土木在线论坛 \ 建筑结构 \ 结构资料库 \ 正弦波纹钢骨混凝土梁受弯性能研究

正弦波纹钢骨混凝土梁受弯性能研究

发布于:2022-12-06 13:29:06 来自:建筑结构/结构资料库 [复制转发]

正弦波纹钢骨混凝土梁受弯性能研究

杜新喜1,李昌正1,袁焕鑫1,张帆2,甘世新3

1. 武汉大学土木建筑工程学院

2. 湖北中南管道有限公司

3. 国网湖北省电力有限公司

摘 要: 为解决普通钢筋混凝土电力管道的电磁屏蔽问题,提出一种新型正弦波纹钢骨混凝土圆管。将圆管顶部受弯段作为研究对象,设计并制作了 12 根梁试件,开展了三点受弯加载试验。通过试验得到了梁试件的弯矩-挠度关系和破坏形态,试验结果表明梁受弯承载力与波纹钢骨的波长和波高呈反比,且与波纹钢骨的位置有关。采用 ABAQUS 建立了考虑波纹钢骨材料力学性能和混凝土损伤的精细数值模型,对波纹钢骨混凝土梁的受弯性能进行模拟,有限元分析得到的梁破坏形态和受弯承载力与试验结果吻合良好,验证了有限元模型的准确性。得到的试验研究数据和有限元分析结果可以为该类新型正弦波纹钢骨混凝土圆管的研究和应用提供参考。


关键词:波纹钢骨;混凝土圆管;受弯性能;试验研究;有限元分析

STUDY ON FLEXURAL PERFORMANCE OF SINUSOIDAL CORRUGATED  STEEL REINFORCED CONCRETE BEAMS

DU Xinxi1  LI Changzheng1  YUAN Huanxin1  ZHANG Fan2  GAN Shixin3

1. School of Civil Engineering, Wuhan University

2. Hubei Zhongnan Pipe Co. Ltd

3. State Grid  Hubei Electric Power Co. Ltd

Abstract:A novel type of sinusoidal corrugated steel-reinforced concrete circular pipe was proposed to present the solution  to the electromagnetic shielding problem of ordinary reinforced concrete power pipelines. The segment at the top of round  pipe under bending was selected and studied, And a total of 12 beam specimens were designed and fabricated. Three -point  bending tests were performed to acquire the moment versus deflection behavior and the failure mode of the beam specimens.  It was revealed that the moment resistance of beam specimens decreased as the wavelength and wave height of the encased  corrugated sheet increased, and the moment resistance was closely related to the position of the encased corrugated sheet.  Elaborate numerical model accounting for the mechanical properties of encased corrugated sheet and the damage development  of concrete was developed using ABAQUS. The flexural performance of the tested corrugated steel reinforced concrete beams  was carefully simulated, and it was shown that the numerically obtained failure modes and moment resistances were in good  agreement with the experimental results, thus verifying the accuracy of the developed finite element (FE) model. The obtained  test data and FE modeling results can contribute to the research and application of this new type of sinusoidal corrugated  steel-reinforced concrete circular pipe.

Keywords:encased corrugated steel sheet; concrete circular pipe; flexural performance; experimental study; FE analysis

DOI:10.13204/j.gyjzG21042009

来源:

杜新喜,李昌正,袁焕鑫,张帆,甘世新.正弦波纹钢骨混凝土梁受弯性能研究[J/OL].工业建筑:1-10[2021-11-30].

https://doi.org/10.13204/j.gyjzG21042009.


00

引言

为了实现钢筋混凝土电力管道的电磁屏蔽目的,一般在管道内壁加衬钢板,但在管道受力分析时并未考虑该内衬钢板对其承载力的贡献。因此提出一种新型正弦波纹钢骨混凝土圆管,如图 1 所示, 即将正弦波纹钢骨内嵌到钢筋混凝土管中作为受力骨架。正弦波纹钢骨的优点在于可以用较小的厚度获得较高的受弯承载力和面外刚度,因此,该种新型管道既可以充分利用波纹钢骨的优良受力性能, 又可以解决电磁屏蔽的问题,能够节约成本,具有良好的经济效益,有较广的工程应用前景。

国内外已有部分针对波纹钢管和混凝土的组合形式构件受力性能的研究。方勇等[1]对波纹钢管-钢夹层混凝土组合短柱构件开展了轴压试验,并基于试验结果推导出了轴压承载力计算公式。Wang 等[2]对 12 根波纹钢管混凝土短柱(CECST)进行了轴压试验,根据试验结果和有限元分析提出了一种适合 CFCST 的轴压承载力设计方法。Kim 等[3]通过对 4 根波纹钢管空心预制混凝土柱进行循环加载试验,考察了柱的延性和循环能力。王丹净[4]、韩国建[5]和孙润芳[6]分别研究了混凝土壳体内衬波纹管结构,表明内衬波纹管对结构承载力有明显提高。Flener[7]对四座波纹钢板箱涵在拱顶采用波纹钢板倒扣在原结构上的方式进行加强,通过试验研究表明拱顶采用波纹钢板加强能够有效提高其承载力。Kang 和 Davidson[8]研究了埋地混凝土内衬波纹钢管结构性能,利用有限元分析和详细的土模型对混凝土衬砌的结构效果进行了评价,并给出了内衬波纹钢管混凝土管的设计方法。李勇和符锌砂[9- 11]研究了不同钢内衬加固钢筋混凝土管涵的加固效果及其力学特性,得出波纹钢管内衬加固钢筋混凝土管的极限承载力提高 22%。路博[12]开发了适用于波纹钢管混凝土构件的纤维模型法,并进行了试验验证,提出了波纹抗弯承载力与抗弯刚度的计算公式。李百建等[13]通过试验得到了波纹钢管偏心加固管试件的承载力,提出了一种估算偏心加固管承载力的方法。Chou 等[14]对 5 个 FRP-螺旋波纹管 (FWSCT)进行了受弯、受剪性能试验研究,采用残余剪切模型和塑性铰长度的分析方法合理地预测 了 FWSCT 柱的抗弯承载力和抗剪承载力。从公开发表的文献来看,当前多将波纹管作为外衬和内衬,从而对原有管体进行加强,尚无将波纹钢骨内嵌到混凝土圆管中的相关研究,本文的研究工作具 有创新性。 

由于常用电力管道整管尺寸偏大(外径 3600mm),开展整管试验难度较大,而管体顶部区域在竖向土压力和路面荷载的共同作用下处于受弯状态,因此选取管体顶部区域作为主要研究对象,如图 1 所示,设计制作 12 根梁试件,并开展三点受弯加载试验,探究正弦波纹钢骨对于受弯承载力的影 响。同时采用有限元软件 ABAQUS 建立数值模型,对试件的受弯性能进行深入分析。

图片

图 1 正弦波纹钢骨混凝土顶管示意图(mm) 

Fig.1 Schematic diagram of sinusoidal corrugated steel-reinforced concrete jacked pipe (mm)


01

梁试件设计及试验方案

1.1 梁试件设计

设计了 6 组(每组 2 个)共 12 个梁试件,试件中混凝土强度等级为 C50,正弦波纹钢骨采用 Q235 钢材,钢筋骨架采用直径 6mm 的 HRB400 级钢筋。所有梁试件的长度和宽度分别为 2000mm 和 380mm,梁高有 300mm 和 260mm 两种。试件中正弦波纹钢骨规格分为 300mm×110mm×3mm 和 200mm×55mm×2mm 两种,且采用居中放置和偏心放置两种不同的布置方式。梁试件的主要参数见表 1。

表1 梁试件主要参数(mm) 

Tab.1 Main parameters of beam specimens (mm)

图片


图片

图 2 试件钢筋和波纹钢骨示意图 (mm) 

Fig.2 Specimen design of steel bar and corrugated plate (mm)


1.2 材料力学性能

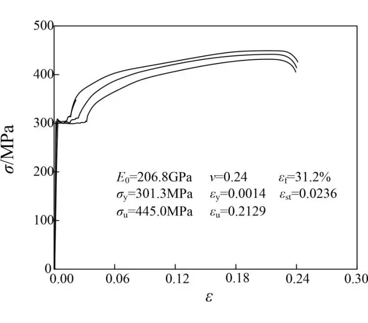
用与制作梁试件的同批次混凝土浇筑 3 个边长 150mm 标准立方体试块,采用与试件相同的养护条件养护 28 天后,根据 GB/T 50081-2019[15]规定的标准试验方法,在 3000kN 压力试验机上进行轴压试验,测得混凝土的立方体抗压强度平均值为 70.4MPa。同时,从与试件同批次的波纹钢板上,根据 GB/T 228.1-2010[16]相关规定加工 3 个相同的标准材性试样,如图 3 所示,在 300kN 万能试验机上进行单调拉伸试验,测得应力-应变曲线如图 4 所示,图中也给出了钢材力学性能指标的平均值:弹性模量 E0=206.8GPa;泊松比ν=0.24;断后伸长率εf=31.2%;屈服强度 σy=301.3MPa;屈服应变 εy=0.0014;屈服平台结束点对应应变 εst=0.0236;抗拉强度 σu=445.0MPa;极限应变 εu=0.2129。

图片

图 3 波纹钢骨标准材性试样 (mm) 

Fig.3 Standard tensile coupon for corrugated steel


图片

图 4 波纹钢骨钢材应力-应变关系曲线 

Fig.4 Stress-strain curves of corrugated steel sheets


1.3 试验方案 

波纹钢骨混凝土梁试件的三点弯曲加载装置如图 5 所示。梁试件两端采用简支支座,跨中施加集中荷载,集中荷载通过 600kN 电液伺服作动器施加,且在作动器与梁试件之间设置刚性加载块,确保跨中位置均匀受力,避免混凝土局压破坏。

图片

图 5 加载装置 

Fig.5 Test setup


在每根梁试件上布置位移和应变测点,其中位移测点布置如图 5 所示,即在梁跨中和两端支座量测竖向变形。应变测点布置如图 6 所示,具体布置方案如下:(1)300mm×110mm 波形的波纹钢骨沿其长度方向布置 7 个单向应变片,应变片的间距为 150mm,且从中点开始往两侧对称布置;在横向布置 5 个应变片,间隔为 50mm;梁下部受拉钢筋从跨中开始每隔 200mm 对称布置 3 个应变片, 共 14 个应变片。(2)200mm×55mm 波形的波纹钢骨在波峰和波谷处延其长度方向各布置 5 个单向应变片,应变片的间距为 150mm,且从中点开始往两侧对称布置;在横向布置 4 个应变片,间隔为 50mm;梁下部受拉钢筋从跨中开始每隔 200mm 对称布置 3 个应变片,共 15 个应变片。

图片

图 6 波纹钢骨应变片布置图 

Fig.6 Scheme of the strain gages on corrugated steel sheet


加载试验过程先按力控制,加载速率为 0.1kN/s,每 15kN 持荷 2min,观察记录试验现象并绘制裂缝,加载至设计荷载的 80%时切换为位移控制,加载速率为 0.5mm/min。当试件承载力降至峰值荷载的 85%以下时,认为试件已经无法继续承载而停止试验。


02

梁受弯试验结果分析

2.1  试验现象

当梁试件跨中加载至开裂荷载时,梁跨中受拉一侧出现竖向裂缝。随着荷载继续增大,竖向裂缝向上扩展,在竖向裂缝中点处出现横向裂缝并不断发展,同时有一系列细小的斜裂缝产生,内部波纹钢骨发出声响。加载至峰值荷载附近时,跨中竖向裂缝不断增大并伴随着加载位置附近梁顶部的混凝土被压碎,试件破坏,如图 7 所示。梁试件在达到峰值荷载后的下降段普遍较为平缓,表现出良好的变形能力。从试件的裂缝发展形态来看,在加载后期出现明显的横向裂缝主要是因为波纹钢骨与混凝土之间产生了界面滑移。

图片

图 7 梁试件典型破坏形态 

Fig.7 Typical failure mode of beam specimen


2.2 试验结果分析

根据试验得到的梁试件荷载并依据简支梁弯矩公式计算出弯矩,根据位移计结果,将跨中位移与支座位移求差,得出试件挠度。计算并绘制出弯矩-挠度曲线如图 8 所示,图中标出了各个试件对应的开裂弯矩 Mcr 和极限弯矩 Mu,同时所有试件的试验结果汇总于表 2 中。从试验得到的弯矩-挠度曲线可以看出,在试件开裂之前基本呈线性关系,当达到开裂弯矩时,曲线上出现一个短暂的下降。随着荷载不断增大,开裂部分混凝土退出工作,由钢筋骨架和波纹钢骨继续受力,但抗弯刚度存在一定程度的下降。随着梁跨中的集中荷载继续增大,试件不断出现新的纵向裂缝,弯矩-挠度曲线表现为锯齿状攀升。从图中可以看出,内置 200mm×55mm 规格波纹钢骨试件的抗弯刚度和承载力均高于内置 300mm×110mm 规格波纹钢骨的试件。相同高度试件中 DP 系列试件比 DZ 系列试件承载平均提升 23.8%,XP 系列试件比 DP 系列试件承载力平均提高 25%,而高度 300mm 试件比高度 260mm 试件承载力平均提高约 40%。根据 JC/T640-2010《顶进施工法用钢筋混凝土排水管》[17]的规定,300mm 壁厚三级管极限荷载检验标准为 410kN/m,上述梁试件是基于管体顶部受力状态设计制作的,可以在一 定程度上反映整管的受力情况,根据梁宽度进行换算为集中力,再根据简支梁弯矩公式计算出极限弯 矩为 55.35 kN·m,表明其满足荷载检验要求。

图片

图 8 试验弯矩-挠度曲线 

Fig.8 Moment-deflection curves from tested specimens


表2 梁试件受弯试验结果 

Tab.2 Experimental results of beam specimens

图片


根据应变测点数据可以绘制弯矩-应变曲线,如图 9 所示。梁试件在开裂前,受拉区混凝土承担拉应力,钢筋和波纹钢骨的应变很小。当达到试件的开裂弯矩时,梁跨中底部受拉区混凝土开裂退出工作,主要由下部钢筋承担拉应力,由于钢筋直径较小,其应变迅速增大并达到屈服。随着荷载的增加,中和轴不断上移,主要由波纹钢骨承担拉应力,钢骨中部测点的应变值逐渐增大,重合的弯矩-应变曲线开始分离,波纹钢骨中部区域应变增长较快并率先进入塑性,随后塑性区向两边发展。波纹钢骨在受力过程中波纹会被拉平或者挤压出现褶皱,此时对应的受力状态会发生改变,在曲线上表现 为应变的小幅回退,但是可以继续承载,因此应变会继续平稳增加。B1,B2 测点距离加载点较远, 弯矩较小,波纹钢骨的拉应力较小,在荷载应变曲线上呈现出近似竖直直线。

图片

图 9 试件弯矩-应变曲线 

Fig.9 Bending moment-strain curves from tested specimens


03

有限元分析

3.1 有限元模型

借助有限元软件 ABAQUS 建立数值模型,对前述受弯试验结果进行模拟。模型由混凝土、波纹钢骨、钢筋三部分组成,不同部位分别建模而后组装为整体。模型中混凝土部分采用 C3D8R 六面体减缩积分单元进行结构化网格划分,波纹钢骨厚度方向尺寸相比其他两个方向尺寸很小,采用 S4R 四边形壳单元进行扫掠网格划分,钢筋采用 T3D2 桁架单元进行划分,混凝土单元尺寸为 30mm,波纹钢骨单元尺寸为 20mm,钢筋单元尺寸为 10mm,模型总单元数约为 41000。将该网格细化为当前尺寸的 1/2,经比较分析,计算结果平均相差不超过 0.2%,如图 10 所示,表明选用的网格尺寸满足计算精度要求。波纹钢骨本构模型按材性试验实测结果取值,且将工程应力-应变曲线转换为真实应力-对数塑性应变曲线输入 ABAQUS,采用 von Mises 屈服准则并考虑几何非线性。混凝土采用塑性损伤本构模型[18-19],准确考虑材料的强度退化和损伤的发展,钢筋材性数据根据张耀庭等[20]的材性试验取值。钢骨与混凝土之间采用型钢混凝土粘结滑移本构模型[21-23],试件采用的钢筋为带肋钢筋,与混凝土之间粘结性能好,两者之间可以认为不存在滑移,设置为嵌入关系。在梁试件两端支座位置分别设置固定铰和滑动铰约束,模拟试验的简支边界条件;在梁跨中建立参考点,与加载矩形区域耦合,对参考点施加竖向位移进行加载 。采用Static General 方法进行计算分析,同时设置NLGEOM=YES,考虑几何非线性的影响。

图片

图 10 有限元模型网格优化 

Fig.10 FE mesh optimization


图片

图 11 波纹钢骨混凝土梁有限元模型 

Fig.11 FE model of corrugated steel reinforced concrete beam

3.2 有限元结果比较分析

对所有梁试件进行有限元分析,可以得出试件的破坏形态如图 12 所示。混凝土损伤云图中红色部分表示裂缝,试件破坏时出现明显的水平滑移裂缝和竖向裂缝开展,与试验破坏时裂缝形态基本一致;波纹钢骨中部灰色区域表示材料达到屈服,当试件达到极限弯矩时,正弦波纹钢骨中部发生大面积屈服,应力从中部向两侧均匀减小,与试验测点应变数据反映结果一致。表明有限元模型对试验破坏模式能够进行准确模拟。

图片

图 12 有限元破坏形态 

Fig.12 Failure mode of FE


梁高 300mm 和 260mm 试件弯矩-挠度曲线对比结果如图 13 所示。在峰值点之前有限元计算的抗弯刚度、受弯承载力与试验结果吻合较好。试验曲线在峰值点附近发生抖动,这是梁试件细小裂纹开展形成裂缝导致的,而有限元采用的混凝土损伤本构虽然可以模拟出主要裂缝开展,但难以准确反映试件上的细小裂缝发展,因此曲线整体较为光滑。总体而言,有限元模拟的曲线与试验曲线吻合良好,且有限元分析得到的开裂弯矩和极限弯矩与试验结果非常接近。有限元计算结果与试验结果比值的平均值分别为 Mcr,FE/Mcr,Test=1.05,Mu,FEMu,Test=1.08,f,FE / f,Test=1.08,对应的标准差分别为 0.032、0.042 和 0.04,从而验证了有限元模型的准确性,可以为后续的参数分析和整管受力性能模拟提供参考。

图片

图 13 有限元与试验结果对比分析 

Fig.13 Comparison between FE and test results


表3 有限元与试验结果比较分析 

Tab. 3 Comparison of FE results and test results

图片


04

结论与展望

选取正弦波纹钢骨混凝土管顶部受弯区域作为研究对象,对 12 根波纹钢骨混凝土梁试件进行三点受弯加载试验和有限元分析,得到了以下结论: 

(1)12 根梁试件的破坏现象均为跨中混凝土拉裂,波纹钢骨拉屈,顶部受压区混凝土压碎。试验结果表明将波纹钢骨作为受力骨架可以在满足 JC/T640-2010《顶进施工法用钢筋混凝土排水管》 的荷载检验要求。 

(2)波纹钢骨的波形和位置对其承载力影响较明显,小波形和靠近受拉侧布置可以显著提高试件承载力和刚度。 

(3)建立了考虑混凝土塑性损伤和强度退化以及波纹钢骨材料非线性的有限元模型,有限元分析能够准确得出梁试件的受弯承载力和失效破坏形态,且模拟得到的波纹钢骨应变分布形态与试验结果吻合良好,验证了所建立有限元模型的可靠性。 

(4)波纹钢骨梁受弯试验与有限元分析结果表明,波纹钢骨与混凝土之间的界面滑移较为明显, 后续将针对界面滑移问题开展深入研究。


内容源于网络,仅作分享使用,如有侵权,请联系删除 

相关资料推荐:

冻融循环后预应力混凝土梁受弯性能研究李琮琦

无粘结部分预应力frp筋混凝土简支梁受弯性能研究

知识点:正弦波纹钢骨混凝土梁受弯性能研究

全部回复(0 )

只看楼主 我来说两句抢沙发
这个家伙什么也没有留下。。。

结构资料库

返回版块

41.29 万条内容 · 424 人订阅

猜你喜欢

阅读下一篇

螺栓连接装配式混凝土剪力墙抗震性能研究

 螺栓连接装配式混凝土剪力墙抗震性能研究 种迅1,2,陈子星1,蒋庆1,2,黄俊旗1,2,李浩然3,方小文1,谢锦宸4 1. 合肥工业大学土木与水利工程学院 2. 安徽土木工程结构与材料省级重点实验室 3. 长沙远大住宅合肥有限公司 4. 北京大学工学院

回帖成功

经验值 +10