知识点:倍频程带宽
声音的频率描述的是粒子往复运动一个周期的快慢,即它是指每秒钟粒子可周期往复运动的次数。广义的讲,声学研究的范围是从10-4赫兹开始,也就是每秒钟振动10-4次,反过来讲,就是一个周期10000秒,非常非常慢。声学不研究直流,不研究平均流,这一块是力学研究的主要内容,静力学或者动力学研究的是平稳的,变化很慢的。10-4~20赫兹,这个范畴我们叫次声,这是人的耳朵听不到的声,就是变化很慢的声音。实际上人的耳朵对声波的响应范围很窄,是从20赫到20千赫,在这个范围以外,人的耳朵都听不见了,所以在这个范围以内的声波称为可听声,2万赫以上的声叫超声。
次声频段的声波在大气物理、地球物理中都有很多的用处,地震和台风都会产生次声,在几千公里以外,使用很灵敏的声学传感器就能接收到这种信号,然后可以处理,可以定位台风在什么地方,强度的大小这些都可以知道。到了2万赫以上,人的耳朵也听不见了,在超声频段声波可以干什么呢?大家最熟悉的可能是每年我们做体检,都要做B超,就是要用超声波来检测我们人体内有没有病变,有没有什么缺陷;另外,超声还可以检查材料,检查工业上的一些东西;有一种大家很熟悉的动物把超声来作为它的眼睛用,那就是蝙蝠,它发出超声波,然后来探测它前面有没有障碍,随时拐弯,所以蝙蝠用的就是空气里面的声呐。

图1 可听声音的频率范围
而在20~20kHz频率范围内的声音就属于我们熟悉的可听声了。我们之所以仍可以在不是特别吵的环境中进行正常的交流,就是由于声音的频率不同。因此在实际降噪项目中,可以通过对声波频率的分析,得到不同声源对总声压级的贡献,从而找到最主要声源,进而开展噪声控制。
声波的频率分析,首先是将时域声波信号经过傅立叶变换,得到的图2所示的频谱。从图2可知,由声波的频谱图可以精确的知道声音在哪些频率上存在主要峰值,并由该峰值分析得到其主要声源,从而为后续降噪方案的制定得到合理的依据。

图2 某声波的频谱图
然而由于可听声的频率范围20~20kHz,宽达10个倍频程。一方面频率在人耳听感的响应是音调,它也是与声波强度一样,其感受的变化与频率的指数变化相关。20~20kHz约为10个倍频程,其频率分布范围非常广;另一方面从图1分析的频带到4000Hz时,其谱线就已经过密,同时该频段大部分也不需要展现,也无法展现细节。因此对噪声作频谱分析时,一般并不需要每一个频率上声能量的详细分布。通常为方便起见,常在连续频率范围内把它划分为若干个相连的小段,每一小段叫做频带或频程,每个小频带内的声能量被认为是均匀的,然后研究不同频带上的分布情况。根据不同的要求,声学量的分析频率带宽的选择也不一样。大致而言,当分析精度要求高时,分析频带应选用窄频带宽;如果是简单测量,则频率分析带宽可以放宽。实际测量中最为常用的频率分析带宽为窄频带宽、倍频程和1/3倍频程带宽。其中,窄频带宽是恒定频率分析带宽,它的大小由频谱分析仪类型和分析频率上限值确定;倍频程带宽和1/3倍频程带宽为百分比带宽。
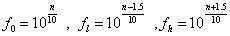
倍频程的中心频率f0 与带宽上、下限截止频率fh 和fl 的关系为:

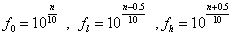
1/3倍频程的中心频率f0 与带宽上、下限截止频率fh 和fl 的关系为:

式中,n 称为倍频程频带数。
在可听声范围内,倍频程是以n=12~43的数值给出,且为3的整数倍;1/3倍频程以n=12~43的数值给出。表1和表2分别是倍频程和1/3倍频程带宽中,各中心频率值与其上、下限截止频率值的对应关系;图3和图4则是某噪声的倍频程和1/3倍频程特性。需要特别注意的是,倍频程或1/3倍频程均是指该频段范围内的声音的总体特性,例如1000Hz的倍频程包含了710Hz~1420Hz频段内的信息,而1000Hz的1/3倍频程仅包含了891Hz~1122Hz频段内的信息。因此,如果是1000Hz的1/3倍频程声压级为891Hz~1122Hz频段内声压级总和;而1000Hz的倍频程声压,它等于710Hz~1420Hz频段内声压级总和;也即是等于800Hz、1000Hz和1250Hz三个1/3倍频程内声压级总和。
表1 倍频程频程带宽中各中心频率值与其上、下限截止频率和频率数


图3 某噪声倍频程
表2 1/3倍频程频程带宽中各中心频率值与其上、下限截止频率和频率数


图4 某噪声1/3倍频程
综合以上分析可以发现,倍频程或1/3倍频程可以看到噪声在各个频段的分布,但无法精确的得到噪声的峰值特性,从而不能精确的判断出声源;而线性频谱虽然可以较为精确的获得噪声的峰值特性,从而得到主要声源的影响,但其谱线数过于密集,较难得到整个频谱的噪声特性。因此在实际降噪项目中,应该是首先将采集到的声信号进行倍频程分析,得到需要降噪的频段,而后将所需的降噪频段进行线性谱分析,得到该频段内的主要声源贡献。
相关推荐链接:
0人已收藏
0人已打赏
免费1人已点赞
分享
电气工程原创版块
返回版块2.2 万条内容 · 596 人订阅
阅读下一篇
消声器性能的测量-传声损失测量知识点:消声器 传声损失的概念 传声损失(TL)的定义我们在“消声降噪技术-1 消声的基本概念和性能评价”中已经作了介绍。为了便于本文的阅读,在此以消声器测量系统为参照,对其定义作一个简单回顾。 在如图1的管路系统中,传声损失Dt定义为消声器进口端入射声功率级和出口端透射声功率级之差,用公式可表示为: 图1 传声损失及测量方法 传声损失反映了消声器本身的性能,与管路系统无关,这一点至少在平面波截止频率以下完全满足。在上图的测量系统中,如果声源端和负载末端均为消声端,则可以获得与插入损失相等的测量结果。
回帖成功
经验值 +10
全部回复(0 )
只看楼主 我来说两句抢沙发