知识点:被动隔振
隔振问题主要分为两类:主动隔振和被动隔振。下面分别就两类问题的隔振原理进行讨论。
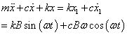
被动隔振主要目的是减小地基位移激振对仪器的影响,即较小仪器端位移的幅值,如下图所示。火箭运输车、高级轿车、飞行器支架上的仪器等,需要关注受支撑位移激励作用的振动问题,将位移激振进行隔离。被动隔振系数定义是:为隔振后传至仪器的位移幅值与隔振前传至仪器的位移幅之比。

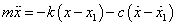
假设基础位移为x1(t) =Bsin(ωt) ,根据牛顿第二定律:


特解形式仍可假设为

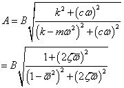
计算可得:

其中:

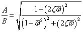
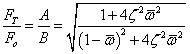
隔振效果主要关注振幅被放大情况,稳态位移响应的振幅A除以位移激励幅度B为隔振系数,如下所示:

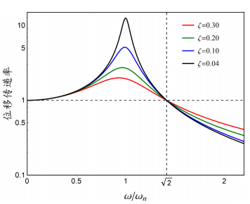
画出不同阻尼比情况下,振幅比随频率比变化的曲线:

当频率比等于根号2时,振幅比等于1,且不依赖于阻尼比。
当频率比大于根号2时,振幅比小于1,有隔振效果,且阻尼越小越好,高频比低频隔振效果好。
将作为振源的机器设备与地基进行隔离,以减少仪器对环境的影响称为主动隔振,如下图所示。隔振目标将振源与周围环境隔开,减小力的幅值,不让激振力传递到基础上。主动隔振系数为隔振后传至地基的力幅值与隔振前传至地基的力幅之比。

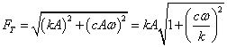
原始激励力为Q,传递到基础上的两个力:
弹性恢复力:F=kx=kAsin(ωt-α)
阻尼力:R=cv=cAωcos(ωt-α)
相位差为90度,合力幅值应为:

其中:

传递到基础上的合力与振源力幅比为隔振系数:

通过上面分析可以发现,虽然主动隔振和被动隔振的原理有所不同,但最后得到的隔振系数的表达式是相同的。因此,隔振设计准则:只有频率比大于根号2时,才能起到隔振的效果。
相关推荐链接:
0人已收藏
0人已打赏
免费2人已点赞
分享
供配电技术
返回版块97.93 万条内容 · 2214 人订阅
阅读下一篇
主动隔振技术的发展方向知识点:主动隔振系统 随着人们对生产和生活中震动控制要求的不断提高以及现代智能技术、自动控制技术的出现,隔振技术的发展也将飞速向智能化,多元化发展。而主动隔振技术在不断发展,广泛应用于减震隔震行业,为中国市场带来更大的活力。 为了有效抑制震动和噪声的危害,振动控制技术被广泛研究和应用。所谓的振动控制就是在设计或安装中采取措施,以控制设备、系统所承受的震动,把设备及系统的震动强度控制在允许的范围内。如果把生产激震力的物体称为震源体,把要求降低震动强度的物体称为减震体。主动隔振技术在隔振行业中属于最先进的技术。
回帖成功
经验值 +10
全部回复(0 )
只看楼主 我来说两句抢沙发