
相关资料推荐:
https://ziliao.co188.com/d63788861.html
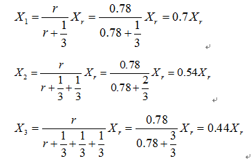
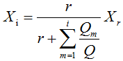
知识点:分段进水AAO工艺MLSS计算要点
0人已收藏
0人已打赏
免费3人已点赞
分享
中水处理回用
返回版块9852 条内容 · 214 人订阅
阅读下一篇
海南省规模最大的全地埋式污水处理厂正式进入进水调试阶段中交一航局三公司承建的海南省规模最大全地埋式污水处理厂海口市滨江西污水处理厂进入进水调试阶段。 滨江西污水处理厂位于海口市琼山区,水厂建筑面积为4.68万平方米,水处理总规模为13万立方米/天。水厂主体为地下两层结构,结构类型为框架结构,地下防水等级为二级。 项目建成后,将有效解决滨江西片区污水输出问题,服务面积达16.51平方公里,极大地改善区域环境质量,可解决周边28.26万居民生活污水排放问题,有效实现当地环境可持续发展、助力海南自贸港建设。“”
回帖成功
经验值 +10
全部回复(1 )
只看楼主 我来说两句 抢板凳好资料,对于工程设计计算有一定参考性,学习啦,谢谢楼主分享
回复 举报