以下是渗流分析基本理论:达西(Darcy)定律和伯努利(Bernoulli)定理。
达西(Darcy)定律:

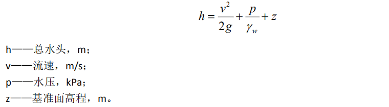
伯努利(Bernoulli)定理:

下面阿扯图示计算讲解一下达西(Darcy)定律和伯努利(Bernoulli)定理的运用:

图1-1 达西(Darcy)定律和伯努利(Bernoulli)定理的运用

下面举例一些常见土层的渗透系数k:

内容源于网络,仅作分享使用,如有侵权,请联系删除
相关资料推荐:
知识点:渗流分析基本理论
0人已收藏
0人已打赏
免费5人已点赞
分享
地基基础
返回版块12.11 万条内容 · 716 人订阅
阅读下一篇
基坑降排水施工工艺卡,每一项都交代的清楚明白儿滴!总述 基坑降排水是指在开挖基坑时,地下水位高于开挖底面,地下水会不断渗入坑内,为保证基坑能在干燥条件下施工,防止边坡失稳、基础流砂、坑底隆起、坑底管涌和地基承载力下降而做的降水工作。 常用的降水方法有:明沟加集水井降水、轻型井点降水、喷射井点降水、电渗井点降水、管井井点降水等等。各种降水方法对比详见下表:
回帖成功
经验值 +10
全部回复(0 )
只看楼主 我来说两句抢沙发