土木在线论坛 \ 建筑结构 \ 3D3S \ 3d3s-基本功能

3d3s-基本功能

发布于:2023-01-20 14:44:20 来自:建筑结构/3D3S [复制转发]

1.2.1 杆件优选、分组

分组的作用与之前版本中的杆件分组功能相同,即构件优选后,同组单元的截面规格相同;
不分组表示对于一系列杆件截面类型相同,但截面规格可以不同.
1)不指定验算类型表示在模型截面库范围中进行优选。
2)指定验算类型表示在列表框中选择的截面优选时所允许使用的截面规格,选定后,截面优选将仅在这些选定规格中进行
3)如果将验算类型设置为固定,则表示在结构杆件进行截面优选的过程中,该截面规格不变。
截面优选是以验算结构中的七项(强度应力比、绕2轴应力比、绕3轴应力比、沿2轴抗剪应力比、沿3轴抗剪应力比、绕2轴长细比、绕3轴长细比)作为指标,并且建立在截面库从小到大排列的前提假设下,当5个应力全部小于单元验算中的下限,那么该构件在截面库中的位置向上跳一格。(规格不变就是不优化,其余的优化)
截面优化脱离了截面表的依赖,以截面尺寸为参数,在满足验算要求的情况下得到最小用钢量的截面尺寸。当你初始选择的截面为定型的型钢截面(如角钢、槽钢、钢管、工字钢等)时,截面优化是不行的。此时只能采用截面优选,因为软件不能新创造一种标准型钢规格。只有当你的初始截面类型为钢板组焊的宽翼缘工字钢以及工字形楔形单元等的时候,使用截面优化才是有意义的。
截面优化:截面优化脱离了对截面表的依赖,以截面尺寸为参数,在满足验算要求的况下得到最小用钢量的截面尺寸。对于焊接矩形截面,控制参数同样为四个:截面的高、宽、腹板壁厚、翼缘壁厚。楔形单元截面,控制参数为五个:大头截面的高、小头截面高、截面宽、腹板壁厚、翼缘壁厚。T型单元截面,控制参数为四个:截面的高、翼缘宽、腹板壁厚、翼缘厚。圆管截面,控制参数为两个:截面直径、壁厚。原则上,最终的截面尺寸的校核结果很接近于上限,并且此时的截面面积最小,但由于组成截面板件宽厚比限值的存在,使得构件最终的校核结果适当偏离上限值,用户可以在设计参数选择中把板件宽厚比限值放宽,运算结果就很接近校核上限。截面优化和截面优选一样,都是每根构件根据各自的内力独立进行,所以只要内力不一样,每根单元的优化后截面尺寸都是不一样的;和截面优选一样,软件同样可以根据定义截面的成组验算中的组号来把一批单元合并一个截面,比如选中同一楼层的所有柱,定义一个组号后优化,那么这一楼层的所有柱优化后截面相同。合并的原则是在一批相同组号的单元中以截面积最大的那个截面尺寸为准,这样会带来一个问题:比如两根构件优化后的截面分别是450x150x6x8和300x300x6x8,如果这两根单元是成同一组的,那么由于后一种截面的面积大,优化合并后这两根构件截面都是300x300x6x8。由于450X150的截面的抗弯性能好过300X300,合并后原先为 450 截面的单元截面面积虽然增加了,但有可能不满足要求了。解决上述问题,必须在选择成组验算时把受力特性相同的单元归为一类,然后内力分析后多优化几次,或在优化得到截面的基础上人工修改截面使最终截面都满足要求。软件内置了宽翼缘工字钢、焊接工字型截面、工字型楔形截面、焊接矩形截、焊接箱型、焊接矩形,圆钢管、T 型截面八类截面可以实施优化,如果用户同时选定了其它类型的截面实行优化,软件会自动把其它类型进行优选,同时提醒用户:一共 XX 个单元的截面类型不在可优化截面范围内,只能被优选

1.2.2 杆件导荷载原理

杆件导荷载原理
导荷载是针对封闭区域的,封闭区域的含义如下:软件认为一个区域的组成单元总数(区别于多边行的边数,图2中边数为4,而组成单元数为6)小于等于某个特定值时,该区域是封闭的,即面荷载能够被分配到区域的单元或节点上;若组成单元数多于该特定值,区域则被认为是孔洞,组
成单元或节点不承受荷载。
双向导到杆件
双向导到杆件一般用于框架结构楼面荷载导荷载,按双向板导到梁上。双向导荷载需要注意的地方:双向受力是指由所选的若干线段组成了封闭的三角形或多边形,所包围的封闭范围内的面积力将由组成了封闭图形的所有线段分担。
图片 图片
(1)矩形和四边形
在矩形 ABCD 范围内的均布荷载,按弹性板原则分布。即 OAB、O1CD 范围内的荷载由 AB、CD 杆分别承担,且呈三角形线荷载分布;梯形 OO1AD 和梯形 OO1BC 范围内的荷载由 AD、BC 杆分别承担,并呈矩形分布。见图 3。在不规则四边形 ABCD 范围内的均布荷载,取其中点O, AOB 面积上的荷载由 AB 杆承担,AOD 面积上的荷载由AD 杆承担,COD 面积上的荷载由 CD 杆承担,BOC 面积上的荷载由 BC 杆承担。见图4。
(2)三角形
对三角形 ABC 范围内的均布荷载,取其中点 O,则 AOB面积上的荷载由 AB 杆承担,AOC 面积上的荷载由 AC 杆承担,COB 面积上的荷载由 CB 杆承担。见图 5。
(3)多边形
如用户在选取受力单元组时进行了抽柱考虑,或其他原因产生的封闭多边形的组成单元数多于4(由六边形围成的封闭区域),见图2,每个单元按照一定比值,即单元长度和封闭区域周长之比,把面荷载分配到每个单元上形成单元荷载。
单向导到杆件
单向受力是指第一次所选的若干线段组成了封闭的三角形或多边形,所包围的封闭范围内的面积力由第二次所选的部分线段承担,第二次所选线段在是第一次所选线段的基础上再选一部分。第二次所选线段即指定的受力杆件。
图片 图片
(1)在四边形 ABCD 范围内的均布荷载,AB 和 CD为单向受力杆。取 AD 和 BC 两边的中点 1,2,四边形 AB21面积上的荷载由 AB 杆承担,四边形 12CD 面积上的荷载由CD 杆承担。见图 6。
(2)在四边形 ABCD 范围内的均布荷载中,如果只有AB 杆为受力单元,整个四边形 ABCD 上的荷载全由 AB 杆承受。见图 7。
(3)在四边形 ABCD 范围内的均布荷载中,如果是两对边 AB 和 AD 是受力杆,则取 ABC 和 ADC 面积上的荷载分别由 AB 和 AD 杆承受。见图 8。
(4)在四边形 ABCD 范围内的均布荷载中,如果是三边 AB,BC 和 CD 是受力杆,则取边 AD 的中点 1。AB1 面积上的荷载由 AB 杆承担,C1D面积上的荷载由 CD 杆承担,B1C 面积上的荷载由 BC 杆承担。见图 9。
图片
(5)对三角形 ABC 范围内的均布荷载,如只有 AB 是受力杆,则 AOB 面积上的荷载全由 AB 杆承担。见图 10。
(6)对三角形 ABC 范围内的均布荷载,如有二边 AB,BC 为受力杆,则取边 AC 的中点 1,AB1 面积上的荷载由AB 杆承担,BC1 面积上的荷载由 BC 杆承担。见图 11。
(7)对多边形来说,仍旧根据边长的比例来分配荷载。单向导到杆件时,选择了受荷范围以后,还要选择受力单元,来指定施加荷载杆件。
双向导到节点
每个节点根据各自的角度占整个多边形角度总和的比例来分配节点力。见图 12。多边形 ABCDE 的受荷面积是15m2,输入的面荷载值为 0.5kN/m2,那么总的集中荷载值为 0.5×15 即 7.5kN;对于 A 点,它所分配到的节点力大小为 7.5×30/540 即 0.417kN。
单向导到节点
软件把封闭区域的总面积乘以面荷载值后按所选择的节点数平均分配节点力。如果选中 A,B,D 三点作为单向导荷载的分布点,如图 12,那么软件把总的荷载 7.5kN 除以 3 得到 2.5kN 分配到这3个节点上去,其余点的节点荷载为0。
图片
施加杆件导荷载需要注意的要点
图片
(1)荷载均布值一律为正数,恒、活载自动导的荷载作用方向一律向下,即指向-Z 方向。对恒荷载,荷载总值为均布值乘以层面的实际面积,对活荷载,荷载总值为均布值乘以层面在 XY 平面上的投影面积。
(2)生成封闭面的要注意的参数:多边形最大边数:导荷载时软件会自动找封闭区域,该参数用于控制封闭区域多边形的最大边数,这里的边数是指形成封闭区域的杆件数。当形成封闭区域的杆件数小于等于“多边形最大边数”时对该区域进行导荷载,否则不对该区域导荷载。
(3)空间多边
形形状控制参数:理论上,导荷载只能在平面多边形上进行,图14当多边形为空间多边形时,软件通过该参数来控制是否把空间多边形近似为平面多边形来导荷。其具体意义如图14。ABCD为空间多边形(四点不共面),其中ABD为AB、AD所确定的平面,C’为点C在ABD平面上的投影,若CC’长度若小于或等于“空间多边形形状控制参数”,则对ABCD导荷载,否则不对 ABCD 导荷载,空间多边形形状控制参数影响导荷载速度,其值越大,导荷载速度越慢。
(4)在支座间添加虚杆:支座处往往杆件不能围成封闭区域,需要添加虚杆进行导荷载。但是像网壳结构等支座位置比较复杂的模型,这样生成的虚杆很乱,建议不要勾选此项,需要用户手工添加。
《3D3S的杆件导荷载原理介绍及要点》

1.2.3 相贯节点支管间隙

图片
用于定义K形,KK形相贯节点的支管间隙,默认值为0表示由软件按支管轴线位置自动计算支管间隙,若输入一个大于0的值,则软件会根据输入的间隙值和按支管轴线位置自动计算支管间隙值进行比较,取两者的较大值作为间隙值,同时如前者大于后者,则支管不在轴线位置上,需要对支管进行一定的偏心移动,这一操作在下面的步骤中软件会自动处理。
注:定义间隙后需要进行“腹杆重新定位”后才能完成偏移,偏移在前处理模型中不体现,转换后处理模型后偏移体现。

1.2.4 软件中判断节点形式的原则

原则如下:如节点处相连杆件在一个平面内,则认为该节点为平面节点,否则为空间节点。
如果是平面节点,假如只有一根支管,则认为是T型节点;假如有两根在一直线上的支管,则认为是X型节点;假如有两根不在一直线上的支管,则认为是K型节点;假如有三根支管,则认为是平面 KT 型节点。
如果是空间节点,假如只有两根支管,则认为是TT型节点;假如有三根支管,则认为是空间KT型节点;如有四根支管,则认为是KK型节点;如有五根支管,则认为是空间KKT型节点。

1.2.5 网架模型包络

网架设计中,由于支座的弹簧刚度事先不易确定,可能在某一范围内变化,为了安全起见,用户希望支座弹簧刚度变化后的模型还是安全的。因此,3D3S增加了模型包络的功能(图 4~6),可以将不同刚度的模型包络成一个模型,再进行节点设计和施工图设计。模型包络流程:
(1)建立一种支座刚度的模型,比如定义刚度为0.2kN/mm;然后进行内力分析,优选出符合要求的截面,保存为1.dwg模型。
(2)建立另一种支座刚度的模型,比如定义刚度为20kN/mm,然后进行内力分析,优选出符合要求的截面,保存为2.dwg 模型;因弹簧刚度不同,截面优选后的 2.dwg 模型和 1.dwg 模型截面分布不同,当然杆件内力也不同。
(3)将2.dwg 模型另存为3.dwg 模型。
(4)执行“模型包络”命令,弹出的对话框选“是”,“被包络模型为”选择刚才建的1.dwg模型,打开后提示“包络完毕!”。这样,3.dwg的计算结果是1.dwg和2.dwg的包络,3.dwg的截面是1.dwg和2.dwg对应的较大截面。
(5)因新模型3.dwg的截面和内力是1.dwg和2.dwg的包络,为使验算结果精确,再次执行“单元验算”命令,选择“校核”进行验算。这样,查询到的验算结果考虑了弹簧刚度为0.2kN/mm和20kN/mm两种支座情况。
注意:一定不要选择 “截面优选”,否则包络将失效。
图片
《3D3S网架设计模块增加功能》

1.2.6 高强螺栓计算

(1)常用高强螺栓(M12-M64)承载力按《空间网格结构设计规程》(JGJ7-2010)表5.3.4条取值;用户自定义螺栓(例如 M80)按《网架结构设计与施工规程》(JGJ7-91)第4.4.4条计算,即按“有效面积×材料设计强度”得到。
图片 图片
(2)套筒承压承载力按“有效面积×材料设计强度”计算,其中有效面积按考虑螺钉折减后的中间截面净截面面积An1和端部净截面面积An2取小值,An2计算时不考虑套筒六个角的影响,即An2=PI×(S2-d2)/4,见下图。根据网格规程,软件默认M33及以下螺栓对应的套筒用 Q235 钢, M36 及以上螺栓对应的套筒用Q345钢。V11.0及之前的版本均默认用Q235钢
图片
《技术手册》
受压杆件螺栓降级
根据《空间网格结构设计规程》(JGJ7-2010)第 5.3.5 条的条文说明:“根据螺栓球节点连接受力特点可知,杆件的轴向压力主要是通过套筒端面承压来传递的,螺栓主要起连接作用。因此对于受压杆件的连接螺栓可不作验算。但从构造上考虑,连接螺栓直径也不宜太小,设计时可按该杆件内力绝对值求得螺栓直径后适当减小,建议减小幅度不大于表5.3.4 中螺栓直径系列的 3 个极差。减少螺栓直径后的套筒应根据传递的压力值验算其承压面积,以满足实际受力要求,此时套筒可能有别于一般套筒,视通安装应予以注意。”
软件对于此款条文的处理为:根据用户在设计时输入的降级级数(0-3),
1.将杆件压力取绝对值作为拉力进行螺栓设计,得到降级前螺栓设计结果;
2.在此基础上将螺栓型号降低相应等级并验算降级后相应套筒的端面承压强度是否满足;
3.若套筒端面承压满足,则输出的螺栓设计结果为降级后的结果;若套筒端面承压不满足,则设计结果为降级前的螺栓结果。
注:若出现用户要求降 3 级,而输出的设计结果是 M85(螺栓库中最大型号)。这种情况下,软件会通过特殊的降级方式处理:根据要求的降级级数(3级)将螺栓库中最大的3个螺栓的承载力设计值乘以1.25放大,构造出3个螺栓来模拟降级过程。若满足降级条件,则设计结果输出为 M85(最大螺栓);若降级失败,则输出螺栓设计失败。

1.2.7螺栓球设计

切削量的取值是用于验算螺栓球切削面与套筒端面的接触面面积是否满足受力条件。
具体来说有两个选项:
1.用螺栓球库中的切削量(推荐):
推荐采用此选项,这种情况下,每个尺寸的螺栓球的切削量在螺栓球库中已经定义好了,设计时有 4 种情况可供选择:
验算套筒承压(默认):即用套筒端部与螺栓球切削面的净接触面积(不包含六个角)来验算套筒端部承压是否满足,球径由小到大依次进行验算。
端面承压的三种接触方式如下图:
图片
不验算套筒承压:设计时不考虑套筒端部承压验算,只考虑碰撞进行设计;
切削面覆盖套筒内切圆、切削面覆盖套筒外接圆:顾名思义,只计算切削面覆盖套筒的内切/外接圆前提下,从小到大设计螺栓球直径。
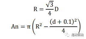
注:端部承压验算相关公式如下:
图片
An:净接触面积
D:正六边形的外接圆半径
R:正六边形的内切圆半径
d:螺栓孔直径
图片
1.2.8相贯节点设计注意事项:
在做节点设计时,需要注意以下几点:
(1)在进行相贯节点验算之前需要先把要验算的节点定义为相贯节点
(2)需要定义杆件属性,主管定为弦杆,支管定为腹杆,快捷生成的模型杆件属性是自动定义好的;
(3)需要定义杆件的横轴线号属性,由于一个节点连接多根腹杆,因此软件通过横轴线号来区分哪些杆件处在同一平面内,横轴线号相同的杆件被认为是处在一个平面内,软件通过横轴线号来将空间相贯节点折分成两个平面相贯节点。快捷生成的模型杆件横轴线号属性是自动定义好的。
节点设计时出现所选杆件不能构成指定形式的连接提示,可能原因有:
1.杆件类型或横轴线号没有定义正确;
2.该节点已做过节点设计;
3.所选节点类型与该处节点所连杆件并不匹配。

腹杆重新定位
具体横轴线号的定义可参考软件自动快捷生成的模型里横轴线号的定义。此外在同一个面上的腹杆数目不能大于 3。如果执行腹杆重新定位腹杆产生偏心后又想使腹杆回到原来的轴线位置上,可以将相贯节点的支管间隙取为 0,然后再执行腹杆重新定位命令即可。
图片
纵轴线号:用于判断两榀桁架相交位置节点,两根主管相交的搭接顺序,即确定哪根主管保持连通, 用户需要在纵轴线号中输入 1 或 2,1 表示一级主管,2 表示二级主管,对于一个空间节点,如果相连杆件包括一级主管和二级主管,则进行相贯时一级主管保持连通,二级主管作为另一平面内的腹杆搭接在一级 主管上。

1.2.9 焊接球 相贯

图片  图片
《空间网格结构技术规程》JGJ7-2010

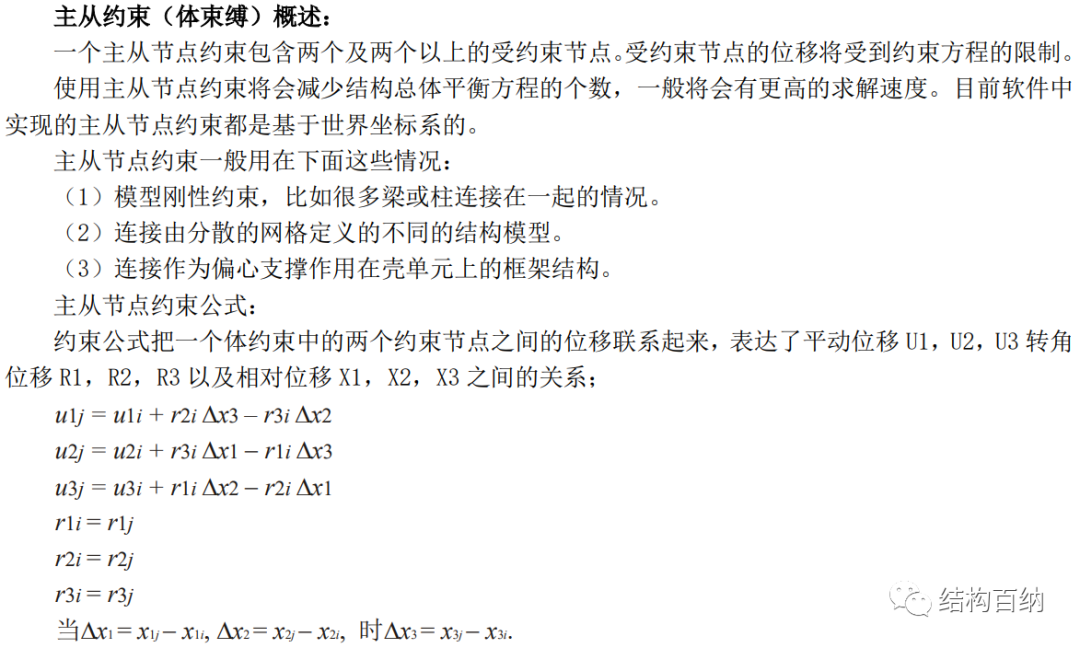
1.2.10 主从节点

图片
图片

1.主从约束
具有主从约束关系的两个节点,共用主节点的自由度,计算过程中刚度矩阵、质量矩阵、位移和力等都转换为主节点的等效分量。
在实际情况中常常用主从约束代替刚臂较大的杆件,构件的偏心(软件自动处理)等情况。软件可设置主从约束关系注意事项:

  1. 可以设置两个节点任意组合自由度的主从约束关系,如 x、Ry;
  2. 一个主节点可以连接任意多个从节点,从节点不能再作为另一个主从约束的主节点,如图 1.5.1 所示;

3) 具有一般约束的节点和具有节点坐标系的节点均可作为主从约束的节点,具有边点约束的节点 设置主从约束的处理方法见 1.5.3 边点约束中的说明。
图片
2.耦合
耦合是主从约束的一种特殊形式,在用法和注意事项上基本一样,值得注意的是:主从约束关系 可近似为“刚臂”,而耦合则为位移完全相同的关系。其用法和注意事项不再赘述。
常用 1:模型较繁琐时,可用耦合分离模型,如图 1.5-2 所示。
图片
常用 2:3D3S 不支持重复节点和单元,如果特殊需要在一个单元上再添加一个单元,则可用耦合 实现,如图 1.5-3 所示。
图片

1.2.11 虚杆

功能: 该命令用于生成导荷载的封闭区域,解决了未围成封闭区域构件的导荷载问题。
步骤:点击此命令,弹出如下对话框。采用“直接画虚杆”命令,选择要生成虚杆的两节点,生 成虚杆;或者在两节点间画一直线,采用“选线定义为虚杆”命令,选此直线生成虚杆。
图片
1) 勾选节点处自动打断,则自动打断。
2) 勾选虚杆随节点层显示,则虚杆的显示会随着两端节点的显示与隐藏发生变化。
如下图:楼面平面存在五根悬挑梁,但梁端不存在边梁,这种情况下可以在梁端添加四根虚杆后 进行封闭面的生成和自动导荷载。
图片

注意:
1)参与封闭面形成的虚杆两端必须连有实际节点,虚杆上默认不分配封闭面的荷载,若在导荷范 围中勾选了“虚杆参与导荷”,则可以分配封闭面的荷载
2)选择受荷范围时不需要选择形成封闭面的虚杆,软件会根据虚杆两端连接的杆件自动判断。

1.2.12 反力方向

步骤:首先选择单个支座节点,按鼠标右键结束选择后弹出对话框,按确定按钮后视图出现查询 结果。
说明:支座反力方向为结构整体坐标系方向,给出的数值可以认为是作用在与支座垂直的柱上,即当支座受压时,Nz 为正,相当于柱底受压。其余的力方向类推。设计基础时,所给的力应反向加在基础上。
图片

知识点:3d3s-基本功能

PHOENICS的基本功能

  • 天地不言
    天地不言 沙发

    感谢楼主的的分享,软件的基本功能的深刻把握是运用好软件的前提,很多设计师理论不扎实,软件基本功能不了解,做出的设计自然就不合理。

    2023-06-25 09:40:25

    回复 举报
    赞同0
这个家伙什么也没有留下。。。

2.81 万条内容 · 214 人订阅

猜你喜欢

阅读下一篇

索杆体系和索梁体系

“索杆体系”是指由“索”单元或“杆”单元组成的结构体系,初始状态内力仅需满足平衡条件;“索梁体系”是指由“梁”和“索”(或“杆”)组成的体系,初始状态梁部分的内力是由自零状态至初始状态的变形引起的,所以不仅需满足平衡条件还需满足变形协调条件。 几何不协调的变形意味着在主动索张拉过程中有部分索段张紧受力而其他索段处于松弛状态。对于几何不协调变形的情况,如果设计几何给定,满足平衡条件的任意一组预张力分布均可作为初始状态的预张力;如果设计几何不定,满足给定支承几何和边界条件的设计几何及其对应的一组平衡预张力可以作为结构的初始状态。几何协调的变形意味着在主动索张拉过程中各构件同时受力,产生几何协调变形最终达到初始状态,在初始状态索结构的预张力分布既满足平衡条件同时又满足几何协调条件。

回帖成功

经验值 +10