77.1)工程变更
承包人在收到变更指示的14d内,向监理机构提出变更估价申请,监理人在收到申请后7d内审查完毕并报发包人。预期14d未提变更估价申请的视为该变更不涉及价款调整或承包人放弃调整权利;;发包人在承包人提交变更估价申请后14d审核完毕,预期未完成或未提出任何异议的,视为认可。
77.2)进度款支付
①监理人应在收到进度付款申请后7d内完成审查并报发包人,发包人应在收到后7d完成审批并签发进度款申请证书。逾期的,视为已签发付款证书。
②发包人应在付款证书签发后14d内支付进度款。超过约定支付时间的,承包人向发包人发出催款通知,收到通知后可以与承包人协商签订延期付款协议。并从15d起计算贷款利息。
78.竣工结算
①承包人应在工程验收合格后的28d向发包人提交竣工结算申请单。其内容包括:
竣工结算合同价
发包人已支付承包人的款项
应扣留的质量保证金
②监理人应在收到申请单后14d内完成审查并报送发包人。发包人在收到申请单后14d内完成审核。并签发竣工付款证书。发包人在收到竣工结算申请的28d内未完成审核且未提出异议的,视为确认,第29d视为签发付款证书。
③发包人在签发付款证书的14d内,完成竣工付款。逾期的,按同期贷款利率支付利息;逾期56d的,按同期贷款利率双倍支付利息。
78.预付款
78.1)预付款
①预付款比例不低于合同金额(扣除暂列金额)的10%,不高于合同金额(扣除暂列金额)的30%。
②发包人应在签订合同后的一个月或开工日期前7d预付工程款;发包人没有按时支付预付款的,可催发包人支付;在付款期满后的7d仍未支付的,可在第8d起暂停施工,发包人应承担费用和工期,并支付合理的额利润。
③已支付的预付款以抵扣的方式从进度款中陆续扣回。
④起扣点公式
起扣点金额=合同总价-预付款/材料设备比例
79.施工成本的构成及计算
79.1)建筑安装工程项目成本由直接成本和间接成本构成。
直接成本包括:人工费、材料费、机械费、措施费
间接成本:企业管理费 、规费
79.2)成本计划-成本控制-成本核算、成本分析-成本考核
79.3)成本分析的方法
基本法:比较法、因素分析法、差额分析法、比率法
综合法:分部分项成本分析、月、年竣工成本分析
79.4)因素分析法最常用
排序原则:先工程量、后价值量;先绝对数,后相对数。
80.材料管理
80.1)材料进场的验收与保管
①材料进入现场时,应进场材料凭证、数量、外观的验收;其中凭证验收包括:发货明细、材质证明或合格证,进口材料应具有国家商检局检验合格证书,验收完成后进行实物挂牌标识,建立“收料台账记录”
②材料的计算应平整夯实,并有排水,防扬尘措施。
③各类材料应分品种、规格码放整齐,并标识齐全清晰,料具码放高度不得超过1.5m。
④易燃、易爆、剧毒等危险品应设立专库保管,并有明显危险品标志。
⑤库外材料存放应下垫上盖,有防雨防潮要求的材料应入库保管。
81.劳动力管理
81.1)特种作业人员
①范围:建筑安装工程中的焊工、起重工、电工、运输工、架子工、信号工、司索工、安装拆卸工、爆破工、油漆工、司炉工。
②资质管理:参加相关知识培训,考核合格取得操作证,方可上岗操作;必须持证上岗、每三年进行复审;离岗6个月以上的重新上岗前必须重新进行考核,合格后才能上岗工作。
81.2)管理人员
①项目部负责人、项目经理、项目总工。项目经理必须具有建造师资格。
②项目部管理人员:施工员、材料员、安全员、资料员、质量员、持证上岗。
③安全领导小组:按总承包单位、专业承包单位、劳务分包单位分成设置,以项目负责人为组长,成员有项目负责人、技术负责人、专职安全员组成。
81.3)劳务用工
①劳务企业必须取得相应的资质,并在资质范围内从业。
②劳务企业必须使用自有劳务工人,不得再行分包或转包劳务作业。
③劳务企业与工人依法签订劳务合同,应明确:合同期限、工作内容、工作条件、工资标准、支付方式、支付时间、双方责任。
④劳务企业必须建立培训制度,持证上岗并登记备案,严禁无证上岗。
⑤总包企业项目部应以劳务班组为单位,建立劳务用工档案,按月归集劳动合同、考勤表、工作量完成登记表、工资发放表、工资结清证明材料等,以单项工程为单位,报工程所在地建设行政主管部门报告。
⑥总包企业支付劳务分包款时,应现场监督劳务企业将工资直接发给工人本人,严禁发给“包工头”或由“包工头”替多名工人代领,因总承包单位转包、挂靠、违法分包等出现导致拖欠农民工工资的,由总承包企业承担全部费用,并先行支付工资。
⑦劳务单位在进场施工前,应按实名制要求,将施工人员花名册、身份证、劳务合同文本、岗位技能证书复印件报总包人备案。
81.4)劳动力配置
①劳动力需求计划编制依据:
工程量、劳动力投入量、持续时间、班次、劳动效率、每班工作时间。
②劳动力配置计划的编制方法
按设备计算定员
按劳动力定额定员
按岗位计算定员
按比例计算定员
按劳动效率计算定员
按组织结构、职责范围、业务分工计算管理人员数量。
82.建筑工程合同知识
82.1)基础知识
①示范文本由《合同协议书》、《通用条款》、《专用条款》三部分组成,并附有若干了附件。
②施工合同文件的组成
中标通知书
投标函及其附录
专用合同条款及其附录
通用合同条款
技术标准和要求
图纸
已标价工程量清单或预算书
其他合同文件
双方在履行合同中达成的洽商、等视为协议书的一部分,具有最高法律权利。
82.2)合同类型
①总价合同
主要用于图纸齐备,技术简单、工期较短,且能够准确计算工程量的小型项目。又分为固定总价和可调总价合同。
②单价合同
主要适用于技术复杂,工期较长,施工图纸不完备,不能准确计算工程量的大型项目。又分为固定单价和可调单价合同。
③ 成本加酬金合同
通常主要用于紧急工程施工,如灾后重建修复工程或采用新技术、新工艺施工,此类合同中,业主承担全部价格风险,对业主非常不利。
83.建筑工程索赔管理
83.1)程序索赔
①索赔事件发生后的28d内,承包商向工程师提出索赔通知书。
②索赔通知发出后的28d内,向工程师提交正式的索赔报告。
③工程师处理索赔。
④向业主提交索赔处理意见。
⑤双方就工程师提交的索赔处理意见进行谈判,达成一致的,业主向承包商支付索赔款,索赔结束;达不成一致的,按合同约定的解决争议的方式解决,提请诉讼或仲裁最终解决。
83.2)不可抗力下索赔
罕见的、特大的、几十年不遇的台风、暴雨、洪水、地震等自然灾害。
①工程自身的损失,因工程导致第三人伤亡和财产损失以及运至场地用于施工的材料和待安装设备的损坏,由发包人承担。
②发承包双方人员的伤亡损失,分别由各自承担。
③承包人机械设备损坏及停工损失、由承包人承担责任。
④停工期间,承包人的工人窝工费由双方合理分担,应发包人要求留在施工现场的必要管理人员的费用由发包人承担。
⑤恢复施工所需的清理、修复费用由发包人承担。
⑥造成工期损失的工期相应顺延。
83.3)违法分包的情形
①未经业主同意的分包。
②将工程分包给没有资质的分包商。
③主体结构分包的。
④分包后再次分包的,劳务分包除外。
84.施工现场平面布置
84.1)施工总平面图的设计原则
①尽量减少占用场地
②合理组织运输,减少二次搬运。
③生产生活办公区域宜分离设置。
④符合节能、环保、安全、消防的要求。
⑤遵守主管部门与建设单位的相关规定。
84.2)具体布置要求
垂直运输机械;应尽量覆盖拟建建筑物,避免吊运“死角”,尽量覆盖大宗的、重型的、频繁起吊的构件、材料。
道路:硬化、循坏、排水、宽度要求,单行道不小于4m,双行道不小于6m,消防车道不小于4m,载重车转弯半径不宜小于15m。
材料堆场:尽量靠近搅拌厂附近(或使用地),靠近道路两侧。
大宗的、重型的、起吊频繁的材料;一定布置在起吊半径内,道路两侧。
易燃材料:远离火源。
84.3)施工临时用电
临时用电设备在5台及以上或设备总容量在50KW及以上时,应编制用电组织设计;其应由电气技术人员编制,相关部门审核,企业技术负责人批准,经监理签认后实施;临时用电工程必须经编制、审核、批准部门和使用单位共同验收、合格后方可使用。
84.4)三级配电
总配电箱、分配电箱、开关箱的三级配电系统;分配电箱和开关箱的距离不超过30m;开关箱与用电设备水平距离不宜超过3m。
84.5)二级漏电保护
总配电箱、开关箱必须配置漏电保护器。末级保护的漏电保护器额定电流≤30mA,漏电动作时间≤0.1s。
84.6)安全电压规定
①隧道、人防工程、高温、有导电灰尘、比较潮湿或灯具离地面低于2.5m等场所的照明,电源电压不应大于36V。
②潮湿、和易触及带电体场所的照明,电源电压不应大于24V。
③特别潮湿、导电良好的地面、锅炉或金属容器内的照明,电源电压不应大于12V。
84.7)配电线路布置
施工现场架空线必须采用绝缘导线;架空线路必须采用短路保护,熔断电流小于等于负荷允许载流量的1.5倍。五芯电缆必须包括淡蓝、绿黄两种颜色绝缘芯线,淡蓝色芯线必须用N线(零线);绿黄双色芯线必须用作PE线(保护导体、地线)、严禁混用。
84.8)配电箱的设置
①每台用电设备必须有各自专用的开关箱,严禁用同一个开关箱直接控制两台及两台以上用电设备。
②固定式配电箱、开关箱的中心点与地面的垂直距离应为1.4m~1.6m。移动式配电箱、开关箱应装设在稳定的支架上,其中心点与地面的垂直距离宜为0.8~1.6m。
③N线端子板与金属电气安装板绝缘,PE线端子板与金属电器安装板做电气连接。
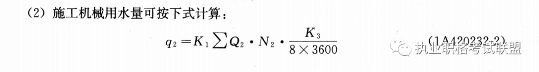
85.施工临时用水
85.1)临时用水量包括:现场施工用水量、施工机械用水量、施工现场生活用水量、生活区生活用水量、消防用水量。同时应考虑使用过程中水量的损失。
85.2)供水系统包括
取水位置、取水设施、净水设施、贮水装置、输水管、配水管管网和末端配置。供水系统应经过科学计算和设计。
85.3)消防栓间距≤120m,距拟建建筑物不小于5m且不大于25m,距路边不大于2m。
85.4)用水量的计算
消防用水量:最小取10L/s,
当(q1+q2+q3+q4)≤q5时,则Q=q5+(q1+q2+q3+q4)/2
当(q1+q2+q3+q4)>q5时,则Q=q1+q2+q3+q4
当工地面积小于5h㎡,而且(q1+q2+q3+q4)<q5时,则Q=q5,最后计算出总用水量(以上各项想加),还有增加10%的漏水损失。
85.5)用水量的计算





86.施工现场防火
86.1)一般规定
建立义务消防队,人数不小于施工总人数的10%。
室外消防栓:间距不应大于120m,消防箱内消防水管不小于25m。
86.2)作业瓶安全距离要求
乙炔瓶和氧气瓶存放间距≥2m,使用距离≥5m;氧气瓶、乙炔瓶工作间距≥5m,与明火距离≥10m;焊割作业点与氧气瓶、等距离≥10m,与易燃易爆品≥30m,危险品距离≥10m,危险品与易燃易爆品距离≥30m。
86.3)灭火器设置要求
灭火器的铭牌必须朝外,手提式灭火器设置在挂钩、托架上或消防箱内,其顶部离地面高度应小于1.5m,底部离地面高度不宜小于0.15m。
对设置于消防箱内的手提式灭火器,可直接放在消防箱的底面上,但消防箱离地面的高度不宜小于0.15m。
86.4)编制施工组织设计时,必须包括消防、防火安全措施内容并报公安监督机关审批备案。
86.5)现场应明确划分固定动火区和禁火区,施工现场动火必须严格履行动火审批手续。
86.6)现场消防以“预防为主、防消结合、综合治理为方针”
86.7)生活区的设置必须符合防火要求,宿舍内严禁明火取暖。
86.8)电焊工从事焊接作业时应持操作证或动火证。必须配备看火人及灭火器材。周围的易燃材料应采取隔离防护措施。动火证当日有效,地点变换,重新办理动火证。
86.9)高度超过24m,安装临时消防竖管管径不得小75mm,每次必须设置消火栓口,严禁消防竖管作为施工用水管线。
②一般临时设施区,每100㎡配置两个10L的灭火器,超过1200㎡应配备消防专用的消防设施;临时木工加工车间、油漆车间每25㎡设置一个灭火器;油库危险品堆场内,每组灭火器至少4个,每组距离不应大于30m。
87.施工现场动火等级的划分
一级动火:
禁火区域、各种受压设备、
危险性较大的登高焊、割作业;
比较密闭的室内、容器内、地下室等场所。
现场堆有大量可燃和易燃物质的场所。
二级动火:
在具有一定危险因素的非禁火区进行临时焊、割等用火作业
小型油箱等容器;登高焊、割等用火作业。
87.1)施工现场动火审批程序
一级动火:由项目负责人组织编制防火安全技术方案,填写动火申请表,报企业安全管理部门审核批准后,方可动火。
二级动火:由项目责任工程师组织拟订防火安全技术措施,填写动火申请表,报项目安全管理部门和项目负责人审查批准后方可动火。
87.2)重点特殊部位的防火要求
①易燃材料仓库应设在水源充足,消防车能到达的地方,并应设在下风方向。
②储量大的易燃料仓库,应设两个以上大门;
③有明火的生产和生活用房与易燃材料之间,至少应保持30m的防火距离。
④对易引起火灾的仓库,应将库房内、外按每500㎡区域设置防火墙;
⑤可燃材料库房单个房间面积不应超过30㎡,易燃易爆危险品库房单个房间建筑面积不应超过20㎡,房间内任一点至最近疏散门不应大于10m,房间净宽度不应小于0.8m。
87.3)油料库与调料间的防火要求
①油料库与调料间应分开设置。
②调料间应通风良好,并采用防爆电器设备,室内禁止一切火源,调料间不能兼做更衣室与休息室。
知识点:变更、进度款、结算款的程序
0人已收藏
0人已打赏
免费2人已点赞
分享
建筑资料库
返回版块13.61 万条内容 · 213 人订阅
阅读下一篇
楼板裂缝产生的原因及预控措施,记得收藏!近期,重庆市某交付项目,临近地铁站和商场,是这两年出现在重庆主城核心区的“网红”楼盘,曾经买房“要靠抢”,如今收房却“心惶惶”。近300户楼板出现裂缝,裂缝形态多为贯穿性裂缝,浇过水的裂缝位置,裂缝部位吸水力十足,从底部观察明显可见多条水渍及水珠滴下,投诉事件引起强大的社会反映,导致该楼盘迟迟未按预定日期交付。
回帖成功
经验值 +10
全部回复(2 )
只看楼主 我来说两句抢地板谢谢楼主分享,辛苦了。感谢
回复 举报
什么资料,太杂,流水账一样!
回复 举报