知识点:电磁感应法
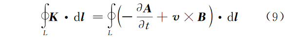
与伏打电池一样,法拉第寻求的“磁生电”也是一种通过能量转换向电池中的载流子提供电磁能量的机制。在电磁学教科书中[2,4],统一地采用电动势(electromotive force,缩写为emf)来描述“电池”的这种能力:在直流电路中,外力(非静电力)克服静电力做功不断地将载流子由低电势能处(电池负极)输运到高电势能处(正极)。若将作用在单位正电荷上的非静电力记作K,则在形成恒定电流的闭合回路L中,非静电力将对沿L移动的电荷做功,所以回路积分

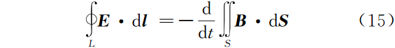
如引言所述,冯·诺依曼总结法拉第和楞次的实验结果,将闭合电路感应电动势与穿过回路的磁通量的时间变化率的关系统一地写作通量法则,即



感应电动势的通量法则实际上是将感生电动势和动生电动势包含在一个普适的表达式中[5]。如果电路是固定、静止的,磁通的变化全部源于磁感应强度的变化,即

如果磁场是稳恒的,则磁通的变化只能源于导线切割磁力线。简单的矢量分析给出[3]

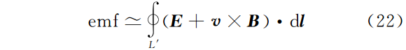
所以,通量法则(2)式也可以改写为

其
表示电路中导线任意线元dl的瞬时速度,各部分可以各不相同。
将物理起源完全不同的感生电动势和动生电动势完美地写进一个表达式,在费曼看来这是物理学中绝无仅有的例外,他还特别讨论了动生电动势不能写进这一通量公式的实例[4]。事实上,感应电动势是通过电路的基尔霍夫方程组和断路电压来测量的[2,3],电动势和通量法则源于电路理论,是电磁场理论在一定条件下的近似结果,例如要求电磁场封闭在器件内,即采用电路理论中的集中元件近似[2]。
由感应电动势的经验规律得出电磁场方程并非简单直接的数学推导,更为关键的步骤是以电磁场的新概念取代“超距作用”的旧观念。明确了电磁场的客观实在性,才会尝试建立描述电磁场运动变化的方程[3]。
如果这样引入磁矢势
,即[2]




依赖于导线的运动速度
,它实际上是运动电荷感受的洛伦兹力;而第二与第三两项之和,即



有时候它也被改写为另一种形式,即


3 低速小尺寸情形下的相对论效应
作为电路近似下的经验公式,感应定律的通量法则并没有特别关注运动参考系问题。第2节虽然初步考虑了电动势计算公式(9)回路中各点的K必须与电动势取同一时刻的t值 ,但也没有强调它们是在哪个参考系的观察值。
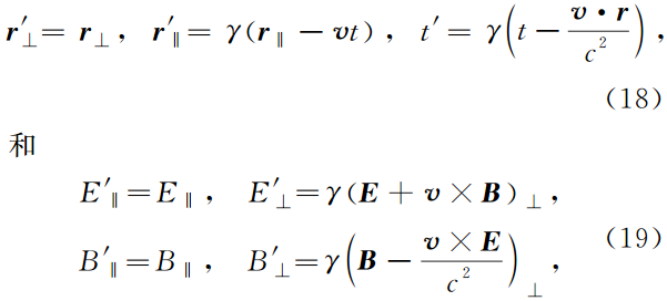
完整的经典电磁理论不仅包含麦克斯韦方程组和洛伦兹力公式,还要包括涉及不同惯性系的狭义相对论。为了准确地描述电池通过外力(非静电力)做功为闭合电路提供电磁能的本领,感应电动势应该更严格地定义为

。根据狭义相对论,时空坐标和电磁场的洛伦兹变换可以写作[7]

其中下标‖和⊥分别标示速度
的平行方向和垂直方向,
是洛伦兹因子 。在电子线路和电子工程关注的“低速小尺寸”极限下,即
时,洛伦兹变换式(18)和(19)退化为伽利略变换,即



如果进一步考虑导线(介质或金属)对实验室参考系中电磁场的影响,需要根据麦克斯韦方程组和狭义相对论做更详细甚至繁琐的计算[9],但麦克斯韦方程组的基本形式无需改变。
通过集中讨论法拉第电磁感应定律的三种不同数学表述,即作为经验规律的通量法则、作为基本自然规律的麦克斯韦方程组的积分和微分形式,我们力图阐述:(1)通量法则的局限性,(2)场方程的实验基础,(3)场方程的正确性和基础地位,为理解和判断各种关于麦克斯韦方程组的修正或拓展提供一个特殊的视角和参考。
相关推荐链接:
0人已收藏
0人已打赏
免费1人已点赞
分享
电气资料库
返回版块70.18 万条内容 · 794 人订阅
阅读下一篇
5种常用的电磁法勘探处理解释方法知识点:示踪电磁法 前 言 本标准按照GB/T1.1-2009《标准化工作导则第1部分:标准的结构和编写》给出的规则起草。 本标准由石油物探专业标准化委员会提出并归口。 本标准起草单位:中国石油集团东方地球物理勘探有限责任公司物化探处。 本标准起草人:刘雪军、何展翔、周印明、王玉青、魏强、江汶波、覃荆城、崔志、孟玉宇。 陆上可控源电磁法勘探资料处理解释技术规程 1、范围
回帖成功
经验值 +10
全部回复(0 )
只看楼主 我来说两句抢沙发