土木在线论坛 \ 建筑结构 \ 结构资料库 \ 钢管混凝土双肢边柱双层肩梁设计方法研究

钢管混凝土双肢边柱双层肩梁设计方法研究

发布于:2022-12-06 12:00:06 来自:建筑结构/结构资料库 [复制转发]

钢管混凝土双肢边柱双层肩梁设计方法研究

门进杰,彭泰,范栋鑫,兰涛1,,张辉煌1,何浩

1. 西安建筑科技大学土木工程学院

2. 中国船舶重工集团国际工程有限公司

摘 要: 为研究双肢边柱双层肩梁的设计方法,建立了 4 个双肢边柱双层肩梁的有限元模型,采用数值 模拟的方法对上肩梁高度、中柱内肢中心距、下肩梁高跨比、中柱内肢高度、中柱内肢断面高度等参数对边柱 双层肩梁承载力、破坏模式和内力分配规律的影响进行研究。结果表明:当内肢侧腹板先全断面屈服时,构 件弹性承载力对应内肢侧腹板的全断面屈服时的承载力;当外肢侧腹板先全断面屈服时,构件的弹性承载力 可偏保守取下肩梁内、外两侧剪力相等时对应的弹性承载力;下肩梁内肢侧剪力计算同单层肩梁;同时给出 了不同情况时下肩梁主要断面的剪力计算式,并以此推出下肩梁内、外两侧剪力相等的临界值,用于判定下 肩梁内、外两侧的屈服顺序;并结合断面应力分布特点提出了双层肩梁的设计方法。


关键词: 钢管混凝土双肢柱;双层肩梁;有限元法;剪力计算;设计方法


阶形柱具有荷载偏心小、构造合理、比等断面柱用钢量少等优点,在单层钢结构工业厂房以及重型有吊车工业厂房中得到了广泛应用[1]。而连接阶形柱上、下相邻两段的构件被称为肩梁,其作用包括传递上段柱内力,及作为上段柱的嵌固端[2] 。目前,设计手册和一些设计标准给出了单层肩梁的设计方法[3-4],而对于在双阶柱中应用的双层肩梁,其设计方法在国内外研究较少,因此开展对双肢边柱双层肩梁的设计方法进行研究。

前期本课题组已完成双肢边柱双层肩梁以中柱内肢作用位置为主要参数的静力试验,得出该构件的破坏是由下肩梁内肢侧腹板剪切变形过大造成的[5-6] 。由于通过试验不易获得双肢边柱双层肩梁各断面的内力,且不能进行大量的参数研究,因此在该试验的基础上,采用有限元法来研究肩梁的内力分配,结合断面应力分布的特点,给出具体的设计方法。


01

有限元模型建立

由于研究关注点为边柱双层肩梁的弹性承载力,故钢材的本构曲线采用理想弹塑性,屈服强度取 235 MPa,弹性模量取 210 GPa,混凝土强度等级为 C40,采用 ABAQUS 自带的混凝土损伤本构[7]、混凝 土单轴的受压和受拉的应力-应变关系、损伤因子等参数,确定方法见 GB 50010—2010《混凝土结构设计规范》[8],混凝土的弹性模量取 32.5 GPa,泊松比取 0.2,其余塑性指标按表 1 釆用[6] 


表 1 C40 混凝土塑性损伤模型参数

Table 1 Parameters of the cracking modle of concrete C40

图片


下肩梁采用 C3D20R 单 元,中柱内肢采用 C3D8I 单元,上肩梁、钢管与混凝土等其余部件均釆用 C3D8R 单元。


02

模型参数分析

2.1 下肩梁内、外肢侧腹板全断面屈服顺序对构件弹性承载力的影响 

表 2 为双肢边柱双层肩梁的参数变化,其中模型 DSSB-1~DSSB-3 为双肢构件;参数 a1 为中柱内肢断面高度;c1c2 为中柱内肢距下柱的距离,如图 1 所示。


表 2 肩梁试件参数变化 

Table 1 Parameters of the shoulder beams in double-lime side columns   (mm)

图片


图片

图 1 试验参数示意 mm

Fig.1  The schematic diagram of  test specimens


试件模型 DSSB-3 为中柱内肢作用位置在双层肩梁近外侧,在此构造形式下,下肩梁外肢侧部分的屈服可能会早于内肢侧部分,但此时下肩梁两侧剪力值接近,几乎同时发生屈服,无法判定下肩梁外肢侧部分对双层肩梁构件屈服荷载的影响,故建立有限元模型DSSB-4,其尺寸见表 3。受下肩梁翼缘 1:2.5 放坡要求的影响,中柱内肢无法直接向外侧偏移,故通过减小中柱内肢断面高度的方式来实现下肩梁外肢侧剪力值大于内肢侧的目标。


表 3 模型 DSSB-4 尺寸 

Table 3 The sizes of model DSSB-4 mm

图片


模型 DSSB-1 和 DSSB-2 下肩梁内肢侧的腹板全断面几乎同时发生屈服,并迅速形成塑性带,此后随着荷载的增加,肩梁变形速度加快。这表明在构件下肩梁内肢侧腹板先屈服的情况下,可以下肩梁内肢侧腹板全断面屈服作为双层肩梁构件弹性承载力的计算依据。 

模型 DSSB-3 和 DSSB-4 的下肩梁腹板全断面屈服最先发生在外肢侧。其中,模型 DSSB-3 下肩梁外肢侧剪力虽大于内肢侧,但两侧剪力相差较小,使外肢侧与内肢侧腹板全断面几乎同时屈服,因此这种情况也可以下肩梁内肢侧腹板全断面屈服作为计算双层肩梁构件弹性承载力的依据。由文献 [6] 可知,模型 DSSB-4外肢侧腹板全断面屈服时对应的外荷载约为 242 kN,结合图 2 的荷载-位移曲线 以及图 3 的应力云可以看出:此后随着荷载增加,承载力增长并未明显放缓,直至下肩梁内肢侧腹板斜压带进入塑性阶段,荷载-位移曲线的斜率才开始明显降低。由此可知,下肩梁外肢侧的全断面屈服并不能作为计算双层肩梁构件弹性承载力的依据。因此,对于下肩梁外肢侧剪力值大于内肢侧剪力,且两侧剪力差值较大的情况,构件的屈服荷载可以下肩梁内肢侧腹板的部分屈服为依据。

图片

纵轴处的标记位置表示下肩梁内肢侧腹板全断面屈服时的外荷载, 即 DSSB-1~DSSB-4 的屈服荷载依次为 212,247,297,337 kN。 


图 2 双肢模型荷载-位移曲线 

Fig.2 Load-diaplacement curves of double-limb models


图片

a—290 kN;b—305 kN;c—317 kN。 


图 3 试件 DSSB-4 应力云 MPa 

Fig.3  Stress contours of DSSB-4 


2.2 中柱内肢作用位置对剪力发展规律的影响

双层肩梁受力示意和下肩梁计算简图如图 4、图 5 所示。与单层肩梁相比,双层肩梁在竖向荷载  的作用下,由于上肩梁的影响,传至下肩梁的荷载会有一部分折减(V3 ),并且折减后的荷载  作用于下肩梁时,由于弯矩  的影响,不能直接简化为作用于下肩梁上翼缘的两个等值集中力,此时集中力 P1 和 P2 不相等。对于单层肩梁,在竖向荷载作用下,上柱两侧的剪力值存在确定的关系。如图 6 所 示,若把双层肩梁构件等效为 1 根变断面的单层肩梁,将外肢侧上、下肩梁整体考虑,那么双层肩梁构件在弹性阶段的受力也存在类似关系,即 V1 /( V2 +V3 )=(ab)/ 

图片

图 4 双层肩梁剪力示意 

Fig.4 The schematic diagram of shear action double-layer shoulder beams


图片

a1 为中柱内肢断面高度; 为柱肢中心线间距; 为中柱内肢中心线距下柱内肢中心线的距离;a2 为中柱内肢左侧翼缘到左侧下柱中心线的距离;a为中柱内肢右侧翼缘到右侧下柱中心线的距离。 


图 5 下肩梁计算简图 

Fig.5 The schematic calculation of layer shoulder beams


图片

图 6 双层肩梁等效受力简图 

Fig.6 The schematic diagram of equivalent force on double-layer shoulder beams


 表 4~表 7 给出了双肢边柱双层肩梁在竖向荷 作用下的剪力分配。有限元计算结果表明:下肩梁内肢侧断面剪力值与单层肩梁对应位置的剪力值几乎相等,即 V1 =Pa-b)/ a。 


表 4 模型 DSSB-1肩梁承担荷载及比例 

Table 4 The sharing load of the shoulder beam and its load-bearing ratios of DSSB-1

图片


表 5 模型 DSSB-2肩梁承担荷载及比例 

Table 5 The sharing load of the shoulder beam and its load-bearing ratios of DSSB-2

图片


表 6 模型 DSSB-3肩梁承担荷载及比例 

Table 6 The sharing load of the shoulder beam and its load-bearing ratios of DSSB-3

图片


表 7 模型 DSSB-4肩梁承担荷载及比例 

Table 7 The sharing load of the shoulder beam and its load-bearing ratios of DSSB-4

图片


在下肩梁(包括内肢侧和外肢侧) 未全断面屈服前,上肩梁承担剪力较小,且分配比例基本不变,模型 DSSB-4 上肩梁剪力最大, 约为 19%, 模型 DSSB-1 剪力最小,约为 10%。其原因是中柱内肢向外肢侧偏移的过程中,上、下肩梁的刚度比发生变化,上肩梁分配的剪力逐渐增大。模型DSSB-3、DSSB-4 下肩梁外肢侧腹板全断面屈服后,承载力的提高主要来自下肩梁内肢侧部分和上肩梁部分,由于两部分均未屈服,可承担更多剪力。为满足两侧剪力值一定的比例关系,上肩梁此时剪力值开始非线性增长,增速明显快于下肩梁外肢侧腹板全断面屈服之前。下肩梁外肢侧断面的剪力值在中柱内肢自内向外偏移的过程中所占外荷载  的份额一直在增大。当中柱内肢中心距  =350 mm 时,荷载承担的份额已经超过内侧,外肢侧剪力值用现有的算式无法求出,需进一步研究。

2.3 影响双层肩梁外肢侧剪力值的因素

 由 2.2 小节分析可知,以中柱内肢为界,两侧的肩梁剪力满足几何关系  V1/( V2 +V3 )=(a-b)/ b。依照此关系,可得下肩梁外肢侧剪力以及上肩梁和下肩梁外肢侧的总剪力,而外肢侧上、下层肩梁之间剪力的分配情况无从得知,所以通过以下参数分析外肢侧上、下层肩梁剪力的分配规律。 

2.3.1 上肩梁断面高度的影响 

由图 6、图 7 可知:随着上肩梁断面高度的增大,上肩梁刚度相对增大,上肩梁所占外肢侧部分的剪力比例增大,增幅约为 3%。 

图片

图 7 中柱内肢中心距和上肩梁断面高度的影响 

Fig.7 Effects of center distance for inner limbs of middle columns and the height of upper  shoulder beams


2.3.2 中柱内肢中心距的影响 

由图 7 可知:在上肩梁断面高度以及下肩梁跨高比一定的情况下,随着中柱内肢中心距的增大,上肩梁所占外肢侧总剪力减小,变化幅度在 1%上下, 但当中柱内肢中心距大于 300 mm 时,其对各断面的剪力分配几乎不产生影响。

2.3.3 下肩梁跨高比的影响 

由图 8 可知:随着下肩梁跨高比的增大,上肩梁所占外肢侧部分总剪力的份额轻微减小,其原因在 于下肩梁刚度增大,导致上、下两层肩梁的刚度比发生变化。计算结果表明这种变化所引起的断面剪力 的变化幅度仅为 3%,可认为下肩梁跨高比 λ 对外肢侧剪力分配无显著影响。

图片

图 8 下肩梁跨高比 λ 和上肩梁断面高度的影响 

Fig.8 Effects of height-span ratios the  lower shoulder beams and section height of upper  shoulder beams


2.3.4 中柱内肢断面高度的影响 

由图 9 可知:随着中柱内肢断面高度的增大,上肩梁在外肢侧所占剪力比例增大;同时,在与下肩梁跨高比、中柱内肢中心距、上肩梁断面高度的对比中可知,内肢柱断面高度的变化对上肩梁和下肩梁近外肢侧部分剪力的影响要大于上述因素,其原因是随着中柱内肢断面高度的增大,中柱内肢对上肩梁的嵌固作用增强。因此,在同等的竖向位移下,中柱内肢断面高度越大,上肩梁所承受的剪力越多。 

图片

图 9 中柱内肢断面高度的影响 

Fig.9 Effects of  section height for inner limbs of middle columns


2.3.5 中柱内肢高度的影响 

由图 10 可知:随着中柱内肢高度的增大,上肩梁占外肢侧部分总剪力份额减小,原因在于断面形状不变,中柱内肢高度的增大引起中柱内肢线刚度的减小,造成中柱内肢与上肩梁的线刚度比减小,从而对上肩梁的约束减弱,产生同中柱内肢断面高度变化类似效果,但不及中柱内肢断面高度变化对上肩梁剪力的影响明显,其变化幅度仅为 2%。

图片

图 10 中柱内肢高度的影响 

Fig.10 Effects of  height for inner limbs of middle columns


03

双层肩梁内力计算方法

3.1 双层肩梁剪力计算

下肩梁近内肢侧的剪力计算与单层肩梁的计算方法相同,下肩梁外肢侧以及上肩梁剪力值通过拟合确定。这是因为尽管中柱内肢中心距、中柱内肢高度、下肩梁跨高比、上肩梁高度对外肢侧上、下两层肩梁影响均不明显,但中柱内肢断面高度的变化对外肢侧上、下两层肩梁剪力影响较大。 

对于外肢侧上、下肩梁剪力可由两种情况确定:一是下肩梁内肢侧剪力不小于外肢侧,且发生在下肩梁内肢侧腹板全断面屈服之前或者下肩梁外肢侧剪力大于内肢侧,且发生在下肩梁外肢侧腹板全断面屈服之前;二是下肩梁外肢侧剪力大于内肢侧,且发生在下肩梁外肢侧腹板全断面屈服之后、内肢侧腹板全断面屈服之前。 

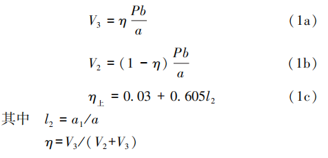
首先介绍第一种情况。为了方便,上肩梁的剪力比例采用小数表示,中柱内肢断面高度采取相对高度 12 ,采用拟合的方法求出统一计算式, 见式 (1),拟合曲线如图 11 所示。

图片

式中:l2 为中柱内肢无量纲断面高度;a1 为中柱内肢断面高度;a 为柱肢中心线;b 为中柱内肢中心线与下柱内肢中心线的距离;η 为上肩梁所承担的剪力与外肢侧总剪力之比。

图片

图 11 上肩梁剪力占比 η 计算式的拟合曲线 

Fig.11 The fitting curve of the shear ratio η for upper  shoulder beams


由于式(1c)的数据取自断面受力的弹性状态,所以式(1)仅适用于下肩梁腹板未全断面屈服之前的情况。下肩梁内、外两侧剪力可用式(2)计算:

图片

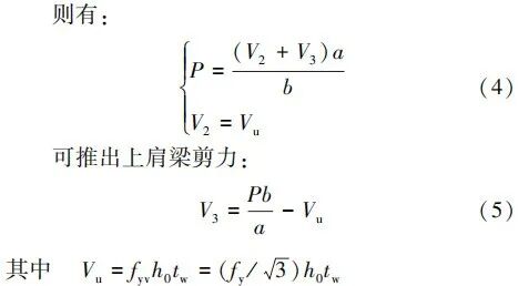
下肩梁外肢侧腹板全断面屈服后构件承载力还可继续使用,所以第二种情况是下肩梁外肢侧腹板全断面屈服后肩梁各主要断面剪力值的计算。在推导算式之前,先做如下假定:1)剪力仅由腹板承担;2)肩梁腹板屈服时剪应力等于剪切屈服强度。则有:

图片

式中:Vu 为腹板屈服时剪力值;fyv 为钢材的剪切屈服强度;fy 为钢材的屈服强度;h0 为腹板计算高度;tw 为腹板厚度。

3.2 中柱内肢柱脚内力的确定

吊车竖向荷载  经中柱内肢与上肩梁的节点后,一部分竖向荷载经由上肩梁传给中柱外肢,一部分继续作用在中柱内肢。下肩梁作为中柱内肢的支座,承担了中柱内肢传来的全部荷载,一部分是经上肩梁折减后的吊车竖向荷载作用下产生的轴力;一部分是构件处于超静定状态下的受力后产生的弯矩,正是由于弯矩 (图 5)的存在,才使得下肩梁内肢侧剪力 V1(图 4)与单层肩梁在竖向荷载  作用下单层肩梁内肢侧所承受竖向荷载相对应的剪力相等。由图 5 下肩梁计算简图可知,已知断面剪力的情况下,当确定轴力与弯矩值中任一个时,另一个便可通过与肩梁断面剪力的关系求出。由于给出了确定上肩梁剪力值的计算式(式(5)),所以中柱内肢内力可按以下方法确定。 

中柱内肢轴力: 

           N = P - V                                (6)

假设中柱内肢柱脚弯矩设为 ,根据单层肩梁计算简图,则有:

图片

式(8)中上肩梁剪力 V3需要分情况选用计算式。

3.3 下肩梁弯矩计算

由图 12、13 可知,在吊车竖向荷载作用下,下肩 梁弯矩最大断面位于中柱内肢内侧翼缘处(图 13 断面 4—4)。如前所述,该断面的剪力可等效成单层肩梁计算,所以 V4-4 = Pa-b)/,其中, 均假定 为100 kN,断面弯矩力臂取自柱肢中心线。由表 8 可知,对于剪力而言,有限元与计算式的解基本一致;有限元解的弯矩值小于计算式的,两者之比约为 0.83,原因是肩梁与钢管的连接方式异于工字钢梁柱的连接,加之肩梁翼缘的作用,节点并非完全的铰接。虽然节点可承担部分弯矩,但承担的弯矩较小,故将节点视为铰接更准确。

图片


图 12 计算简图及弯矩 

Fig.12 The schematic diagrams for structural calculations and moment


图片


图 13 断面 4—4 位置 

Fig.13 Section 4-4


表 8 =100 kN 时下肩梁内力有限元与计算式计算结果比较 

Table 8 Comparison of the results between finite element solutions and formula of the inner force for lower shoulder beam subjected to a load of 110 kN

图片


04

双层肩梁设计方法


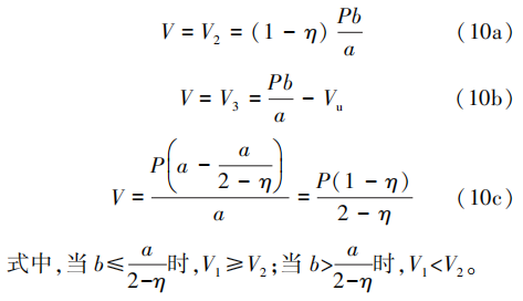
由于中柱内肢在向外肢侧偏移的过程中,下肩梁内肢侧剪力值会减小,而外肢侧(包含上、下肩梁)总剪力值增大,当中柱内肢中心线位于下肩梁的中间位置时,距下柱内、外分肢中心线距离相等, 内、外两侧总剪力相等,即  V 1 =  V 2V 3 ;在此之前,中柱内肢中心线靠近下柱内肢,所以下肩梁内肢侧剪力值大于外肢侧总剪力值,即  V 1 >  V 2V 3;此后,中柱内肢中心线靠近下柱外肢,所以下肩梁内肢侧剪力值大于外肢侧总剪力值,即  V 1 <  V 2V 3 。当中柱内肢 中心线由下肩梁中间向外肢侧偏移  /(2- η)时,会出现  V 1 =  V 2,在此之前, V 1 >  V 2 ,下肩梁内肢侧腹板 总是先于外肢侧全断面屈服;此后, V 1 <  V 2,下肩梁内肢侧剪力值小于外肢侧,外肢侧腹板全断面屈服先于内肢侧,但内肢侧腹板全断面屈服并不能代表弹性承载力,因为在此后,承载力增长并未明显放缓,直至下肩梁内肢侧腹板斜压带进入塑性,荷载-位移曲线的斜率开始明显降低,此时构件的承载力不易确定,所以偏保守地采用  V 1V 时构件对应的承载力。此值介于外肢侧腹板全断面屈服时与内肢侧 腹板全断面屈服时的承载力之间。 

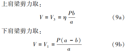
在 V1 ≥ V2 的情况下,下肩梁内肢侧腹板全断面屈服时对应的外荷载值即为双层肩梁的弹性承载力值,则双层肩梁设计可采用《建筑钢结构设计手册》[8]中的抗剪强度计算式,假定剪应力全部由腹板承担,按平均剪应力验算断面强度,即τ/(hwtw)。

图片

在 V1 < V2 的情况下,下肩梁外肢侧腹板全断面屈服前,上肩梁剪力按式(9a) 取,下肩梁剪力按式(9b)取;下肩梁外肢侧腹板全断面屈服后,上肩梁剪力按式(10b)取,下肩梁的剪力按式(10c)取。

图片

一般来讲,肩梁抗弯承载力主要利用对断面高度以及翼缘断面尺寸的限制来满足,肩梁高度取下柱柱肢中心线间距的 40%~60%,翼缘厚度不小于腹板,所以在试验及有限元分析的过程中,未出现由于翼缘形成塑性铰而导致肩梁破坏的情况。当下肩梁存在较大弯矩时,可采用《建筑钢结构设计手册》 所给的抗弯强度计算式,在计算弯矩时,力臂取柱肢中心线与计算断面的距离。 

受挤压应力的影响,下肩梁上翼缘受力要大于下翼缘,设计时应对上翼缘板进行局部加强。受弯矩的影响,中柱内肢内侧翼缘板受力大于外侧,设计时应充分考虑弯矩的影响,弯矩的计算可采用式(8b)。


05

结束语

1)中柱内肢的作用位置直接影响内、外两侧总剪力的比值。中柱内肢断面高度对外肢侧上、下肩梁剪力分配比例的影响较大,其余参数影响较小,给出了双层肩梁剪力计算式,并在此基础上推出了中柱内肢柱脚内力计算式。 

2)肩梁腹板剪应力、挤压应力、等效应力的分布与斜压带分布一致。腹板屈服时,靠近下柱内肢腹板截面的弯曲正应力分布呈 S 形,不符合平截面假定,其余部位基本符合平截面假定,肩梁腹板在屈服前一般不会出现屈曲问题。 

3)钢管混凝土边柱双层肩梁的弹性承载力与下肩梁内肢侧腹板的屈服有关。当下肩梁内肢侧剪力值 V1 大于外肢侧剪力值 V2 时,下肩梁内肢侧腹板先于外肢侧腹板全截面屈服,当 V1 小于 V2 时,下肩梁外肢侧腹板先于内肢侧腹板全截面屈服;当整个构件屈服时,偏保守地采用 V1 等于 V2 时构件对应的承载力。 

4)肩梁截面高度宜取下柱柱肢中心线间距的40%~60%,翼缘厚度不小于肩梁腹板;下肩梁上翼缘板与中柱内肢内侧翼缘应局部加强。为确保受力的可靠性,中柱内肢翼缘板开槽可插入肩梁腹板,但不宜过长,对于三肢以及四肢双腹板肩梁,中柱内肢与肩梁上翼缘板焊接,并设置必要的加劲肋。



内容源于网络,仅作分享使用,如有侵权,请联系删除 

相关资料推荐: 钢管混凝土双肢边柱双层肩梁设计方法研究

某钢管在混凝土中暗埋安装方法CAD平立面设计

高强焊接圆钢管轴心受压整体稳定性能设计方法研究施刚

知识点: 钢管混凝土双肢边柱双层肩梁设计方法研究

全部回复(0 )

只看楼主 我来说两句抢沙发
这个家伙什么也没有留下。。。

结构资料库

返回版块

41.29 万条内容 · 424 人订阅

猜你喜欢

阅读下一篇

《钢结构通用规范》学习笔记

前言

回帖成功

经验值 +10