面框架梁,翼缘强时腹板得到了翼缘的侧向约束,梁腹板变为四边支承板。下翼缘平面外刚度弱时,就可能发生如图 4b 所示的畸变屈曲。它实际上是下翼缘作为一字形截面压杆发生侧向弯扭屈曲,但是受到了腹板作为悬臂板的约束。下翼缘作为压杆支承在腹板这一弹性地基上:特殊之处在于腹板是一块板,不是简单的 Winkle 地基;另外腹板有受压区,腹板自身也有屈曲的可能。


图片

a—框架梁; b—畸变屈曲; c—加劲肋防畸变。

图 4 框架梁畸变屈曲及加劲肋防畸变


虽然如此,仍可以采用简化模型: 将下翼缘简化为侧向弯曲屈曲的压杆,腹板简化为一条条竖向悬臂梁,且相互间不影响,采用 Winkle 弹性地基梁公式求临界荷载,钢梁纯弯负弯矩时下翼缘轴力的临界值为:


图片


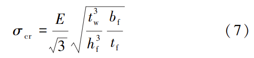
畸变屈曲的半波长较长,实际工程中负弯矩区段小,因此总是一个半波,式(3)由求最小值得到,结果非常保守;在箱形柱和钢管混凝土柱时支座可以认为是刚接,弯矩沿长度变化,这两个因素都使临界荷载大幅度增加,假设荷载增加到纯弯刚接的1.333 倍,则临界应力为:


图片


式(6)与长度有关,应用不便,且试算后发现式(6)的临界应力比式(5)高很多。为了简化,取式(3)的 1.91 倍,基本为式(6)的下限则有:


图片


定义图片 ,当 λ≤ 0.4 时钢梁承载力可达塑性弯矩,此时:图片,而欧洲 EC4 中该参数要求不小于 60。


5 构造措施

由于畸变屈曲精确计算比较麻烦,所以往往采用加劲肋来防止结构发生畸变屈曲。只要在离柱面1.5 倍梁高处设置一道加劲肋(图 4c)即可,设置一道薄加劲肋,即可使得畸变屈曲的正则化长细比小于 0.25。


来源

童根树. 框架梁的畸变屈曲:隅撑还是加劲肋[J]. 钢结构(中英文), 2022, 37(12): 45-47. 


知识点:框架梁的畸变屈曲

框架梁

全部回复(0 )

只看楼主 我来说两句抢沙发
这个家伙什么也没有留下。。。

钢结构工程

返回版块

46.53 万条内容 · 1212 人订阅

猜你喜欢

阅读下一篇

纯干货:住宅建筑供配电设计与各专业的配合,电气设计人员必备

一、供配电系统设计住宅是我们最常见的建筑类别,其对电气专业要求相对简单,有一套成熟的模式;住宅在我们工作中是很大一块,我们平时遇到最多的就是住宅楼的设计,其次是商业和写字楼,还有一些学校建筑,医疗建筑、体育建筑、展览建筑和工业建筑较少。住宅虽然简单,但要做好它还真不是那么简单,还是有许多内容需要我们思考,比如负荷选取等;住宅在方案阶段对设备管井考虑不多,公共部位空间有限,造成管井局促,施工图时增大管井十分困难;住宅供电受供电局的限制较大,地域性较强。

回帖成功

经验值 +10