土木在线论坛 \ 给排水工程 \ 建筑消防给水 \ 固定消防炮灭火设计

固定消防炮灭火设计

发布于:2023-02-13 09:55:13 来自:给排水工程/建筑消防给水 [复制转发]
图片

为了合理地设计固定消防炮灭火系统,减少火灾损失,保护人身和财产安全,制订本规范。本规范适用于新建、改建、扩建工程中设置的固定消防炮灭火系统的设计。

1 一般规定

1.1 供水管道应与生产、生活用水管道分开。
1.2 供水管道不宜与泡沫混合液的供给管道合用。寒冷地区的湿式供水管道应设防冻保护措施,干式管道应设排除管道内积水和空气的设施。管道设计应满足设计流量、压力和启动至喷射的时间等要求。
1.3 消防水源的容量不应小于规定灭火时间和冷却时间内需要同时使用水炮、泡沫炮、保护水幕喷头等用水量及供水管网内充水量之和。该容量可减去规定灭火时间和冷却时间内可补充的水量。
1.4 消防水泵提供的供水压力应能满足系统中水炮、泡沫炮喷射压力的要求。
1.5 灭火剂及加压气体的补给时间均不宜大于48h。
1.6 水炮系统和泡沫炮系统从启动至炮口喷射水或泡沫的时间不应大于5min,干粉炮系统从启动至炮口喷射干粉的时间不应大于2min。

2 消防炮布置

2.1 室内消防炮的布置数量不应少于两门,其布置高度应保证消防炮的射流不受上部建筑构件的影响,并应能使两门水炮的水射流同时到达被保护区域的任一部位。    室内系统应采用湿式给水系统,消防炮位处应设置消防水泵起动按钮。    设置消防炮平台时,其结构强度应能满足消防炮喷射反力的要求,结构设计应能满足消防炮正常使用的要求。

2.2 室外消防炮的布置应能使消防炮的射流完全覆盖被保护场所及被保护物,且应满足灭火强度及冷却强度的要求。    1 消防炮应设置在被保护场所常年主导风向的上风方向;    2 当灭火对象高度较高、面积较大时,或在消防炮的射流受到较高大障碍物的阻挡时,应设置消防炮塔。
2.3 消防炮宜布置在甲、乙、丙类液体储罐区防护堤外,当不能满足4.2.2条的规定时,可布置在防护堤内,此时应对远控消防炮和消防炮塔采取有效的防爆和隔热保护措施。
2.4 液化石油气、天然气装卸码头和甲、乙、丙类液体、油品装卸码头的消防炮的布置数量不应少于两门,炮沫炮的射程应满足覆盖设计船型的油气舱范围,水炮的射程应满足覆盖设计船型的全船范围。

2.5 消防炮塔的布置应符合下列规定:    1 甲、乙、丙类液体储罐区、液化烃储罐区和石化生产装置的消防炮塔高度的确定应使消防炮对被保护对象实施有效保护;    2 甲、乙、丙类液体、油品、液化石油气、天然气装卸码头的消防炮塔高度应使消防炮的俯仰回转中心高度不低于在设计潮位和船舶空载时的甲板高度;消防炮水平回转中心与码头前沿的距离不应小于2.5m;    3 消防炮塔的周围应留有供设备维修用的通道。

图片

3 水炮系统

3.1 水炮的设计射程和设计流量应符合下列规定:    1 水炮的设计射程应符合消防炮布置的要求。室内布置的水炮的射程应按产品射程的指标值计算,室外布置的水炮的射程应按产品射程指标值的90%计算。    2 当水炮的设计工作压力与产品额定工作压力不同时,应在产品规定的工作压力范围内选用。    3 水炮的设计射程可按下式确定:


图片


式中:Ds ——水炮的设计射程(m)

      Dso——水炮在额定工作压力时的射程(m)
      Pe ——水炮的设计工作压力(MPa)
      P0 ——水炮的额定工作压力(MPa)
    4 当上述计算的水炮设计射程不能满足消防炮布置的要求时,应调整原设定的水炮数量、布置位置或规格型号,直至达到要求。
    5 水炮的设计流量可按下式确定:

图片

式中:Qs ——水炮的设计流量(L/s)

      qs0——水炮的额定流量(L/s)

3.2 室外配置的水炮其额定流量不宜小于30L/s。
3.3 水炮系统灭火及冷却用水的连续供给时间应符合下列规定:    1 扑救室内火灾的灭火用水连续供给时间不应小于1.0h;    2 扑救室外火灾的灭火用水连续供给时间不应小于2.0h;    3 甲、乙、丙类液体储罐、液化烃储罐、石化生产装置和甲、乙、丙类液体、油品码头等冷却用水连续供给时间应符合国家有关标准的规定。

3.4 水炮系统灭火及冷却用水的供给强度应符合下列规定:    1 扑救室内一般固体物质火灾的供给强度应符合国家有关标准的规定,其用水量应按两门水炮的水射流同时到达防护区任一部位的要求计算。民用建筑的用水量不应小于40L/s, 工业建筑的用水量不应小于60L/s;    2 扑救室外火灾的灭火及冷却用水的供给强度应符合国家有关标准的规定;    3 甲、乙、丙类液体储罐、液化烃储罐和甲、乙、丙类液体、油品码头等冷却用水的供给强度应符合国家有关标准的规定;    4 石化生产装置的冷却用水的供给强度不应小于16L/min.m?。
3.5 水炮系统灭火面积及冷却面积的计算应符合下列规定:
    1 甲、乙、丙类液体储罐、液化烃储罐冷却面积的计算应符合国家有关标准的规定;
    2 石化生产装置的冷却面积应符合《石油化工企业设计防火规范》的规定;
    3 甲、乙、丙类液体、油品码头的冷却面积应按下式计算:

图片

式中:F ——冷却面积(m?)

       B ——最大油舱的宽度(m)
       L ——最大油舱的纵向长度(m)
      fmax——最大油舱的面积(m?)
    4 其他场所的灭火面积及冷却面积应按照国家有关标准或根据实际情况确定。
3.6 水炮系统的计算总流量应为系统中需要同时开启的水炮设计流量的总和,且不得小于灭火用水计算总流量及冷却用水计算总流量之和。

4 泡沫炮系统

4.1 泡沫炮的设计射程和设计流量应符合下列规定:    1 泡沫炮的设计射程应符合消防炮布置的要求。室内布置的泡沫炮的射程应按产品射程的指标值计算,室外布置的泡沫炮的射程应按产品射程指标值的90%计算。    2 当泡沫炮的设计工作压力与产品额定工作压力不同时,应在产品规定的工作压力范围内选用。    3 泡沫炮的设计射程可按下式确定:

图片


式中:Dp ——泡沫炮的设计射程(m)

      Dp0——泡沫炮在额定工作压力时的射程(m)
      Pe ——泡沫炮的设计工作压力(MPa)
      P0 ——泡沫炮的额定工作压力(MPa)
    4 当上述计算的泡沫炮设计射程不能满足消防炮布置的要求时,应调整原设定的泡沫炮数量、布置位置或规格型号,直至达到要求。
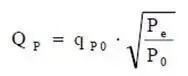
    5 泡沫炮的设计流量可按下式确定:


图片


式中:Qp ——泡沫炮的设计流量(L/s)

      qp0——泡沫炮的额定流量(L/s)
4.2 室外配置的泡沫炮其额定流量不宜小于48L/s。
4.3 扑救甲、乙、丙类液体储罐区火灾及甲、乙、丙类液体、油品码头火灾等的泡沫混合液的连续供给时间和供给强度应符合国家有关标准的规定。4.4.4 泡沫炮灭火面积的计算应符合下列规定:    1 甲、乙、丙类液体储罐区的灭火面积应按实际保护储罐中最大一个储罐横截面积计算。泡沫混合液的供给量应按两门泡沫炮计算。    2 甲、乙、丙类液体、油品装卸码头的灭火面积应按油轮设计船型中最大油舱的面积计算。    3 飞机库的灭火面积应符合《飞机库设计防火规范》的规定。    4 其他场所的灭火面积应按照国家有关标准或根据实际情况确定。
4.5 供给泡沫炮的水质应符合设计所用泡沫液的要求。
4.6 泡沫混合液设计总流量应为系统中需要同时开启的泡沫炮设计流量的总和,且不应小于灭火面积与供给强度的乘积。混合比的范围应符合国家标准《低倍数泡沫灭火系统设计规范》的规定,计算中应取规定范围的平均值。泡沫液设计总量应为其计算总量的1.2倍。

5 干粉炮系统

5.1 室内布置的干粉炮的射程应按产品射程指标值计算,室外布置的干粉炮的射程应按产品射程指标值的90%计算。
5.2 干粉炮系统的单位面积干粉灭火剂供给量可按表1选取。

表1干粉炮系统的单位面积干粉灭火剂供给量

图片

5.3 可燃气体装卸站台等场所的灭火面积可按保护场所中最大一个装置主体结构表面积的50%计算。

5.4 干粉炮系统的干粉连续供给时间不应小于60s。
5.5 干粉设计用量应符合下列规定:
    1 干粉计算总量应满足规定时间内需要同时开启干粉炮所需干粉总量的要求,并不应小于单位面积干粉灭火剂供给量与灭火面积的乘积;干粉设计总量应为计算总量的1.2倍。
    2 在停靠大型液化石油气、天然气船的液化气码头装卸臂附近宜设置喷射量不小于2000Kg干粉的干粉炮系统。
5.6 干粉炮系统应采用标准工业级氮气作为驱动气体,其含水量不应大于0.005%的体积比,其干粉罐的驱动气体工作压力可根据射程要求分别选用1.4MPa、1.6MPa、1.8MPa。
5.7 干粉供给管道的总长度不宜大于20m。炮塔上安装的干粉炮与低位安装的干粉罐的高度差不应大于10m。
5.8 干粉炮系统的气粉比应符合下列规定:
    1 当干粉输送管道总长度大于10m、小于20m时,每千克干粉需配给50L氮气。
    2 当干粉输送管道总长度不大于10m时,每千克干粉需配给40L氮气。

内容源于网络,旨在分享,如有侵权,请联系删除


相关资料推荐:

固定消防炮灭火系统设计

https://ziliao.co188.com/d49715547.html



知识点:固定消防炮灭火设计


全部回复(0 )

只看楼主 我来说两句抢沙发
这个家伙什么也没有留下。。。

建筑消防给水

返回版块

28.41 万条内容 · 744 人订阅

猜你喜欢

阅读下一篇

消防给水及消火栓系统管道设计考点总结~

一、消防给水系统中采用的设备、器材、管材管件、阀门和配件等系统组件的产品工作压力等级,应 大于 消防给水系统的系统工作压力,且应保证系统在可能最大运行压力时安全可靠。 条文说明:本条要求消防给水系统中管件、配件等的产品工作压力不应小于管网的系统工作压力,以防火灾时这些部位出现渗漏或损坏,影响消防供水的可靠性。 二、低压消防给水系统的系统工作压力应根据市政给水管网和其他给水管网等的系统工作压力确定,且

回帖成功

经验值 +10