土木在线论坛 \ 给排水工程 \ 建筑给排水 \ 水泵的最大吸水高度

水泵的最大吸水高度

发布于:2023-02-16 10:55:16 来自:给排水工程/建筑给排水 [复制转发]
离心泵是输水中最常用的泵之一,泵房内的地坪标高取决于水泵的安装高度,正确地计算水泵的最大允许安装高度,使泵站既能安全供水,又能节省土建造价,具有很重要的意义。

为了避免汽蚀现象的发生,离心泵的安装高度需要进行非常仔细的校核计算。水泵进水侧装置形式示意图如下:


图片

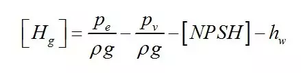
泵的允许几何安装高度与多方面条件有关,公式如下:

图片

式中:

[Hg]—泵的允许几何安装高度,m;(计算结果供设计时利用,实际安装高度需低于允许安装高度)

pe—吸水水面压力,Pa;(为吸水水面的大气压,海拔越高大气压越低) pv—饱和蒸汽压力,Pa;(与水温有关,水温越高,饱和蒸汽压力越高) ρ—流体的密度,kg/m3; g—重力加速度,9.81m/s2; [NPSHr]—水泵的允许汽蚀余量,m;(与水泵性能有关,由水泵厂家提供) hw—吸入管路中的水头损失,m。(与吸水管路设计有关,由设计人员确定)

由上式可知:

海拔越高、水温越高、允许汽蚀余量越大、进水管路水头损失越大,允许几何安装高度越小。


不同海拔时的大气及对应的水头高度见下表:
图片

不同温度时水的饱和蒸汽压对应水头高度见下表:
图片


图片

例:某品牌VISO125X100-315-55/2水泵汽蚀余量为[NPSHr]=3.29m,欲在海拔500m高度的地方工作,该地区夏季最高水温为40℃,若吸水管的水头损失为1m,则该泵在当地的运行几何安装高度[Hg]计算如下:

设:吸水水面压力为当地大气压,由表查得海拔500m处大气压头9.7m; 水温40℃时,水的饱和蒸汽压头为0.752m;

计算得: [Hg]=9.7-0.752-3.29-1=4.658m

内容源于网络,旨在分享,如有侵权,请联系删除


相关资料推荐:

某地区吸水井及送水泵房CAD参考图

https://ziliao.co188.com/d62775128.html


知识点:水泵的最大吸水高度


全部回复(0 )

只看楼主 我来说两句抢沙发
这个家伙什么也没有留下。。。

建筑给排水

返回版块

47.29 万条内容 · 1372 人订阅

猜你喜欢

阅读下一篇

水泵扬程降低 , 有哪些原因?

(1)叶轮流道堵塞 如果叶轮部分流道堵塞,将影响叶轮的做功,导致出口压力下降。因此需要拆泵检查清除异物。为防止再次出现该问题,必要时可在泵进口前加设过滤装置。 (2)发生内泄漏 当泵内的转动部分与静止部分间隙超过了设计范围,将导致内部产生泄漏,体现为泵的排出压力下降,如叶轮口环间隙、多级泵的级间间隙。此时应进行相应的拆检,对造成间隙过大的零部件进行维修或更换。

回帖成功

经验值 +10