伙伴们对“剪重比”应该再熟悉不过了,特别是设计6度区高层结构的伙伴,经常因为地震剪力调整系数超过某值而被审图老师要求重新调整结构布置(提高结构刚度以满足剪重比限值)而大改图纸(部分地区明文规定地震剪力调整系数不应超过某值),设计7度区高层结构的伙伴就好多了,基本能通过地震剪力适当调整至满足规范要求。当然以上不能一概而论,与场地类别、基本风压(结构刚度是否风控)、建筑功能(重力荷载代表值差异)等有一定的关系。
本文分为四部分,第一部分是关于剪重比的规范条文及条文说明,第二部分是阿扯对规范条文及条文说明的深层次见解,第三部分是帝都派、沪派及粤派专家相关观点,第四部分是总结。
1
规范条文及条文说明
《抗规》第5.2.5条:
抗震验算时,结构任一楼层的水平地震剪力应符合下式要求:

式中:
——第i层对应于水平地震作用标准值的楼层剪力;
λ——剪力系数,不应小于表5.2.5规定的楼层最小地震剪力系数值,对竖向不规则结构的薄弱层,尚应乘以1.15的增大系数;
——第j层的重力荷载代表值。
表5.2.5 楼层最小地震剪力系数值 |
||||
类别 |
6度 |
7度 |
8度 |
9度 |
扭转效应明显或基本周期小于3.5s的周期 |
0.008 |
0.016(0.024) |
0.032(0.048) |
0.064 |
基本周期大于5.0s的结构 |
0.006 |
0.012(0.018) |
0.024(0.036) |
0.048 |
注:
1、基本周期介于3.5s和5s之间的结构,按插入法取值;
2、括号内数值分别用于设计基本地震加速度为0.15g和0.30g的地区。
《全国超限审查细则》第十三条(二):
结构总地震剪力以及各层的地震剪力与其以上各层总重力荷载代表值的比值,应符合抗震规范的要求,Ⅲ、Ⅳ类场地时尚宜适当增加。当结构底部计算的总地震剪力偏小需调整时,其以上各层的剪力、位移也均应适当调整。
基本周期大于6s的结构,计算的底部剪力系数比规定值低20%以内,基本周期3.5~5s的结构比规定值低15%以内,即可采用规范关于剪力系数最小值的规定进行设计。基本周期在5~6s的结构可以插值采用。(地震剪力调整系数限值)
6度(0.05g)设防且基本周期大于5s的结构,当计算的底部剪力系数比规定值低但按底部剪力系数0.8%换算的层间位移满足规范要求时,即可采用规范关于剪力系数最小值的规定进行抗震承载力验算。
《抗规》第5.2.5条文说明:
由于地震影响系数在长周期段下降较快,对于基本周期大于3.5s的结构,由此计算所得的水平地震作用下的结构效应可能太小。而对于长周期结构,地震动态作用中的地面运动速度和位移可能对结构的破坏具有更大影响,但是规范所采用的振型分解反应谱法尚无法对此作出估计。出于结构安全,提出了对结构总水平地震剪力及各楼层水平地震剪力最小值的要求,规定了不同烈度下的剪力系数,当不满足时,需改变结构布置或调整结构总剪力和各楼层的水平地震剪力使之满足要求。例如,当结构底部的总地震剪力略小于本条规定而中、上部楼层均满足最小值时,可采用下列方法调整:若结构基本周期位于设计反应谱的加速度控制段时,则各楼层均需乘以同样大小的增大系数;若结构基本周期位于反应谱的位移控制段时,则各楼层i均需按底部的剪力系数的差值
增加该层的地震剪力——
;若结构基本周期位于反应谱的速度控制段时,则增加值应大于
,顶部增加值可取动位移作用和加速度作用二者的平均值,中间各层的增加值可近似按线性分布。
需要注意:①当底部总剪力相差较多时,结构的选型和总体布置需重新调整,不能仅采用乘以增大系数方法处理。②只要底部总剪力不满足要求,则结构各楼层的剪力均需要调整,不能仅调整不满足的楼层。③满足最小地震剪力是结构后续抗震计算的前提,只有调整到符合最小剪力要求才能进行相应的地震倾覆力矩、构件内力、位移等等的计算分析;即意味着,当各层的地震剪力需要调整时,原先计算的倾覆力矩、内力和位移均需要相应调整。④采用时程分析法时,其计算的总剪力也需符合最小地震剪力的要求。⑤本条规定不考虑阻尼比的不同,是最低要求,各类结构,包括钢结构、隔震和消能减震结构均需一律遵守。
扭转效应明显与否一般可由考虑耦联的振型分解反应谱法分析结果判断,例如前三个振型中,二个水平方向的振型参与系数为同一量级,即存在明显的扭转效应。对于扭转效应明显或基本周期小于3.5s的结构,剪力系数取0.2
,保证足够的抗震安全度。对于存在竖向不规则的结构,突变部位的薄弱楼层,尚应按本规范3.4.4条的规定,再乘以不小于1.15的系数。
2
阿扯对规范条文及条文说明的深层次见解
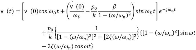
我们可以通过《结构动力学》的“粘滞阻尼单自由度谐振荷载反应公式”理解《抗规》第5.2.5条文说明中的“对于长周期结构,地震动态作用中的地面运动速度和位移可能对结构的破坏具有更大影响,但是规范所采用的振型分解反应谱法尚无法对此作出估计”。
粘滞阻尼单自由度谐振荷载反应公式如下:

关于初始位移及初始速度(如地震动态作用中的地面运动速度和位移)的瞬态反应:

关于外力(如地震动态作用中的地面运动加速度)的稳态反应:

对于长周期结构,关于地震动态作用中的地面运动速度和位移的瞬态反应具有更大影响,而规范所采用的振型分解反应谱法(加速度反应谱)仅考虑关于地震动态作用中的地面运动加速度的稳态反应。出于结构安全,提出了对结构总水平地震剪力及各楼层水平地震剪力最小值的要求,规定了不同烈度下的剪力系数,当不满足时,需调整结构总剪力和各楼层的水平地震剪力使之满足要求。
规范对剪重比的控制出于两个目的,其一为规范所采用的振型分解反应谱法(加速度反应谱)对于长周期结构反应计算缺陷的补充(可通过上述进行理解),其二为缺乏可靠的对长周期结构较为敏感的长周期地震动记录(以往的模拟强震仪获得的地震记录在数字化过程中存在较大的误差,最长的可靠周期约为3s),使得设计反应谱在长周期段的取值存在较大的不确定性,故规范规定即使采用时程分析法时(可考虑地震动态作用中的地面运动速度和位移的瞬态反应),其计算的总剪力仍需符合最小地震剪力的要求。
3
帝都派、沪派及粤派专家相关观点
以下内容摘自论文《超高层建筑考虑长周期地震影响的另一种控制方法》肖从真,徐培福,杜义欣,李建辉。(帝都派)
超高层结构的刚度控制是结构设计的重要部分,目前我国超高层建筑结构设计过程中,对结构的刚度控制主要通过以下三个方面:①结构在侧向力(风和地震作用)下的层间位移限值;②结构的整体稳定;③最小底部剪力。从超高层建筑结构的设计实践看,前两条限值的意义比较明显,执行中的问题也不大,但第③条限制在执行中存在一定争议,主要的争议有两点:①通过提高结构刚度让结构产生更大的地震作用,以达到最小剪力限值,似乎与结构设计的理念不一致,而且由于长周期结构刚度对基底剪力的影响不敏感,以基底剪力为目标调整结构刚度的方法不够直接,而且当结构第一周期超过 8s 后,很难满足规范对最小剪重比的要求。另外,结构能否承受实际的地震作用,与结构的承载能力相关,可通过提高结构的承载能力来抵御地震作用,不必因为结构的地震反应过小而提高结构的刚度;②现行规范的最小剪力与场地无关,造成抗震不利场地上的结构比较容易满足最小剪力限值,而且实际采用的基底剪力与有利场地上的结构相同。
当结构计算得到的基底剪力不满足最小剪力限值时,按下面步骤进行调整:①通过验算结构在特定长周期地震动作用下的位移是否小于规范规定的限值来判断结构的刚度是否满足要求,旨在防止超高层建筑遭受长周期成分显著的地震时产生过大的位移而破坏;②按①中所指的特定长周期地震动作用计算的结构内力进行构件承载力设计,对于少数不能满足规范最小剪力要求的楼层,将该楼层地震剪力放大到满足规范要求,进行构件承载力设计,旨在提高结构抗倾覆和抗剪能力,确保结构能够承受一定程度的地震作用。
针对超高层建筑结构验算在特定长周期地震动作用下的位移,可以有两种方案:给出验算用的通用地震波或特定的设计加速度反应谱。
设计加速度反应谱调整的原则:①由于低烈度区受长周期地震动影响大,而高烈度区影响较小,因此,在低烈度区谱值抬高得多,而高烈度区抬高得少,而且高烈度区抬高后的谱值仍然高于低烈度区的谱值,意味着在高烈度区遭受远震作用时,用于验算的反应谱仍能涵盖低峰值长周期成分丰富的地震动作用;②对不同烈度区设计加速度反应谱拉平位置点的选择,要求调整后的反应谱产生的地震作用应与规范最小剪力(对于长周期结构,最小剪力系数取0.15
)要求的地震作用接近,同时,产生的位移、倾覆力矩又是最不利的,通过进一步的位移、承载力验算来保证结构更加安全。因此,建议6度区加速度反应谱在3.5s拉平(相当于结构阻尼比为0.05,二类场地0.2
拉平);7度区加速度反应谱在4s拉平(相当于结构阻尼比为0.05,二类场地0.19
拉平);8度区加速度反应谱在5s拉平(相当于结构阻尼比为0.05,二类场地0.17
拉平)。
以下内容摘自论文《关于建筑抗震设计最小地震剪力系数的讨论》王亚勇。(帝都派)
对于结构基本周期T>5.0s的超限高层建筑和大跨空间结构,考虑到运用振型分解CQC组合得到的基底剪力比简化的底部剪力法得到的基底剪力小,可再乘于折减系数0.85,得
,但不宜小于1%。
以下内容摘自论文《最小地震剪力系数对超高层建筑结构抗震性能的影响》卢啸,甄伟,陆新征,叶列平。(帝都派)
本文首先比较中美两国主要抗震规范及规程中对最小地震剪力系数(或最小基底剪力)的相关规定,然后以我国的某超高层建筑为例,以两种不同的设计地震剪力取值方法(模型A为提高结构刚度,模型B为提高楼层设计剪力),按照设防烈度8度设计2个不同的结构方案。通过弹塑性时程分析和倒塌分析,分析最小地震剪力系数对该超高层建筑结构抗震性能及抗倒塌能力的影响。
对中美两国典型抗震规范和规程中有关最小地震剪力系数(最小基底剪力)的规定进行了比较。美国规范或标准中关于最小基底剪力的规定,是通过调整结构强度来保证抗震安全性。且在最新的高层建筑设计指南中,已经开始逐步取消该条强制规定,而是通过结构的性能化目标来保证结构的安全。
通过对两个模型罕遇地震下弹塑性分析结果表明:模型 A 和模型 B 的抗罕遇地震性能基本相当,都具有较好的抗震性能;且在考虑长周期地震动影响后,模型B的抗罕遇地震性能甚至在某些情况下会表现出优于模型A的相应性能。
通过对两个模型的倒塌分析结果表明:由于模型A的截面尺寸和刚度大,在提高结构抗震能力的同时,也增大了其地震作用需求,使得结构的能力需求比并没有明显提高;而模型B在直接提高结构地震力进行设计后,在基本不增加地震作用需求的同时提高了结构抗震能力,使其能力需求比明显提高,比模型A具有更高的抗倒塌能力。
以下内容摘自论文《超高层结构地震剪力系数限值研究》汪大绥,周建龙,姜文伟,王建,江晓峰。(沪派)
对规范地震剪力系数限值的建议如下:①地震剪力系数限值与特征周期相关联,目前抗震规范中地震剪力系数限值仅与抗震设防烈度有关,与场地土类型无关,从而造成位于较好场地上结构反而承担比较差场地上结构更多地震力的问题,建议地震剪力系数限值根据场地土类别适当分类,可以反映场地土对结构设计的影响。②地震剪力系数限值按结构周期分类进一步细分关联。地震剪力系数限值按结构周期分类进一步细分,在现在3.5,5.0s基础上进一步增加7.0~8. 0s(主要针对 500m 以上超高层结构)分界点,例如增加规定周期超过7.0s(或8.0s)超高层结构的地震剪力系数限值,同时通过严格控制中震、大震条件下结构性能化设计来保证结构安全。③建议通过调整结构总剪力和各楼层水平地震剪力以满足最小地震剪力系数的要求。结构的抗震性能目标是否满足规范的要求,可通过大震下的弹塑性时程分析来验证。
以下内容摘自论文《长周期超高层建筑最小底部剪力系数》扶长生,张小勇,周立浪。(沪派)
按法定的设计方法进行抗震设计时,应该设定一个最小地震作用,对基于规范设计的建筑物提供一个保证度,使结构构件具有足够的承载能力。GB 50011—2010对最小底部剪力系数的取值是合理的,应予以执行。随着抗震理论的发展,当使用基于性能的抗震设计方法时,若结构和构件的性能目标达到预期的目标性能,最小底部剪力系数可予以放松。
任何结构都存在一个临界周期。当结构的基本周期>临界周期时,底部剪力系数总小于最小底部剪力系数。这是结构的一个基本特性,与体系及布置的合理性没有直接联系。
建议设计反应谱中的地震影响系数和特征周期、场地类别挂钩,以符合实测地震动记录的统计平均规律。
以下内容摘自论文《关于建筑结构抗震设计若干问题的讨论》方小丹,魏链。(粤派)
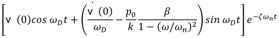
倘若由于采用比实际地震时小得多的地震作用作为结构构件设计的依据而没有把握,需要结构承担必要的、最低限度的地震作用,这不难理解;与此相反,如果要求加大结构的刚度来增加作用于其上的惯性力也即地震作用,就未免本末倒置了。很容易举出实际上可能存在的工程实例作为反证。例如,某位于上海地区Ⅳ类场地的超高层建筑,结构各项控制性指标均满足相关规范的要求且有一定的富余,剪重比即最小地震作用也恰好满足要求;如果将其置于风荷载相似、抗震设防烈度同样是7度的广州地区,虽然场地的工程地质情况远好于上海地区,为Ⅰ、Ⅱ类场地,但结构却不满足最小地震作用要求。于是就有此不合理的情况出现:地质条件较好、结构地震反应较小、位于广州地区Ⅰ、Ⅱ类场地上的此超高层建筑,尽管结构的其它各项控制性指标均满足规范要求且富余量更多,却要再加大梁、柱、核心筒等构件的截面尺寸来增加结构的刚度,加大结构的地震作用反应来满足最小地震作用要求。
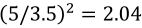
在广州地区要把周期T =5s的建筑加大刚度至T=3.5s以满足基底最小地震作用剪力要求并不容易,相当于要求结构刚度为原来的
倍。在加大剪力墙、梁、柱断面尺寸的同时免不了要增加结构的质量,最终的结果可能是广州地区的此超高层建筑承担的地震作用剪力比其在上海地区还大。
结论应当是明确的:可以令结构承担必要的、最低限度的地震作用力,可以令Ⅳ类场地上的建筑承担比Ⅱ类场地更大的最小地震作用剪力而不是相反,却不应当加大结构的刚度来增加其地震反应。
以下内容摘自论文《剪重比的本质关系推导及其对长周期超高层建筑的影响》廖耘,容柏生,李盛勇。(粤派)
长周期超高层建筑的第1阶振型参与质量系数通常都较小,因而其计算剪重比也偏小,此时通过增大刚度或减小质量来加大计算剪重比是非常低效的,还可能造成另外一些不合理现象。
考虑到反应谱长周期段本身的一些缺陷,保证长周期超高层建筑具有足够的抗震承载力和刚度储备是必要的。笔者认为,此时可不必强求计算剪重比,而应考虑采用放大剪重比并通过修改反应谱曲线的方法来使结构达到一定的设计剪重比,或采用更严格的位移限值来控制结构变形。
4
总结
以上是各门派掌门人对“剪重比”的相关看法及建议,但是总体上观点大同小异,阿扯划重点总结如下:①通过提高结构刚度让结构产生更大地震作用以满足剪重比要求与结构概念相悖(呼应片头“审图老师要求重新调整结构布置提高结构刚度以满足剪重比限值”),结构能否承受实际的地震作用与结构的承载能力有关,不应因结构的地震反应过小而提高结构刚度,故通过调整结构总剪力和各楼层水平地震剪力以满足最小地震剪力系数的要求即可;②现行规范的剪重比限值与场地类别无关,造成抗震不利场地上的结构比较容易满足剪重比限值,即抗震有利场地上的结构基底剪力较抗震不利场地上的还要大,故剪重比限值应根据场地类别适当分类,反应场地类别对结构设计的影响;③长周期超高层结构的第一阶振型参与质量系数通常较小,因而其计算的剪重比也偏小,此时通过增大刚度或减小质量来加大计算剪重比是非常低效的,故剪重比限值应在结构周期5s以上的基础上进一步合理细分。
内容源于网络,仅作分享使用,如有侵权,请联系删除
相关资料推荐:
知识点:剪重比
0人已收藏
0人已打赏
免费5人已点赞
分享
混凝土结构
返回版块140.17 万条内容 · 2215 人订阅
阅读下一篇
抗拔锚杆(索)设计计算方法通过抗拔锚杆破坏形式来讲一讲抗拔锚杆(索)设计计算方法(《岩土锚杆(索)技术规程》、《抗浮锚杆技术规程》、《全国民用建筑工程设计技术措施-结构(地基与基础)》、《地基基础勘察设计规范(深圳市标准)》及《高压喷射扩大头锚杆技术规程》)。 抗拔锚杆破坏形式:①锚杆沿岩土体接触面拔出;②锚杆筋体被拉断;③筋体沿其注浆体接触面拔出;④锚杆与周边岩土体呈倒锥体形破坏。 为避免锚杆沿岩土体接触面拔出,等截面型土层锚杆、扩体型土层锚杆及岩石锚杆应分别根据以下公式进行
回帖成功
经验值 +10
全部回复(0 )
只看楼主 我来说两句抢沙发