土木在线论坛 \ 建筑结构 \ 钢结构工程 \ 钢结构防火设计方法

钢结构防火设计方法

发布于:2023-02-21 16:29:21 来自:建筑结构/钢结构工程 [复制转发]
本文转载自 土木吧 公众号, 作者:宋谦益, 中国建筑西南设计研究院有限公司
概述
建筑火灾与地震和风一样,应作为建筑结构的灾害性偶然性作用考虑并进行合理的防火设计,结构防火与结构抗震和结构抗风一道并列为建筑结构设计中必要环节欧洲北美日本新西兰澳大利亚等发达地区及国家早已将基于结构承载力验算的建筑结构防火设计纳入设计体系并作强制性要求我国近年来才开始推行基于结构耐火验算的钢结构防火设计方法

建筑防火涉及多个专业,相关规定主要涵盖各类型建筑结构的火灾危险性分类建筑耐火等级结构或非结构构件燃烧性能和耐火极限要求建筑防火分区防火间距疏散建筑构造灭火救援设施和水风暖电设备等基本要求,主要规范为建筑设计防火规范GB 500162014) ( 2018 年版) [1]( 简称防火规范) 及建筑高度大于 250 米民用建筑防火设计加强性技术要求( 试行) 2]等补充文件; 住宅建筑规范GB 503682005) [3]规定了住宅建筑构件的耐火极限和燃烧性能要求; 此外体育建筑村镇建筑车库飞机库地铁灾后安置点等均有相应的防火设计规定[4-9]; 建筑内部装修设计也有专门的规范规定[10与上述规范对应的国外主要规范有美国 NFPA 500011International building code12、 International fire code13英 国 Approved Document B14]等,这些规范主要是针对建筑防火功能和布局的基本规定,并规定了各类型建筑的耐火等级和结构构件耐火极限,但并未涵盖基于计算的结构防火设计方法

对于普通建筑材料或制品,建筑材料及制品燃烧性能分级GB 86242012) [15]规定了材料燃烧性能分级,其试验检测依据和判别准则由建筑材料不燃性试验方法GB /T 54642010) [16、《建筑材料难燃性试验方法GB /T 86252005) [17]和 建筑材料可燃性试验方法 GB /T 8626— 2007) [18]给出; 对于复合夹芯板材复合夹芯板建筑体燃 烧 性 能 试 验 第 部 分: 小 室 法 GB /T 25206. 12014) [19]和复合夹芯板建筑体燃烧性能试验 第 部分: 大室法GB /T 25206. 22010) [20]给出了相应的试验方法和判别准则,还有建筑材料或制品的单体燃烧 试 验 GB /T 20284— 2006) [21]等规范提供了相关试验方法和规定对于承重结构构件或不承重非结构构件等建筑构件的耐火极限,建筑构件耐火试验方法GB /T 9978— 2008) [22]详细规定了火灾试验设备以及墙梁柱板等形式建筑构件的加载或不加载试验方法

钢材是建筑结构常用材料之一,其中钢结构的耐火性能较差,通常需要采用防火保护措施,防火涂料是常用的主要保护措施之一,建筑钢结构防火涂料应满足钢结构防火涂料GB 149072018) [23] ( 简称新版钢结构防火涂料规范) 的要求,相关的试验检测规范还有建筑构件用防火保护材料通用要求GA/T 1102013) [24建筑钢结构防火涂料的施工和验收可以参考建筑钢结构防火技术规范GB 512492017) [25]( 简称国标钢结构防火规范) 、《钢结构工程施工质量验收标准GB 50205— 2020) [26、《建筑工程施工质量验收统一标准GB 503002013) [27、《钢结构防火涂料应用技术规范CECS 24 ∶90) [28]和消防产品现场检查判定规则GA 5882012) [29]等相关条文当采用防火砂浆混凝土等材料作为钢结构构件的防火包裹材料时,可以参考钢结构防火涂料规范的相关检测规定当采用防火板材棉或卷材( 如石膏板硅酸钙板镁质水泥材料岩棉硅酸铝棉等) 作为钢结构构件防火保护措施时,构件的耐火极限可以通过耐火试验确定,板材的防火性能应符合相关的材料标准

与建筑防火相关的验收规范还有建筑内部装修防火施工及验收规范GB 503542005) [30当发生建筑火灾后,对幸存建筑结构进行鉴定评估以火灾后建筑结构鉴定标准CECS 252 ∶2009) [31]相关规定为依据除上述规范文件外尚有大量各类材料和设备专业相关的防火规范和检测规范

上述建筑材料建筑构件防火涂料防火板材等产品防火质量试验以及检测等标准规范以相关国际规范( ISO) 和欧美规范为主要参考对象并体现了国内的相关研究成果,形成了主要的建筑防火规范体系但是由于经济和理论积累等方面的原因,结构的防火设计长期以来没有国家规范明确详细的指导,仅仅作为建筑结构消防的一部分,在防火规范及相关规范中进行了初步的原则性规定   

国标钢结构防火规范实行前在建筑钢结构的设计中,仅需要根据防火规范等相关规范规定建筑耐火等级和构件耐火极限,同时注明拟选用的防火涂料 类 型 ( 按钢结构防火涂料GB 14907— 2002) [32]( 简称旧版钢结构防火涂料规范) 分类为厚型超薄型和薄型) 即可防火保护措施或防火涂料涂层膜厚的设计,一方面可以参考防火规范附录中较为粗略的参考数据,另一方面可直接根据防火材料耐火试验的数据确定涂层膜厚

以防火保护涂料为例,过去国内通行以基于旧版钢结构防火涂料规范要求开展基于标准工字钢梁的新式检测试验并直接采纳试验试件的涂层膜厚为钢结构防火涂料设计膜厚,而不区分工程中实际构件类型大小和荷载水平实际上型式检测的基本目的仅限于判定一定厚度的防火涂料涂层合格与否,并不能针对性地给出实际构件与所需涂层膜厚及其防火保护性能的对应关系另外,市场上的防火涂料生产厂家众多,产品多种多样,不同品牌类型型号的防火涂料的性能差异很大; 此外,在实际工程中,结构构件的形式多样( 梁楼板支撑等) 构件的截面形式多样( 方管圆管工字钢-混组合构件等) 截面大小多样化受力状态和荷载水平多样; 再则构件的火灾工况即受火形式( 单面受火双面受火三面受火四面受火) ,这些因素都导致基于单一标准钢梁型式检测的检验结果实际上缺乏对实际工程中结构构件防火设计科学合理的指导

根据 国 际 标 准 化 组 织 ISO美 国 UL 和 英 国BS476 系列防火规范的检测要求,防火涂料产品应结合不同截面形状不同尺寸的钢试件开展批量试验,同时以涂层膜厚和受火条件为变量,并依据截面形状受火面形状截面系数受火时长和临界温度等参数共同确定防火涂料涂层膜厚,欧洲北美澳大利亚新西兰等发达国家多采纳或认可上述方法在长期的研究发展过程中基于传热学理论和大量试验数据,发展了钢结构构件升温计算方法,以升温计算为基础结合钢材性能随高温衰退规律可以定量计算钢结构构件耐火极限,并确定其防火保护措施,相关的方法反映在欧洲钢结构协会 ECCS 钢结构防火设计标准[33英国规范 BS 5950 part 834欧洲规范EN 1993-1-235]和美国规范 ANSI/AISC 360-1036]等规范中由于材料和产品的多样性,基于计算的钢结构防火设计来确定防火保护措施( 如防火涂料干膜厚度) 仍然高度依赖系统的试验数据,防火材料对结构耐火性能的贡献通常根据标准火灾试验进行标定,相关的规范有欧洲 ENV 13381 系列规范等   

同济大学和中国钢结构协会曾主编了基于耐火极限验算方法的推荐性工程建设标准建筑钢结构防火技术规范CECS 200 ∶ 2006) [37]并于2006 年施行,但该规范在实际工程设计中的应用较为有限,由于该规范未得到广泛推广,建筑结构工程设计人员对钢结构防火设计普遍较为陌生在精简并适度完善的基础上,国标钢结构防火规范于 2017 年发布,并于 2018 年 月 日起开始实施,规范中以强制性条文要求钢结构应按结构耐火承载力极限状态进行耐火验算与防火设计,颠覆原有的经验设计方法,将钢结构防火设计提升到基于计算的高度新版钢结 构 防 火 涂 料 规 范 也 于 2018 年 发 布,并 于2019 年 月 日开始实施,规范中对防火涂料的分类( 原厚型改为非膨胀型原超薄型和薄型改称膨胀型) 耐火性能分级技术要求和试验检验规则等进行了全面更新; 施工验收规范钢结构防火涂料应用技术规范CECS 24 ∶90) [28]等相关规范也在开展修订升级

需要注意的是,自 2017 年底全国陆续启动了消防领域放管服改革,建筑结构防火相关的消防主管主办部门由原消防部门转移至住建系统由于钢结构防火设计相关规范之间衔接匹配和执行时间差消防改革周期较长设计人员对结构防火设计的生疏和商业设计计算软件相关模块开发的滞后等问题,同时住建系统特别是以审图机构为主体的设计审查单位和质检站为主体的基层验收部门对消防特别是结构防火领域欠缺一定的熟悉程度,建筑钢结构按结构耐火承载力极限状态的耐火验算和防火设计在实际工程项目从设计到施工验收等各环节仍然处于实质的过渡阶段,严格按新规范体系执行仍待完善

总体上,我国有较为完善的建筑防火设计规范体系( 图 1) ,特别对各类型建筑结构的火灾危险性分类建筑耐火等级结构或非结构构件燃烧性能和耐火极限建筑防火分区防火间距疏散建筑构造灭火救援设施和水风暖电设备等有详细的规定钢结构自身的耐火性能较低,ISO-834 标准火灾环境下无保 护 的 钢 结 构 构 件 在 15min 内 可 升 温 至500℃左右,此时钢材强度衰退到常温的 70%左右,随后钢结构的强度刚度等力学性能随温度的继续升高快速衰退,因此建筑钢结构要达到设计耐火极限通常离不开防火保护措施

图片

开展结构防火设计,既是消防的重要一环也是结构设计的重要一环,是保证结构在火灾作用下安全的重要手段,是确保结构构件满足规范要求的耐火性能,并安全开展建筑火灾试验相关疏散和救援的底线相对于旧规范的设计方法,基于钢结构耐火极限验算的结构防火设计则是确保钢结构构件防火设计合理可靠的有效手段国标钢结构防火规范的实施实现了对建筑结构防火设计差异化针对性和定量化的要求,新版钢结构防火涂料规范的实施对防火涂料性能做了更加科学和明确的规定

由于结构防火设计长期以来并未作为建筑结构设计中的专项,结构工程师大多对结构防火设计不甚熟知,新规范的实施对钢结构设计提出了新的挑战本文拟对国标钢结构防火规范和钢结构防火涂料规范等钢结构防火设计相关的新规范进行系统介绍,并介绍钢结构防火设计的基本流程和设计要点

结构防火设计基础
传统的钢结构设计包含两大部分验算: 承载能力极限状态和正常使用极限状态上述验算主要涉及的计算参数有: 荷载材料力学性能; 主要计算指标有: 受力( 内力/应力) 和变形结构防火设计最大的特点在于除恒载活载风荷载等荷载外,还要考虑火灾引起高温环境的影响,也称作火灾作用混凝土钢材等结构材料的力学性能往往随温度的升高而持续衰减,结构或构件耐火承载力极限状态的定义为在火灾引起的高温环境下受力的结构构件达到不能承受外部作用或不适于继续承载的变形的状态,而结构或构件从受火初始时刻到达到耐火承载力极限状态的持续时间定义为耐火极限受火时长和结构构件的升温是基于耐火极限验算的钢结构防火设计的重要因素钢结构防火设计需要进行的耐火验算是基于承载能力极限状态的验算验算时偶然荷载组合通常可不考虑地震与火的组合作用,仅计入恒载活载风荷载作用,当构件轴向变形特征明显时,还应计入高温引起的次内力

1. 1 环境温度和传热
钢结构构件的升温是影响其火灾下力学性能的关键因素,钢结构耐火极限验算应首先进行钢结构构件升温计算。影响钢结构构件升温的因素有火灾环境、钢结构构件几何特征( 形状、尺寸) 、受火状态( 受火面数量) 、受火时长及其防火保护措施等。火灾环境主要指影响钢结构构件的火灾事件所造成的环境温度变化规律。在实际条件下火灾引起的环境温度变化主要由升温段和降温段组成,典型的建筑火灾升温曲线见图 2,均可分为起火、蔓延、轰燃、持续燃烧和衰退五个阶段。在建筑钢结构防火设计中,通常不考虑与火灾衰退过程同步的环境温度下降段。火灾的严重程度与空间环境、灭火排烟方式、可燃物( 火灾荷载) 数量及堆放方式等因素有关,在实际情况下具有一定的随机性,目前评判结构或构件的耐火性能均是在规范给定的标准火灾升温环境下考虑的。

图片

根据钢结构防火规范,用于钢结构设计的常见室内火灾升温曲线主要有以纤维类物质为主的火灾升温曲线( ISO-834 标准火灾曲线[38]) ,以烃类物质为主的火灾升温曲线( 又称碳氢升温曲线) ; 此外, 《建筑构件耐火试验可供选择和附加的试验程序》 ( GB /T 267842011) [39]还提供了室外火灾曲线、缓慢升温曲线、电力火灾升温曲线、隧道火灾 RABT- ZTV 升温曲线; 考虑到火灾的多样性和差异性,欧洲规范 EN 1993-1-235]中根据房间大小、通风条件和可燃物数量计算的参数火灾升温曲线可供参考。规范中给出可用于设计的常用火灾升温曲线见图 3。需要注意的是,大空间建筑结构的真实火灾与普通室内火灾有一定差异,虽有不少相关理论研究成果,但当前尚无供工程设计使用的通用火灾模型,通常需要结合实际情况专门研究,但使用 ISO-834 标准火灾模型可以得到保守的分析结果。

图片

在建筑火灾中,基于对流传热和辐射传热,结构构件的温度随环境温度的升高而增长。当采用防火保护措施时,防火涂料或防火包封板材起到阻隔热的作用,避免结构或构件直接受火同时延缓受保护的结构或构件的升温过程,从而保护结构或构件不因材料性能在高温下的快速衰减而丧失承载力或退出工作并引起结构的局部或整体垮塌。钢结构的升温 T受其质量密度ρsρ= 7 850kg /m) 、比热csc= 600J/kg·℃ ) ) 、导热系数 λsλ= 45W/m·℃ ) ) 的影响[25],由于钢材的导热系数较大并且钢结构构件的壁厚较薄,钢结构构件内部与受火面相垂直方向的温差往往较小,通常可以认为其均匀升温; 钢结构构件的形状、受火面数量、防火保护措施和受火时长t是影响其升温的主要因素。钢结构构件的受火表面积和截面体积的比 /是反映构件受火面和几何尺寸对其升温影响的主要参数,而防火保护措施对升温的影响主要由其干膜厚度 di、质量密度 ρi、比 热 c和导热系数 λi( 或热阻 ) 等参数确定。

1. 2 构件耐火极限
以钢结构构件的升温为前提条件,继而可以验算钢结构构件在火灾作用下的承载力性能和耐火极限。钢材的力学性能如抗拉或抗压强度和刚度均随高温而衰退,同时轴向变形特征明显的钢结构构件由于其受热膨胀( 线膨胀系数 αs) 受到不同程度的约束还会产生显著的次内力; 对于钢-混凝土组合结构构件,在火灾环境下其混凝土的力学性能( 高温下混凝土的轴心抗压强度 fcT和弹性模量 EcT ) 也随温度的增加而衰退。开展温度-力学性能耦合计算即可得到钢结构构件承载力随温度或受火时间的下降规律。进行承载力验算时,通常假定常温下的荷载作用效应组合不随构件受火过程发生变化,则定义常温下的荷载作用效应组合( 火灾荷载) 与常温下结构构件的极限承载力比值为火灾荷载比 。在耐火极限验算时,当火灾下结构构件的承载力小于其火灾荷载或火灾荷载与高温下承载力的比 大于火灾荷载比 R 时,判定构件达到其耐火极限。根据钢结构构件的耐火极限及其对应的高温承载力和临界温度可判定构件耐火极限是否达到设计耐火极限,分别称为耐火极限法、承载力法和临界温度法( 见 2. 2. 5 节) 。

对于大跨钢结构如桁架、网架等,由于结构中各钢结构构件的相互支撑约束关系较为复杂,且结构通常作为整体承受荷载作用,在火灾事件中几何、边界条件和荷载作用的非线性影响较为显著,因此基于构件耐火性能验算的钢结构防火设计方法无法反映结构整体在火灾作用下的性能表现,应根据结构重要性、结构类型和荷载特征等选用基于整体结构耐火的防火设计方法。 

钢结构防火设计规范要求和流程
鉴于实际工程中主要选用防火涂料为建筑钢结构防火保护措施,本节的内容主要基于国标钢结构防火规范和新版钢结构防火涂料规范两本规范及相关规范进行整理。

2. 1 强制性条文
钢结构防火规范中的强制性条文有 条,分别为第 3. 1. 13. 1. 23. 1. 33. 2. 1 条,其中第 3. 2. 1明确规定钢结构应按结构耐火承载力极限状态进行耐火验算与防火设计。这意味着以往只规定建筑耐火等级、构件耐火极限和防火涂料选型的简易设计方法不再适用。基于耐火承载力验算的钢结构防火设计由结构工程师承担,验算和设计成果不仅要反映在设计图纸上还需要以计算书的形式提供给消防主管部门或审图单位审核,并作为消防验收的依据之一。

钢结构防火涂料规范中第 5. 1. 5 条、第 5. 2 节和第 章为强制性条文。第 5. 1. 5 条分别规定了膨胀型和非膨胀型防火涂料涂层的最小施涂厚度; 第 5. 2 节规定了各类型防火涂料的性能要求,其中第5. 2. 3 条中明确规定依据该规范基于标准钢梁的耐火试验结果( 防火涂料涂层膜厚和构造措施) 仅适用于同类型且截面系数更小的基材; 第 章为产品检验规则的相关条文。 

2. 2 其他主要规定
2. 2. 1 建筑耐火等级和结构耐火极限
由于钢结构耐火性能差的特性,通常情况下建筑钢结构必须采取防火保护措施。普通工业与民用建筑的耐火等级、构件耐火极限和材料的燃烧性能要求主要根据防火规范、国标钢结构防火规范、《建筑高度大于 250 米民用建筑防火设计加强性技术要求( 试 行) 》[2] 和《住 宅 建 筑 规 范》( GB 50368— 2005) [3]等规范执行。建筑高度大于 250m 的民用建筑的构件耐火极限高于耐火等级为一级的建筑,例如将承重柱耐火极限提升到了 4. 0h、梁耐火极限提升到 3. 0h、楼板和屋顶承重构件耐火极限提升到 2. 5h; 《农村防火规范》( GB 500392010) 建议农村建筑的耐火等级不宜低于一、二级; 并要求建筑耐火等级为四级的建筑,且应尽量采用不燃材料或难燃材料。

由于大空间建筑结构在空间和可燃物布置、火灾特性等有一定特殊性,《体育建筑设计规范》( JGJ 312003) [4]专门针对体育建筑规定了耐火等级和特殊部位材料燃烧性能要求,规范中同时给出了承重钢结构构件不做防火保护的条件,如: 1) 室外观众看台上面的罩棚结构的金属构件; 2) 满足一定条件的比赛或训练部位的屋盖承重钢结构。除此以外,当特殊情况下考虑降低建筑耐火等级和结构耐火极限时,需由消防主管部门批准并经消防性能化专项论证确定。 

2. 2. 2 荷载作用
火灾时结构上可能同时存在的荷载( 作用) 通常为恒载、活载和风荷载。地震作用与火灾事件同步的概率相对较低,钢结构防火规范里不考虑地震作用的叠加,并规定火灾时结构上可能同时出现的荷载( 作用) ,应按下列组合值中的最不利值确定:

图片

式中: S为荷载( 作用) 效应组合的设计值; SGk为按永久荷载标准值计算的荷载效应值; STk为按火灾下结构的温度标准值计算的作用效应; SQk为按楼面或屋面活载标准值计算的荷载效应值; SWk为按风荷载标准值计算的荷载效应值; γ0T为结构重要性系数; γ为永久荷载分项系数; 图片 分别为风荷载频遇值系数楼面或屋面活荷载频遇值系数和准永久值系数上述参数的取值见规范中所述

现行《高层民用建筑钢结构技术规程》( JGJ 312015) [40]( 简称高钢规) 中也给出了钢结构梁柱和楼板抗火设计的相关条文,规定结构抗火验算时采用下式对荷载效应进行组合

图片

式中各参数的含义见规范中所述。

需要说明的是,对于受弯构件、拉弯构件和压弯构件等以弯曲形式为主的构件,可以不考虑热膨胀效应; 虽然规范中提及对于轴心受拉、轴心受压等以轴向变形为主的构件应考虑热膨胀效应对内里的影响( 即荷载作用组合中的 STk或 S) ,但是由于实际工程中不同构件约束条件复杂且热膨胀效应的非线性现象明显,相关规范中均未明确给出基于构件的防火设计中如何简化计算热膨胀效应,如果按完全约束情况下的线膨胀计算,难以得到与实际情况相符的结果。当无法准确合理考虑轴向变形为主构件的热膨胀效应时,作为一种简化方法,高钢规中规定在荷载效应组合中不考虑温度内力时,对于在结构中受约束较大的构件应将计算所得的保护层厚度增加 30%作为构件的保护层设计厚度。 

2. 2. 3 常用防火保护措施及构造
常用的钢结构防火保护措施主要有喷涂防火涂料、包覆防火板、包覆柔性毡状隔热材料或外包混凝土、金属网抹砂浆或砌筑气体。其中,喷涂或抹涂防火涂料是最为常见的防火保护方式之一。除防火砂浆外,传统的防火涂料可以分为非膨胀型( 原厚型) 和膨胀型( 原薄型和超薄型) 两种,另外按使用场所可以分为室内防火涂料和室外防火涂料,按分散介质分为水基性钢结构防火涂料和溶剂性钢结构防火涂料。

根据防火涂料的分类,非膨胀型防火涂料主要是水泥基、石膏基并混和蛭石、膨胀珍珠岩颗粒等形成的无机材料,在火灾引起的高温下不发生发泡反应,主要依靠其自身的厚度形成防火隔热层; 膨胀型防火涂料为树脂基料、膨胀剂、成炭剂、填料、颜料混合成的有机材料,在火灾引起的高温环境中材料发生膨胀反应,由常温下较薄但致密的涂层发泡为较厚的泡沫状防火隔热层。水基性钢结构防火涂料相比溶剂性性钢结构防火涂料,具有低排放和环保的特点,而室外防火涂料除与室内防火涂料共同的理化性能要求外,还具有耐曝热性、耐湿热性、耐冻融循环性、耐酸性、耐碱性、耐盐雾腐蚀性和耐紫外线辐射性等要求。

对于非膨胀型防火涂料,由于其为无机材料,通过增加厚度可以实现对钢结构构件长达 3. 0h 的防火保护,而膨胀型防火涂料由于其高温下的附着力衰退、膨胀发泡形成的疏松泡沫状防火隔热层的稳定性变差及其在高温下的烧蚀现象等原因,一般仅适用于耐火极限不超过 2. 0h 的钢结构构件,钢结构防火涂料规范 中 对 膨 胀 型 防 火涂料的分级代号也仅到2. 0h。对于钢管混凝土组合结构构件,以工程应用为背景的研究成果证明采用膨胀型防火涂料涂层作为保护措施可以可靠地实现 2. 0~3. 0h 耐火极限[41-42]。

对于各种类型的防火涂料,为保证其施工、养护和使用阶段的可靠性、稳定性和耐久性,应适当采用加网构造进行涂层加固。对非膨胀型防火涂料和防火砂浆,可以采用镀锌铁丝网、钢丝网或玻璃纤维布; 对于膨胀型防火涂料,可以采用玻璃纤维布,但应选择合适的网格尺寸以避免其对涂层受火时膨胀发泡的不利影响。 

2. 2. 4 构件升温计算
基于与火灾引起的高温环境之间的对流和辐射换热可计算钢结构构件的升温。钢结构防火规范所提供的结构构件升温设计计算公式均是以 ISO-834标准火灾曲线为基础的( 式 4) ,当工程设计所采用的实际火灾升温曲线不同于标准火灾曲线时,通常以基于火灾释放热量相等的原则转换为标准火灾升温环境下的等效爆火时间 t来计算结构的耐火承载力极限状态并判别其耐火极限。除石油化工外的普通工业与民用建筑结构,其余建筑通常均基于标准火灾升温曲线开展结构构件耐火验算和防火设计,对于大空间建筑结构,当采用能反映实际火灾特性的升温曲线时需要进行专门研究。

图片

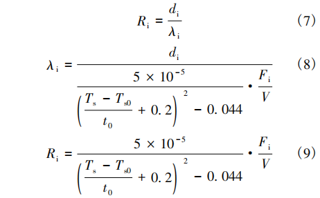
此外,国标钢结构防火规范第 3. 1. 4 条对钢结构防火设计文件给出了详细的要求: 钢结构的防火设计文件应注明建筑的耐火等级构件的设计耐火极限构件的防火保护措施防火材料的性能要求及设计指标其中防火保护措施及防火材料的性能要求设计指标包括: 防火保护层的等效热阻 i防火保护材料的等效热传导系数 λi防火保护层的厚度di防火保护的构造等实际设计和施工过程中,当采用的防火保护材料的等效热传导系数与设计值不一致时,可基于等效热阻相等的原则进行施用厚度的换算非膨胀型钢结构防火涂料涂层的等效热传导系数 λi涂层膜厚 d和等效热阻 满足式( 1) 的关系; 由于膨胀型钢结构防火涂料的等效热传导系数 λ与防火保护层厚度有关,可直接根据等效热阻确定防火保护层施用厚度非膨胀型防火涂料的等效热传导系数 λ需要根据标准耐火试验实测升温曲线和试件的防火保护层厚度计算( 式 2) ,膨胀型防火涂料的等效热阻 需要根据标准耐火试验实测升温曲线计算( 式 3) ,式中参数见规范条文

图片
图片
图片
图片
图片
图片
图片
图片
图片
图片
知识点:钢结构防火设计方法

门式刚架钢结构防火设计方法

全部回复(0 )

只看楼主 我来说两句抢沙发
这个家伙什么也没有留下。。。

钢结构工程

返回版块

46.53 万条内容 · 1214 人订阅

猜你喜欢

阅读下一篇

钢结构性能设计的本质:控制地震施加给建筑物的能量

本文通过对GB50017-2017《钢结构设计标准》第17章-钢结构抗震性能化设计的概括总结,以期梳理出钢结构抗震性能化设计的本质,促进对性能化设计的理解及应用。 一、原理 “等能量原理”,在地震能量输入相同的条件下,结构延性越好,弹性承载力要求越低,反之,结构延性越差,则弹性承载力要求越高,即“高延性-低承载力、低延性-高承载力”。 二、基本思路

回帖成功

经验值 +10