

以及结构构件弯矩和剪力增大系数
可分别按下列规定计算,位移计算结果仍应满足层间位移角限值的规定。




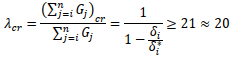
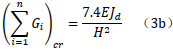
——结构一个主轴方向的弹性等效侧向刚度,可按
倒三角分布荷载
作用下
结构顶点位移相等
的原则,将结构的侧向刚度折算为
竖向悬臂受弯构件
的等效侧向刚度;
——分别为第
i
、
j
楼层重力荷载设计值,取
1.2倍永久荷载标准值与1.4倍的楼面可变荷载标准值的组合值
;
——第
i
楼层层高;
——第
i
楼层的弹性等效侧向刚度,可取该层剪力与层间位移的比值;


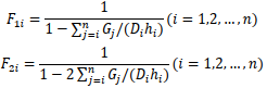
:


:




:


:



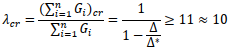
以沿楼层均匀分布的重力荷载之和
取代:



:


:



:


,可称其为等效刚重比,其基本力学假定如下图。



)

)
|
|
|||||
|
|
|
||||
|
|
|
|
|
|
|
|
|
|
|
|
|
|
|
|
|
|
|||
|
|
|
|
|
|
|
|
|
|
|
|||
(目标柱屈曲失稳)计算其临界荷载
,最后根据欧拉公式反推算跃层柱及巨柱计算长度系数μ,其表达式如下:

——跃层柱及巨柱屈曲临界荷载;
——跃层柱及巨柱顶作用力,
一般取单位力1kN
;
——跃层柱及巨柱屈曲失稳的第一阶屈曲因子;
|
|
||
|
|
|
|
|
|
|
|
|
|
|
|
|
|
|
|
|
|
|
|

即汇交于柱端的梁线刚度之和与柱线刚度之和的比值。

即汇交于柱端的梁线刚度之和与柱线刚度之和的比值。
,几何长度
l
为
17.5m
。


)


——剪力墙混凝土的弹性模量;
。当
大于等于剪力墙屈曲因子限值时,则此剪力墙墙肢满足稳定性要求。
,即
。即剪力墙屈曲因子限值为
8
。


)
,故此剪力墙墙肢满足稳定性要求。
内容源于网络,仅作分享使用,如有侵权,请联系删除
相关资料推荐:
知识点:结构稳定性分析
0人已收藏
0人已打赏
免费4人已点赞
分享
结构资料库
返回版块41.29 万条内容 · 424 人订阅
阅读下一篇
基于频率法的张弦结构钢拉杆施工内力监测方法研究与工程应用摘 要 张弦结构由上弦刚体、下弦柔性拉杆及其之间的刚性撑杆构成,柔性拉杆通常采用钢索或钢拉杆,在结构体系中为受拉构件。温州机场在天窗部位布置异形张弦结构,设计院对张弦结构钢拉杆施工成型内力提出了明确的容许范围。根据钢结构总体施工方案,张弦结构在楼面拼装阶段采用被动建立预应力技术,施加初拉力后随屋盖整体提升到设计标高。设计明确了张弦结构施工完毕状态钢拉杆内力标准值,称为成型内力标准值。以成型内力标准值为目标值,结合钢结构施工方案和钢拉杆张拉方案,采用全过程仿真模拟分析技术,试算求出钢拉杆初拉力标准值。
回帖成功
经验值 +10
全部回复(0 )
只看楼主 我来说两句抢沙发