土木在线论坛 \ 给排水工程 \ 建筑给排水 \ 水泵安装高度

水泵安装高度

发布于:2023-02-08 11:18:08 来自:给排水工程/建筑给排水 [复制转发]
离心泵是输水中最常用的泵之一,泵房内的地坪标高取决于水泵的安装高度,正确地计算水泵的最大允许安装高度,使泵站既能安全供水,又能节省土建造价,具有很重要的意义。



为了避免汽蚀现象的发生,离心泵的安装高度需要进行非常仔细的校核计算。水泵进水侧装置形式示意图如下:
图片
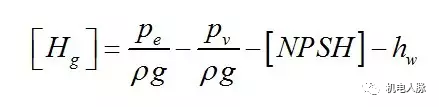
泵的允许几何安装高度与多方面条件有关,公式如下:
图片
式中:
[Hg]—泵的允许几何安装高度,m;(计算结果供设计时利用,实际安装高度需低于允许安装高度)
pe—吸水水面压力,Pa;(为吸水水面的大气压,海拔越高大气压越低) pv—饱和蒸汽压力,Pa;(与水温有关,水温越高,饱和蒸汽压力越高) ρ—流体的密度,kg/m3; g—重力加速度,9.81m/s2; [NPSHr]—水泵的允许汽蚀余量,m;(与水泵性能有关,由水泵厂家提供) hw—吸入管路中的水头损失,m。(与吸水管路设计有关,由设计人员确定)
由上式可知: 海拔越高、水温越高、允许汽蚀余量越大、进水管路水头损失越大,允许几何安装高度越小。 不同海拔时的大气及对应的水头高度见下表:
图片
不同温度时水的饱和蒸汽压对应水头高度见下表:
图片
例:某品牌VISO125X100-315-55/2水泵汽蚀余量为[NPSHr]=3.29m,欲在海拔500m高度的地方工作,该地区夏季最高水温为40℃,若吸水管的水头损失为1m,则该泵在当地的运行几何安装高度[Hg]计算如下: 设:吸水水面压力为当地大气压,由表查得海拔500m处大气压头9.7m;水温40℃时,水的饱和蒸汽压头为0.752m; 计算得: [Hg]=9.7-0.752-3.29-1=4.658m


内容源于网络,旨在分享,如有侵权,请联系删除


相关资料推荐:

负压状态下水泵安装高度(汽蚀余量核算)计算实例

https://ziliao.co188.com/p63259845.html


知识点:水泵安装高度


全部回复(0 )

只看楼主 我来说两句抢沙发
这个家伙什么也没有留下。。。

建筑给排水

返回版块

47.29 万条内容 · 1372 人订阅

猜你喜欢

阅读下一篇

法兰密封与垫片密封

法兰是管道、管件、阀门、仪表和设备等进行连接的最重要、最常见的形式之一。这种连接虽具有拆卸方便且不用动火等优点,但因由法兰、螺栓、垫片三者协同实现密封,其中任一元件出现问题就会造成泄漏,不仅造成浪费,而且还会污染环境,甚至造成人员伤亡及财产损失。因此小编今天为大家详细讲解法兰密封的相关知识。

回帖成功

经验值 +10