知识点:架空输电线路
当输电线路遇到一定的风速时,导线及悬垂绝缘子串受风的影响,风力作用于导线及及悬垂绝缘子串上,垂直于线路方向的风压将使导线及悬垂绝缘子串产生横线路方向的摇摆偏移。架空导线摇摆偏移引起的架空导线与竖直方向所成的角度就是架空导线的风偏角。悬垂绝缘子串摇摆偏移引起的悬垂绝缘子串与竖直方向所成的角度就是悬垂绝缘子串风偏角,悬垂绝缘子串风偏角前面在《悬垂绝缘子串风偏角(摇摆角)新规程计算程序》介绍过,本次计算中直接引用,本次主要针对导线的风偏计算。
在《110kV~750kV架空输电线路设计规范》(GB 50545-2010)及《架空输电线路电气设计规程》(报批稿 )都要求,在最大计算风偏情况下,导线与山坡、峭壁、岩石之间的最小净空距离,边导线与规划建筑物之间的最小净空距离,输电线路通过公园、绿化区或防护林带,导线与树木之间的最小净空距离等都要满足其相关规定值的要求。今天主要根据《架空输电线路电气设计规程》(报批稿 )导地线风偏及绝缘子串的风偏瑞导线的风偏进行计算介绍。

01
架空导线任意一点风偏计算公式
▲图1 绝缘子串及导线风偏受力图
式中:
Cλ — — 绝缘子串的水平偏移值,(m)。
式中:
φ — — 悬垂或耐张绝缘子串的风偏角,(?);
η — — 架空导线的风偏角,(?);。

02
绝缘子串风偏角及耐张串投影长度
耐张绝缘子串受垂直荷载及水平荷载的作用,受耐张绝缘子串自重及导线自重的垂直荷载时耐张绝缘子串向下倾斜,耐张绝缘子串与横担水平面会形成一倾斜角θ;耐张绝缘子串及导线受水平风荷载时,系风垂直导线吹时引起耐张绝缘子串 在水平面内的偏移角度,既水平风偏角φ 。耐张绝缘子串垂直及水平荷载受力图如下图所示。

从上图(a)耐张绝缘子串垂直荷载受力图,可得耐张绝缘子串风的耐张串水平投影长计算公式如下:

GX — — 单导线单位长度重力,(N/m);GX =mxg,mx 为 导线单位长度质量,单位为kg/m,可以查 GB 1179-2017、国网或南网的企业相关标准;
lV — — 悬垂绝缘子串风偏角计算用杆塔垂直档距,(m);
T — — 计算条件下的相导线水平张力,(N)。
从上图(b)耐张绝缘子串风偏受力图,可得耐张绝缘子串风的风偏角计算公式如下:

T — — 计算条件下的相导线水平张力,(N)。

03
导线风偏角
架空线路任意一点,受导线的自重荷载或覆冰时的加覆冰的垂直总荷载,水平上有水平风荷载,受水平风荷载导线会产生偏移,这偏移既为导线的风偏角。根据图1的绝缘子串及导线风偏受力图,可得出导线的风偏角计算公式如下:

式中:
GX — — 单导线单位长度重力,(N/m);GX =mxg,mx 为 导线单位长度质量,单位为kg/m,g=9.80665 N/kg;可以查 GB 1179-2017、国网或南网的企业相关标准;
lV — — 计算用塔垂直档距,(m)。

04
风偏平面任意点弧垂

▲图3 任意一点弧垂示意图
根据前面我们介绍的《架空输电线路最大、最低、档距中央、任意点弧垂计算应用》可以知道,一档架空线内,导线上任意一点与悬挂点连线的垂直距离为任意一点的弧垂。
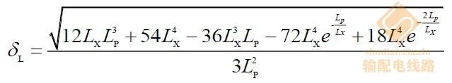
悬链线方法计算任意一点弧垂公式如下:
▲ 悬链线弧垂公式
式中:
L —— 该档的档距,m
h —— 该档的高差,大号侧(前侧)高为正,反之为负,m
a —— 导、地线最低点至小号侧悬挂点的水平距离,计算见4.1部分,m
x —— 计算点距离小号侧的水平距离,m
γ —— 计算气象条件下比载,MPa/m
σ0 —— 计算气象条件下弧垂最低的应力,MPa
β —— 高差角,°
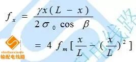
斜抛物线的任意一弧垂的计算公式下式:

▲ 斜抛物线弧垂公式
式中:
β —— 高差角,°
fm —— 该档的最大弧垂,m

05
导线风偏设计风荷载计算






表 风压高度变化系数μZ


g ——峰值因子,取3.6;
I10——10m高度名义湍流强度,对应A、B、C和D类地面粗糙度可分别取0.12、0.14、0.23和0.39;
Z——导、地线平均高度,m;
α ——地面粗糙度指数,对应A、B、C、D类地貌分别取0.12、0.15、0.22和0.30;
εC——导线或地线风荷载脉动折减系数,取1.0,计算张力时取0;
δL——档距相关性积分因子,对导线或地线应按公式计算,计算跳线时可取1.0;
Lp——杆塔的水平档距,m;
Lx——水平向相关函数的积分长度,可取50m;
06
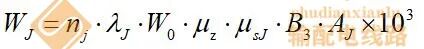
绝缘子串风偏设计风荷载计算
根据《架空输电线路电气设计规程》(报批稿)第 9.4.1 条,得出绝缘子串风荷载(风压)的计算公式如下:


表 I型悬垂绝缘子串和耐张串的 nJ 与 λJ 取值


07
风偏计算程序
相关推荐:
0人已收藏
0人已打赏
免费2人已点赞
分享
电气工程原创版块
返回版块2.2 万条内容 · 598 人订阅
阅读下一篇
详解阻燃电线电缆种类及性能、使用阻燃电线的好处知识点:阻燃电线电缆 1.普通阻燃电线电缆 普通阻燃电线电缆绝缘及护套材料一般采用的是含卤素(或加入含卤素阻燃剂改性)的高分子材料,最常用的是聚氯乙烯(PVC)材料。普通的PVC树脂具有极高的电绝缘性,耐化学性,耐磨性、耐老化性能优良,且价格低廉的特点成为我国目前使用量最大的电缆材料原料,但PVC燃烧时会释放出氯化氢、一氧化碳、二氧化碳、各种芳香烃类、含氯化合物等有毒有害气体。 2. 低烟型阻燃电线电缆
回帖成功
经验值 +10
全部回复(1 )
只看楼主 我来说两句 抢板凳好文!内容不错!
回复 举报