土木在线论坛 \ 建筑结构 \ 地基基础 \ 刚性抗滑桩算例(m法)

刚性抗滑桩算例(m法)

发布于:2023-01-30 10:52:30 来自:建筑结构/地基基础 [复制转发]
如图所示,桩底自由,假设滑面处的弹性抗力系数为Al=A2=15000kN/m3,滑面以下为同一比例系数m=5000kN/m4,初步设计取抗滑桩桩距为4m,滑面到桩底的距离为L2=10m,桩截面为方形2m×2m,采用C30混凝土,单桩受到推力H=2000kN,推力合力至滑面的距离为L0=1.5m,求桩身最大弯矩值及其位置至滑面的距离。

 图片
   
由已知条件得
图片
该桩属刚性桩。
根据 刚性抗滑桩力学分析(点击可查看)
可以得到桩转动轴心距滑面的距离:

图片

桩的转动角度:

图片

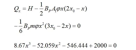
桩身弯矩最大值位置剪力为0:
图片
图片

使用微信小程序“土木通”解这个三次方程,得

X=3.204m

把X=3.204m、X0=7.003m代入弯矩计算式

图片

桩身最大弯矩为6260.955kN?m,位置在滑面以下3.204m。


来源:陈国周

知识点:刚性抗滑桩算例(m法)

干货丨抗滑桩计算excel(刚性桩—M法)

全部回复(0 )

只看楼主 我来说两句抢沙发
这个家伙什么也没有留下。。。

地基基础

返回版块

12.11 万条内容 · 717 人订阅

猜你喜欢

阅读下一篇

边坡地表排水措施

水是导致滑坡的重要因素,许多滑坡都是由于未能及时对水拦截、引离造成的。因此,在边坡治理工作中,应该加强对边坡区域水的排除,以消除水的危害。  边坡工程排水可分为地表排水和地下排水。在进行地表排水工程设计时,应详细进行现场踏勘,充分收集设计资料,因地制宜,合理布置排水工程,选择合适的水沟断面及结构型式,达到既有效排除地表水,又降低工程造价。      进行地表排水工程设计的总原则是:滑坡体外的地表水,应予以截流引离;滑坡体上的地表水要注意防渗,并尽快汇集引离。

回帖成功

经验值 +10