1、钢板桩简介
钢板桩于20世纪初在欧洲开始生产,并迅速地应用于建筑行业中的各种永久性和临时性工程,包括港口、码头、河道护岸、挡土墙、地下结构等等,是一种可重复使用的绿色环保型结构用钢材,具有高强度、轻型、止水性好、耐久性强、施工效率高、占地少等独特的优点。
随着其在国外工程界的广泛应用,钢板桩的设计、制造和安装技术水平也在不断提高,钢板桩已成为国外工程界的一种重要产品。然而我国的钢板桩技术的应用却仍处于起步阶段,钢板桩每年的消耗量仅为3万吨,与我国钢铁消费总量占世界三分之一的地位极不相称。
由于刚起步的钢板桩行业在生产工艺、技术标准、行业规范都处于摸索阶段,存在很多不足和值得探索的地方。同时,由于国内工程界对这种产品的不了解,甚至有一些误解,导致许多企业不敢轻易尝试应用该新技术、新产品。
据市场专业人事分析,我国在未来10年内将成为一个钢板桩消费的大国。一方面由于国家在工程建设中的大力投资,特别是在南水北调、铁路公路建设和水域改造等工程中的投资、城市化发展的建设。另一方面由于我国在工程领域内对环保、节约用地、抵御自然灾害方面的意识的加强,必然会对一些环保、节约、高效的一些工程产品产生巨大的需求。因此,我们可以相信,钢板桩在中国的应用具有广阔的前景。
2、钢板桩在国内外的应用:








3、钢板桩的施工特点:
施工简便,不需要庞大施工设备
施工快速,可大幅缩短工期
互换性、止水性好
通过改变钢板桩的断面形状和长度,能使其适应不同地质、深度、支护结构的要求同时使整个维护结构更加经济合理
基坑施工占地面积小,污染小,有环保特性
4、钢板桩的种类:
目前钢板桩的生产厂家主要集中在日本、韩国及卢森堡等国。钢板桩种类主要分为U型钢板桩、Z型钢板桩、组合型钢板桩以及目前在日本已广泛应用的900mm帽型钢板桩。

5、钢板桩截面性能:
目前国内广泛应用的钢板桩主要为U型钢板桩,其按截面分为拉森Ⅳ型、拉森Ⅴ型、拉森Ⅵ型等,主要截面参数如下表:

6、钢板桩支护形式:
悬臂式、桩锚式、锚锭式、桩撑式(预加力)
IPS工法(鱼腹梁)、HSW工法(组合钢板桩)、HPW工法(组合钢板桩) 、双排钢板桩(很少)、钢桁架式等。
7、钢板桩支护形式-悬臂式:
可根据情况增加加强桩

钢板桩支护形式-桩锚式:

钢板桩支护形式-锚碇式:

钢板桩支护形式-IPS工法:


钢板桩支护形式-HSW工法:

钢板桩支护形式-HPW工法:

钢板桩支护形式-钢桁架式:

8、钢板桩支护构造解读:

二、钢板桩设计
钢板桩设计依据
钢板桩支护结构的荷载作用
钢板桩支护结构的计算
内支撑的计算
钢板桩的防腐蚀设计
1、钢板桩设计依据
《建筑基坑支护技术规程》JGJ 120-2012。
《板桩码头设计与施工规范》JTS 167-3-2009。
《深基坑工程设计施工手册》。
其他:钢结构设计规范、荷载规范等。
2、钢板桩支护结构的荷载作用
水土压力(勘察点、支护剖面的选择)
水流力、波浪力
建筑基础荷载
超载等
3、钢板桩支护结构的计算--- 以多撑钢板桩为例
支撑的布置和计算:

板桩入土深度计算:

稳定性验算:
整体稳定性验算
抗滑移验算
抗倾覆稳定性验算
抗隆起稳定性验算
渗流稳定性验算
抗突涌验算等。
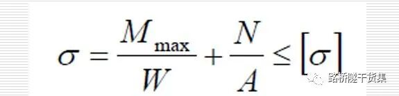
钢板桩型号的选择:
由结构计算求得钢板桩结构的最大弯矩后,可根据强度要求确定钢板桩的截面模量和钢板桩的材质,最终选择确定钢板桩型号。钢板桩的强度验算一般按下式进行:

钢板桩长度的选择:
型号、止水帷幕、结构及稳定性验算结果。
4、内支撑的计算—以单层内支撑为例





内支撑构件强度、稳定性验算(平面内、外)

内支撑间距、计算长度等调整办法:
角撑、立柱、层间支撑、格构式支撑等。


围檩计算
局部稳定性验算
细部节点设计(略)
5、钢板桩的防腐蚀设计

三、钢板桩施工
钢板桩施工综述
打桩方法
打桩设备
1、钢板桩施工综述

2、打桩方法
逐根打桩:

屏风式:

将10~20根板桩插人土中一定深度,使桩机来回锤击,并使两端12 根桩先打到要求深度再将中间部分的板桩顺次打人。这种屏风施工法可防止板桩的倾斜与转动,对要求闭合的围护结构,常采用此法。
采用该方法可保证达到良好的垂直度,并减少沉桩中能遇到的困难和散桩,同时可以更好的控制桩墙的长度。由于整片桩一起定位,不一定全部的桩都打至设计标高,这样就保证局部桩不能打至设计标高而破坏墙的整体作用的发生,其缺点是施工速度比单桩施工法慢且桩架较高。
跳打:

组合桩墙沉桩:
组合桩墙是由主桩和中间的辅桩组成。主桩形式有管桩、箱形桩、承重桩和其他形式的制作桩。
采用组合桩的关键是采用稳定的、有足够刚度的导架。
主桩采用焊接三角导板定位在导架内。导板尺寸考虑到宽度偏差。
主桩沉桩应保证打直和垂直度,或保持规定的斜度,以确保与其他桩平行,保持规定的间隙。
主桩的沉桩顺序必须保证整个桩尖周边均匀接触到压紧的土壤,切勿一侧接触。因此。
必须按照以下顺序打桩:1 5 3 6 4 7 2 (大间隔跳打)
或至少按照以下顺序:1 3 2 5 4 7 6 (小间隔跳打)
原则上,所有主桩必须按顺序不间断地打到设计深度。在正常完成后才开始进行中间轻桩的定位和沉桩。
3、打桩设备
打桩设备分类:
钢板桩的施工设备很多,按照打桩方式的不同可分为下述几种:
(一)冲击打桩机械:有自由落锤,蒸汽锤、空气锤、液压锤、柴油锤等。
(二)振动打桩机械:这类机械既可用于打桩还可用于拔桩,常用的是振动打拔桩锤。
(三)振动冲击打桩机械:这种机械是在振动打桩机的机体与夹具间设置冲击机构,在激振机产生上下振动的同时,产生冲击力,使施工效率大大提高。
(四)静力压桩机械:靠静力将板桩压人土中。
打桩设备示意:

打桩设备:

打桩设备选择:
板桩施工的顺利进行在很大程度上决定于施工机械的选择,当决定选用何种机械时,需考虑以下几个条件:
(一)工程规模:打(拔)钢板桩的数量、尺寸、形状,尤其要考虑钢板桩的重量与长度,往往这两个因素是主要的。
(二)土质情况:要同土质情况结合,以利于钢板桩的打人或拔出。
(三)作业能力:要符合工程进度的要求。
(四)作业环境:选用的机械要满足噪声、振动等公害控制要求,并结合现场的条件如交通状况地形、脚手等情况。
综合考虑上述条件,使选定的机械既经济、安全又能确保施工效率。
打桩设备的一般指导方针:


推荐资料(点击文字跳转):
知识点:钢板桩分类大全、设计与施工
0人已收藏
0人已打赏
免费0人已点赞
分享
工地图片
返回版块50.2 万条内容 · 382 人订阅
阅读下一篇
钢材的化学成分对性能的影响(一)钢材的化学成分 01 1、碳碳是决定钢材性能的主要元素。碳对钢材性能的影响如图7—5所示。 ?随着含碳量的增加,钢材的强度和硬度相应提高,而塑性和韧性相应降低。当含碳量超过1%时,钢材的极限强度开始下降。此外,含碳量过高还会增加钢的冷脆性和时效敏感性,降低抗大气腐蚀性和可焊性。
回帖成功
经验值 +10
全部回复(0 )
只看楼主 我来说两句抢沙发