问题:
沥青路面产生横向裂缝的主要原因是什么?
沥青路面产生纵向裂缝的主要原因是什么?
车辙和沥青材料的什么性质有关?
沥青路面使用性能气候分区以什么为指标进行?
沥青贯入式路面和沥青表处路面有什么相同和不同?
什么是蠕变,什么是松弛?
沥青混合料的模量和强度指标有哪些?
沥青路面:
沥青路面是用沥青材料作结合料粘结矿料修筑面层与各类基层和垫层所组成的路面结构。
与水泥混凝土路面相比,沥青路面具有表面平整、无接缝、行车舒适、耐磨、振动小、噪声低、施工期短、养护维修简便、适宜于分期修建等优点。我国的公路和城市道路近20年来使用沥青材料修筑了相当数量的沥青路面。沥青路面是我国高速公路的主要路面型式。
沥青路面的缺点:
抗弯强度较低:要求基础应具有足够的强度和稳定性。
低温抗变形能力很低:在寒冷地区需设置防冻层。
透水性小:须提高基层的水稳性,尽可能采用结合料处治的整体性基层。
交通量较大的路段容易开裂:宜在沥青面层下设置沥青混合料的联结层。
沥青路面损坏类型及成因:
1、裂缝
裂缝是沥青路面损坏的一种常见病害。按照裂缝的方向和成因,可分为纵向、横向和网状。
纵向裂缝基本上平行于道路中心线,一般发生在距路边缘3-5m的车道内,裂缝形状有两种,一种是直线形,另一种是纵向弧形且两端向路堤边缘延伸。
地基的不均匀沉降、不良的施工搭接和过大的荷载是纵向裂缝的主要原因 。


横向裂缝是沥青路面最常见的裂缝之一,通常被看作是早期损坏现象之一。横向裂缝的方向垂直于道路中心线,裂缝间隔不等且数量逐年增加。分为荷载型和非荷载型。
荷载型裂缝是由于荷载产生的拉应力超过疲劳强度而导致的破坏,先在路面底面产生,逐渐向上扩展至表面。
非荷载型裂缝主要指面层缩裂和基层反射裂缝,半刚性基层沥青路面的横向裂缝绝大部分是反射裂缝。



网状裂缝主要是由于路面的整体强度不足引起,也可能是由于路面的出现横向裂缝或纵向裂缝后未及时封填,加剧发展而成,沥青的老化也可引起网状裂缝。


2、车辙
车辙是沥青路面在车辆荷载反复作用下产生剪切压密等永久变形的积累,调查结果显示,车辙主要发生在高温季节,尤其是渠化交通严重的重交通道路上,或行车道上。
在我国,半刚性基层沥青路面的结构是最为普遍的结构形式,车辙往往发生在沥青面层,基本上都是沥青混凝土产生的流动型车辙,由发生在沥青面层以下各结构层永久变形引起的结构性车辙基本没有或很少。





其他变形:
沉陷:因路基的竖向变形而导致路面下沉的现象。
拥包:沥青面层因受行车推挤而形成局部隆起的现象。
波浪:在基层平整度较差、面层厚度较薄的地段往往由于施工质量等原因,基层不平整会反映到沥青路面上,车辆荷载作用下面层不平整会愈加明显,形成波浪。

3、松散类
1)松散:路面由于结合料粘性降低或消失,在行车作用下集料松动、散开的现象。
2)麻面:路面表面出现麻点的现象。
3)脱皮:路面表面产生的层状剥离、失落的现象。
4)坑槽:在行车作用下,路面骨料局部脱落、散失而形成的坑洼。
5) 啃边:在行车作用下,路面破损、脱落的现象。
产生的原因是采用的沥青粘结力差,沥青用量偏少,或所用的矿料过湿,铺撒不均匀,或所用的嵌缝料不合规格而未能被沥青粘牢。

4、表面磨光
沥青路面在使用过程中,在车轮反复滚动摩擦作用下,集料表面被磨光。有时还拌有沥青的不断上翻,从而导致沥青面层表面光滑,尤其在雨季容易造成车祸。
表面磨光的内在原因是集料质地软弱、缺少棱角、或矿料级配不当,粗集料尺寸偏小,细料偏多,或沥青用量偏多。

泛油:沥青路面因沥青含量偏多或稠度偏低,在气温较高时表面形成薄油层的现象。

修补破坏:路面坑洞、坑槽、局部碎裂等损坏经修补后的再次破坏。

对沥青路面的基本要求:
高温稳定性
低温抗裂性
耐久性
抗滑能力
防渗能力
沥青路面使用性能的气候分区:
1.气候分区指标
采用工程所在地最近30年内最热月份平均最高气温的平均值,作为反映高温和重载条件下出现车辙等流动变形的气候因子,并最为气候分区的一级指标,划分为3个区。
采用工程所在地最近30年内的极端最低气温,作为反映温度收缩产生裂缝的气候因子,并作为气候分区的二级指标,划分为4个区。
采用工程所在地最近30年的年降雨量的平均值,作为受雨水影响的气候因子,并作为气候区划的三级指标,划分为4个区。
2.气候分区的确定
沥青路面使用性能气候分区由一、二、三级区划组合而成,以综合反映该地区的气候特征。如我市属于1-4-1气候区,即为夏炎热冬温潮湿区,对沥青混合料的高温稳定性和水稳定性要求较高。每级区的数值越小,表明该气候因子对路面的影响越恶劣。

沥青路面的分类:
1.按照强度构成原理分为密实类和嵌挤类。
密实型沥青路面强度和稳定型主要取决于混合料的粘聚力和内摩擦阻力。按空隙率大小分为闭式和开式。
嵌挤类沥青路面采用颗粒尺寸较均一的矿料,强度和稳定型主要依靠集料颗粒之间相互嵌挤所产生的内摩擦力,粘聚力较弱。
2.按施工工艺的不同,沥青路面可分为层铺法、路拌法和厂拌法三类。
层铺法是用分层洒布沥青,分层铺撤矿料和碾压的方法修筑,其主要优点是工艺和设备简便、功效较高、施工进度快、造价较低,其缺点是路面成型期较长,需要经过炎热季节行车碾压之后路面方能成型。用这种方法修筑的沥青路面有沥青表面处治和沥青贯人式两种。
路拌法是在路上用机械将矿料和沥青材料就地拌和摊铺和碾压密实而成的沥青面层。
此类面层所用的矿料为碎(砾)石的称为路拌沥青碎(砾)石;所用的矿料为土者则称为路拌沥青稳定土。路拌沥青而层,通过就地拌和,沥青材料在矿料中分布比层铺法均匀,可以缩短路面的成型期。但因所用的矿料为冷料,需使用粘调度较低的沥青材料,故混合料的强度较低。
厂拌法是将规定级配的矿料和沥青材料在工厂用专用设备加热拌和,然后送到工地摊铺碾压而成的沥青路面。
矿料中细颗粒含量少,不含或含少量矿粉,混合料为开级配的,(空隙率达10%-15%),称为厂拌沥青碎石;若矿料中含有矿粉,混合料是按最佳密实级配配制的(空隙率10%以下)称为沥青混凝土。
厂拌法按混合料铺筑时温度的不同,又可分为热拌热铺和
热拌冷铺两种。厂拌法使用较粘稠的沥青材料,且矿料经过精选.混合料质量高,使用寿命长,但修建费用也较高。



3.根据沥青路面的技术特性,沥青面层可分为沥青混凝土、热拌沥青碎石、乳化沥青碎石混合料、沥青贯入式、沥青表面处治五种类型。此外,沥青玛蹄脂碎石近年在许多国家也得到广泛应用。
沥青混凝土:高等级路面面层;
热拌沥青碎石:面层、联结层;
沥青表处:先油后石,1.5~3.0cm,三、四级公路面层、加铺罩面、抗滑层、磨耗层;
沥青贯入:先石后油,4~8cm,二级及以下公路面层;
乳化沥青碎石:适用于做三级、四级公路的沥青面层、二级公路养护罩面以及各级公路的调平层或柔性基层。
沥青玛蹄脂碎石路面:适用于高速公路、一级公路和其他重要公路的表面层。

三相体系与压实性能:
沥青混合料是一种具有空间网络结构的多相体系,从宏观上看,是集料、沥青和空气所组成的三相体系。
沥青混合料密实程度的大小直接影响到材料的强度,如抗压强度或抗拉强度,在相同条件下,密实程度好的材料具有较高的强度,反之则低。
压实温度、压实速度、压实应力和沥青用量都影响到沥青的压实性能。
沥青混合料的结构力学特性:





沥青混合料的粘弹性性质与力学模型:
一般认为,沥青混合料是一种典型的弹、粘、塑性综合体,在低温小变形范围内接近线弹性体,在高温大变形活动范围内表现为粘塑性体,而在通常温度的范围内则为一般粘弹性体。
1)材料的力学特性与加载速度有关,随着加载速度的增加,材料的强度与刚度均会增大;
2)材料的力学特性对温度十分验感,随着温度的升高,材料的物理特征表现为变软,强度与刚度变小;
3)材料具有十分明显的蠕变与应力松弛现象。


时间和温度对粘弹性材料响应的影响:试验温度的升高相当于慢速加载,加载时间的减值,粘弹性材料的这种特性称为时间温度换算法则。

沥青混合料力学模型



沥青混合料的模量
1)沥青混合料兼具虎克弹性和牛顿粘性;
2)沥青混合料力学性质应该作为温度和时间的函数表示;
3)沥青混合料的性质作为“某一条件的响应”是比较合理的。
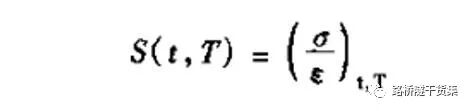
1.沥青的劲度模量:一定温度和时间下,应力与总应变的比值。

沥青的劲度是温度与时间的函数。当温度较低时,在短荷载作用时间下,其劲度模量趋近弹性模量;当长期荷载作用时,劲度随时间急剧下降,在双对数坐标上呈线性关系。随着温度上升,沥青的稠度降低,劲度模量数之减小
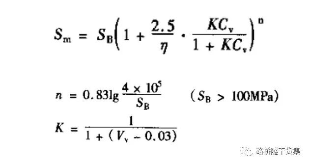
2.沥青混合料的劲度模量:
随着集料的增加,沥青混合料劲度增加,可根据沥青劲度SB计算沥青混合料的劲度模量SM:

沥青混合料的强度:
对于粘弹性物体,雷纳提出了与材料力学有所不同的破坏分类:
(1)超过某一“强度”而引起的破坏;
(2)超过某一“变形值”面引起的破坏;
(3)超过某一“应力松弛状态”而引起的破坏。
采用两端简支、中央集中加载的沥青混合料小梁弯曲试验进行验证所提出的破坏模型如图所示。在不同的使用条件下,它可以表现为3种破坏模式。

(1)剪切强度:三轴试验
(2)断裂强度:主要用于分析随气温下降时沥青面层收缩受阻而转化为收缩应力,当收缩应力超过极限强度时所造成的缩裂问题。也有用于分析车辆紧急制动时,车轮后侧路表受到的径向拉应力引起的拉裂问题。直接拉伸或间接拉伸试验。
(3)临界应变:弯曲试验
以上三个指标都是温度和加载时间的函数。
推荐资料(点击文字跳转):
知识点:沥青路面材料的结构与力学特性
0人已收藏
0人已打赏
免费0人已点赞
分享
市政工程施工
返回版块15.12 万条内容 · 392 人订阅
阅读下一篇
灌砂法检测压实度要点灌砂法检测干密度 1、灌砂法基本原理 灌砂法(标准方法,但不适用于填石路堤等有大孔洞或大孔隙材料的压实度检测)基本原理是利用粒径0.30~0.60mm或0.2~0.50mm清洁干净的均匀砂,从一定高度自由下落到试洞内,按其单位重不变的原理来测量试洞的容积(即用标准砂来置换试洞中的集料),并根据集料的含水量来推算出试样的实测干密度。
回帖成功
经验值 +10
全部回复(0 )
只看楼主 我来说两句抢沙发