一、相关规定
1、 钢结构设计标准 GB 50017-2017
12.7.4 柱脚锚栓不宜用以承受柱脚底部的水平反力,此水平反力由底板与混凝土基础间的摩擦力(摩擦系数可取0.4)或设置抗剪键承受。
【条文说明】12.7.4 按我国习惯,柱脚锚栓不考虑承受剪力,特别是有靴梁的锚栓更不能承受剪力。但对于没有靴梁的锚栓,国外有两种意见,一种认为可以承受剪力,另一种则不考虑(见G.BALL10,F.M.MAZZOLANI著《钢结构理论与设计》,冶金部建筑研究总院译,1985年12月)。另外,在我国亦有资料建议,在抗震设计中可用半经验半理论的方法适当考虑外露式钢柱脚(不管有无靴梁)受压侧锚栓的抗剪作用,因此条文中采用“不宜”。至于摩擦系数的取值,现在国内外己普遍采用0.4,故列入。
2、门式刚架轻型房屋钢结构技术规范 GB 51022-2015
10.2.15 柱脚节点应符合下列规定:
3 带靴梁的锚栓不宜受剪,柱底受剪承载力按底板与混凝土基础间的摩擦力取用,摩擦系数可取0.4,计算摩擦力时应考虑屋面风吸力产生的上拔力的影响。当剪力由不带靴梁的锚栓承担时,应将螺母、垫板与底板焊接,柱底的受剪承载力可按0.6倍的锚栓受剪承载力取用。当柱底水平剪力大于受剪承载力时,应设置抗剪键。
4 柱脚锚栓应采用Q235钢或Q345钢制作。锚栓端部应设置弯钩或锚件,且应符合现行国家标准《混凝土结构设计规范》GB 50010的有关规定。锚栓的最小锚固长度la(投影长度)应符合表10.2.15的规定,且不应小于200mm。锚栓直径d不宜小于24mm,且应采用双螺母。
【条文说明】10.2.15 在进行柱脚锚栓抗拔计算和设计时,与柱间支撑相连的柱要考虑支撑竖向风荷载的影响。
柱底水平剪力由底板与基础表面之间的摩擦力承受,摩擦系数取0.4。当剪力超过摩擦力,剪力仅由锚栓承受时,要采取措施。底板和锚栓间的间隙要小,应将螺母,垫板与底板焊接,以防止底板移动。另外,锚栓的混凝土保护层厚度要确保。考虑锚栓部分受剪,柱底承受的水平剪力按0.6倍的锚栓受剪承载力取用。
当需要设置抗剪键时,抗剪键可采用钢板、角钢或工字钢等垂直焊于柱底板的底面,并应对其截面和连接焊缝的受剪承载力进行计算。抗剪键不应与基础表面的定位钢板接触。
3、机械工业厂房结构设计规范 GB 50906-2013
7.4.2 露出式柱脚基础,钢柱轴力应由底板直接传至混凝土基础;钢柱底部的水平力,应由底板与混凝土基础间的摩擦力承受;当水平力大于底板下的摩擦力时,应设置抗剪件且承受全部水平力;钢柱底部的弯矩,应由柱脚锚栓的拉力和底板与基础混凝土间的承压力承受;柱脚锚栓在基础中的埋置应满足锚固要求,埋入长度不应小于其直径的25倍;锚栓底部应设锚板或弯钩,锚板厚度宜大于锚栓直径的1.3倍。柱脚底板下混凝土的局部承压,应按现行国家标准《混凝土结构设计规范》GB 50010的有关规定验算。
【条文说明】无。
4、有色金属工业厂房结构设计规范 GB 51055-2014
7.3.25 外露式刚性柱脚的设计应符合下列规定:
1 柱脚应按柱脚处最不利组合内力进行计算,抗震设计时,柱脚承载力不宜小于柱截面塑性屈服承载力的1.2倍。
2 柱脚锚栓的直径和数量应根据组合内力作用下产生的最大拉力计算确定。柱脚底部的水平剪力应由柱脚钢底板与基础间的摩擦力,或设置抗剪键及其他措施承担,不应由柱脚锚栓承担。
【条文说明】无。
5、高层民用建筑钢结构技术规程 JGJ 99-2015
8.6.2 外露式柱脚的设计应符合下列规定:
4 钢柱底部的剪力可由底板与混凝土之间的摩擦力传递,摩擦系数取0.4;当剪力大于底板下的摩擦力时,应设置抗剪键,由抗剪键承受全部剪力;也可由锚栓抵抗全部剪力,此时底板上的锚栓孔直径不应大于锚栓直径加5mm,且锚栓垫片下应设置盖板,盖板与柱底板焊接,并计算焊缝的抗剪强度。
【条文说明】8.6.2 外露式柱脚应用于各种柱脚中,外包式柱脚和埋入式柱脚中钢柱部分与基础的连接,都应按抗弯要求设计。锚栓承载力计算参考了高强度螺栓连接(承压型)同时受拉受剪的承载力计算规定。锚栓抗剪时的孔径不大于锚栓直径加5mm左右的要求,是参考国外规定,国内已有工程成功采用。当不能做到时,应设置抗剪键。
6、混凝土结构加固设计规范 GB 50367-2013
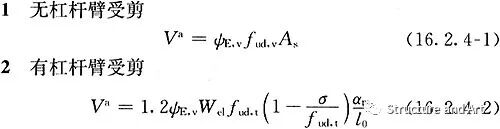
16.2.1 锚栓钢材的承载力验算,应按锚栓受拉、受剪及同时受拉剪作用等三种受力情况分别进行。
16.2.4 锚栓钢材受剪承载力设计值,应区分无杠杆臂和有杠杆臂两种情况(图16.2.4)按下列公式进行计算:

式中:Va——锚栓钢材受剪承载力设计值(kN);
ψE,v——锚栓受剪承载力抗震折减系数;对6度区及以下,取ψE,v=1.00;对7度区,取ψE,v=0.80;对8度区Ⅰ、Ⅱ、Ⅲ类场地,取ψE,v=0.70;
As——锚栓的有效截面面积(mm2);
We1——锚栓截面抵抗矩(mm3);
σ——被验算锚栓承受的轴向拉应力(N/mm2),其值按Nat/As确定;符号Nat和As的意义见式(16.2.2);
αm——约束系数,对图16.2.4(a)的情况,取αm=1;对图16.2.4(b)的情况,取αm=2;
l0——杠杆臂计算长度(mm);当基材表面有压紧的螺帽时,取l0=l;当无压紧螺帽时,取l0=l+0.5d。

图16.2.4 锚栓杠杆臂计算长度的确定
1—锚栓;2—固定件;l0—杠杆臂计算长度
【条文说明】16.2.1~16.2.4 这三条规定基本上是参照欧洲标准制定的,但根据我国钢材性能和质量情况对设计指标稍作偏于安全的调整。此外,还在条文内容的表达方式上作了适当改变:一是与现行设计规范相协调,给出锚栓钢材强度的设计值;二是直接以锚栓抗剪强度设计值?ud,v取代原公式中的0.5?ud,t,使该表达式(16.2.4-1)在计算结果相同的情况下概念较为清晰。这次修订,又参照美国ACI 318附录D的规定,对ψE,V的取值作了偏于安全的调整。
二、结论
1、从直观意义上,锚栓肯定能抗剪。
2、目前现行的规范大部分均不支持锚栓抗剪,外露式柱脚抗剪由底板摩擦力和额外设置的抗剪键共同抗剪。
3、高钢规规定由锚栓抵抗全部剪力时,要求底板上的锚栓孔直径不应大于锚栓直径加5mm,且锚栓垫片下应设置盖板,盖板与柱底板焊接,并计算焊缝的抗剪强度。
4、混凝土加固设计规范给出了后置锚栓抗剪承载力计算方法。
转载内容如有侵权请联系我们删除
知识点:钢结构锚栓能不能抗剪
0人已收藏
0人已打赏
免费1人已点赞
分享
钢结构工程
返回版块46.53 万条内容 · 1214 人订阅
阅读下一篇
钢结构工程设计常用术语序 号 术 语 术 语 含 义 1 强度 构件截面材料或连接抵抗破坏的能力。强度计算是防止结构构件或连接因材料强度被超过而破坏的计算 2 承载能力 结构或构件不会因强度、稳定或疲劳等因素破坏所能承受的最大内力;或塑性分析形成破坏机构时的最大内力;或达到适应于继续承载的变形时的内力
回帖成功
经验值 +10
全部回复(1 )
只看楼主 我来说两句 抢板凳一般是按不考虑锚栓抗剪的。不能只看门刚规范。
回复 举报