知识点:电力摇摆曲线
为了保证电力线路的安全运行, 导线对杆塔必须有良好的绝缘。 这个绝缘分为两种, 一种是绝缘子串, 另一种是导线对杆塔的间隙, 简称“杆塔间隙”或“间隙”。 线路各规范的“绝缘配合” 章节, 对杆塔间隙都作了具体规定。 我们设计的杆塔间隙必须符合这些规定, 才是合格设计。 那么怎么判断间隙是否合格(或达标) 呢? 下面以直线悬垂杆塔为例, 介绍六种校验方法。
1、 杆塔间隙校验方法之一, 间隙比较法。
杆塔间隙校验最直观的方法就是“间隙比较法”, 该方法可以用不等式(判
别式) 表达为: 实际间隙 D≥规定间隙D0 .........(1.1)
采用该方法校验杆塔间隙的步骤如下:
1.1 确定容许间隙数值D0
判别式(1.1) 右边的规定间隙, 就是现行规范规定的间隙数值。 规定间隙
也可以叫做“容许间隙” 。 GB 50545-2010 关于杆塔间隙容许值的规定如下:


应用这些规定时, 需要把握以下要点(参见表 1):
1) 间隙容许值与电压等级有关, 在表中容许值分电压等级列出;
2) 间隙容许值与工况有关, 规范就“大风”“内过”“外过”“带电作业”四种工况的容许值作出了规定。 我们只需要对这四种工况的杆塔间隙进行校验, 四种工况的间隙均达标, 即可判定线路间隙达标。我们把这四种工况谓之“校验工况” 。
3) 不同校验工况, 容许间隙不相同, 同一校验工况, 容许间隙是固定的。不随本校验工况的“气温”“风速” 而变化。比如, 110KV 大风工况的间隙容许值0.25米。气象区不同, 基本风速也不同,有的是 23.5m/s,有的是 30m/s, 但其杆塔间隙容许值 0.25 米始终不变。
4)间隙的实际值, 是随校验工况的风速变化的。 比如,同一条线路的同型杆塔, 如果通过基本风速为 23.5m/s 地区时, 实际间隙为 0.30 米; 那么通过基本风速为 30m/s 地区时, 实际间隙会小于 0.30 米。
5)间隙容许值与海拔高度有关,7.0.9 和 7.0.10 附表只列出各种电压下在低海拔(海拔高度不足 1000 米) 时的间隙容许值。 海拔超过 1000 米时,需要按规范 7.0.12 条规定及其条文解释修正;
6) 另外, 在以下两种情况下, 也需要修正间隙容许值: 按照规范 7.0.8 条要求, 因高海拔需要增加悬垂串串长, 或按 7.0.2 和 7.0.3 条要求, 因高杆塔需要增加悬垂串串长时,雷电容许间隙也需相应增大。
表 1、杆塔间隙容许值简表

1.2 确定实际间隙数值 D
判别式(1.1) 左边的实际间隙, 可以是我们设计中“实际采用的间隙”, 也可以是现场“实际测得的间隙”, 实际间隙数值就是按照这个原则确定的。
1.3 比较实际间隙与容许间隙
因为规范规定需要校验四种工况间隙, 所以采用间隙比较法进行校验时, 需要使用四个判别式:

可以看出, 判别式右边的“容许间隙”, 很容易查表确定。 而左边的“间隙
实际值”, 就不容易确定。 因为“间隙” 的尺寸, 不是导线与杆塔某一固定部件
的距离, 而是导线与无数杆塔部件之间的距离。 可见, 采用“间隙比较法” 仅适
用于少数固定间隙(比如避雷器引线对杆塔元件) 的校验, 为了校验导线对杆塔的大量间隙, 需要采用其它方法。
2 杆塔间隙校验方法之二, 间隙圆法。
众所周知, 杆塔定位过程中, 始终要遵守一个原则: 导线对地距离要处处大
于规定限距。 为此, 使用了“切地线” 的方法: 为了使在“最大弧垂工况” 下,
导线与崎岖不平的“地面”, 处处保持“安全限距”, 我们把导线从悬点往下平
移一个“安全限距” 的距离, 画出一个“禁区”, 这禁区的下边界线叫做“切地
线”。 只要切地线与“地面”(其实是纵断面) 任何部位没有交叉点(可以相切),就可以判定导线对地距离是达标的。 在塔头间隙校验中, 我们可以套用“切地线” 思路: 为了在“四种校验工况”下, 导线与形状多变的“塔头元件”, 处处保持“容许间隙” 及以上距离, 我们在导线外表面像“覆冰” 一样, 加一个厚度等于容许间隙的“假想绝缘层”, 这个绝缘层和导线一起形成一个“圆柱”。 圆柱的横断面就是“间隙圆”(见图一)。 间隙圆的圆心会因导线风偏沿着圆弧线 AA 移动, 间隙圆则会划出一片“禁区”, 禁区的外缘就是“切塔线”。 只要杆塔元件在禁区之外(可以相切), 就可以保证“杆塔间隙” 达标。 这就是校验杆塔间隙的第二种方法---间隙圆法。

使用这种方法应该把握以下要点(参见表 1):
1) 间隙圆是以导线轴心为圆心, 以“导线半径+容许间隙+裕度” 为半径的圆。 因
为导线直径相对较小, 可以纳入间隙圆裕度中予以考虑, 这样, 可以简化地认为间隙圆是以导线轴心为圆心, 以容许间隙+裕度为半径的圆;
2) 间隙圆半径的裕度数值, 在通用设计中有具体规定;
3) 四种校验工况的容许间隙不同, 它们的间隙圆半径也不相同;
4) 因为同一电压级, 同一校验工况的“容许间隙” 是固定值, 所以各工况“间隙
圆半径” 也是固定值, 不因气温、 风速、 冰厚而改变; 间隙圆法, 可以较快地校验导线对众多杆塔元件间隙是否达标, 但是, 这种方法全过程就是“画” 间隙圆。 这种方法必须在 CAD 图上, 按比例画图, 然后观察“切塔线” 与杆塔元件有没有相交之处, 没有相交之处, 即可判定间隙达标。这种方法解决了“大批间隙” 的校验问题, 但是只能在“画” 的过程中判断, 不能编程计算, 速度太慢。 于是人们又想出了基于计算的方法---摇摆角法。
3 杆塔间隙校验方法之三, 摇摆角比较法。
用摇摆角法校验杆塔间隙的步骤如下(以大风工况为例):

图二、 作间隙圆确定容许摇摆角
3.1 画间隙圆, 确定校验工况容许摇摆角

画间隙圆确定容许摇摆角的步骤为(以大风工况为例):
1) 按比例绘制塔头 CAD 立面图;
2) 在图上标出悬垂串挂点的位置 O;
3) 过 O 作垂线 OA, 在 O 正下方悬垂串长λ 米处, 标出导线悬点 A 的位置;
4)以 A 为圆心以大风工况容许间隙 0.25 米+裕度为半径画“大风工况间隙圆A”;
5) 以挂点 O 为圆心, 以串长λ 为半径画弧 AB, 与塔头交与 B;
6) 从第一个间隙圆圆心 A 开始, 在 AB 弧上取多点为圆心, 以 0.25 米+裕度为半径, 向 B 方向画多个间隙圆, 直到间隙圆与杆塔相切为止, 设相切圆的圆心为 C, 那么∠ AOC 的度数, 就是大风工况容许摇摆角Φ1, 其正切值就是φ大风。 其它校验工况容许摇摆角的确定方法如法炮制。 可见, “容许摇摆角” 也是“画出来的” 。 图三、 图四、 图五是几种容许摇摆角的画法示意图。
从作间隙圆的过程可以看出, 影响容许摇摆角
的因素如下:
1) 塔头尺寸。 包括横担尺寸、 线间距离、 挂点位置…
2) 悬垂串长。
3) 容许间隙、 间隙裕度。

图三、 大风工况容许摇摆角φ3 图四、 内过工况容许摇摆角φ4

图五、 外过工况容许摇摆角 φ1

3.2 导出实际摇摆角计算公式, 计算“实际摇摆角”:



图六、 摇摆角计算示意

3.3 比较实际摇摆角与容许摇摆角, 进行摇摆角校验。
如果杆塔每一个校验工况下的实际摇摆角, 均小于该工况的容许摇摆角, 那
么该杆塔的间隙必然达标。 写成公式就是:

摇摆角校验法中, “容许摇摆角” 依然需要画图确定, 实际摇摆角可以编程
计算, 计算速度可以大大提高。 但是, 这种方法的缺点是实际摇摆角需要“一基杆塔一基杆塔地计算出来”, 速度很慢。 为了进一步提高间隙校验效率, 人们又想出了“临界垂直档距法”, 或叫“临界垂档曲线法” 。
4 杆塔间隙校验方法之四, 垂档比较法。
垂直档距比较法的思路和方法如下:
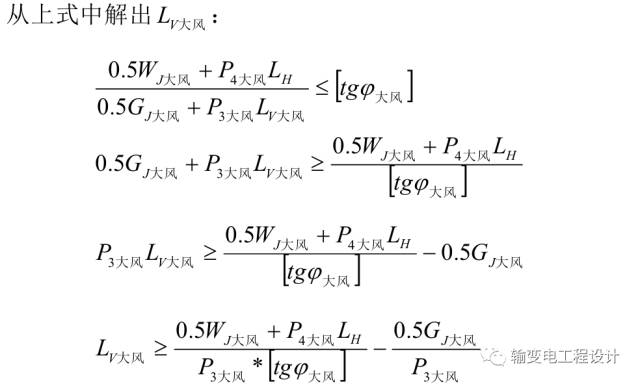
4.1 把“摇摆角校验公式” 改造成确保摇摆角达标的“容许垂档方程” 。
以大风工况为例, 其摇摆角校验公式为:

以(3.4) 式右边算式置换上式左边内容得:


由不等号可以看出, 左边垂直档距, 是确保大风工况摇摆角达标的“最小垂档容许值” 。 我们将其加上方括号, 并将右边表达式写成关于LH 直线方程的形式:

(4.1) 式中的不等号换成等号就是确保摇摆角达标的 “大风容许垂档方程”。 其
典型式为:

4.2 容许垂档曲线的绘制
绘制“容许垂档曲线” 步骤如下:

这样四个“容许垂档方程” 都变成了可解方程:

对于每一个“容许垂档方程”, 我们设定一组水平档距数值, 就可以计算出
一组容许垂档数值, 绘制出一条“容许垂档曲线” (图七)。

图七、 确保摇摆角、 间隙达标的容许垂档曲线
4.3 垂档比较法操作步骤。
用垂档比较法校验杆塔摇摆角和间隙是否达标, 步骤如下:


5 杆塔间隙校验方法之五, 临界垂档曲线法。
杆塔间隙校验方法之四把校验速度提高一步, 但还是不够快捷。 为此
又想出了“临界垂档曲线法” 。 这种方法的校验公式是: 杆塔的实际定位垂档LVD ≥ 临界定位垂档 LVD临界 , 即可判定杆塔摇摆角、间隙达标。 这种方法的计算思路和步骤是(以大风工况为例):
5.1 写出确保摇摆角达标的“校验工况垂档判别式” (参见 4.1)。

5.2 写出以定位工况垂档为变量的“校验工况垂档表达式” 。

5.3 导出确保摇摆角达标的“定位工况垂档判别式” 。


5.4 绘制四条“容许定位垂档曲线”, 形成一条“临界定位垂档曲线” 。


图八、 定位工况临界垂档曲线
5.5 “定位工况临界垂档曲线” 的使用 如需要校验杆塔摇摆角和间隙是否达标, 步骤如下:
1) 根据杆塔的水平档距, 在临界定位垂档曲线上查取临界垂直档距LVD 临界;
2) 根据平断面图中的水平档距, 查出杆塔的实际垂直档距 LVD 实际, 只要杆塔的实际垂档LVD实际≥临界垂档LVD临界, 就可以判定杆塔的摇摆角、 间隙达标。 可以看出, 临界定位垂档曲线法, 使用起来非常简便。
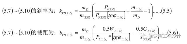
6 杆塔间隙校验方法之六, Kv 值法。
6.1 定位临界 Kv 值曲线的绘制
对图八的定位临界垂档曲线稍作加工, 就可以得到“定位临界 Kv 值曲线(图九)”,
方法如下:
1) 设定若干个水平档距数值, 在定位临界垂档曲线上查取若干个临界垂直档距
数值, 计算出若干个 Kv 值。 列成下表:

2) 把上表绘制成曲线, 就是“定位临界 Kv 值曲线” (图九)。

图九、 临界值 KV曲线
6.2 “定位临界定位 Kv 值曲线” 的使用方法
利用“定位临界 Kv 值曲线” 和平断面图校验杆塔的摇摆角、 间隙是否达标。
步骤如下:
1) 根据平断面图, 查出杆塔的定位水平档距 LH、 定位垂直档距LVD , 据此计算出杆塔的定位 Kv 值:
2) 根据杆塔的水平档距, 在图九定位临界 Kv 值曲线上查取定位临界K VD临界 值;
3) 比较定位 KVD值与定位临界 KV 临界值, 若KVD≥KVD临界 ,则杆塔的摇摆角和间隙均达标。
6.3 “定位临界定位 Kv 值曲线” 使用举例
在国网典设 1H-1SZ 塔的设计条件中, 有关 Kv 值的参数如下表:

1、可以根据上表数值, 绘制出该型杆塔的“定位临界 Kv 值曲线” 。
1) 对于任何塔型, 确保校验工况摇摆角达标的“定位工况垂档方程” 都可以
写成:


因为三种塔型塔头尺寸相同、 悬垂串长相同、 规定间隙相同, 所以容许摇摆
角[φ工况 ]相同; 因为三种塔型电压相同、 所使用的悬垂串相同、 导线相同、 安全系数相同、 气象条件相同, 所以三种塔型的 m=(应力/比载)相同, 大比载 P3、P4 相同、 悬垂串风力、 重力荷载WJ、GJ相同;

2) 我们分别绘制出 1H-SZ1,1H-SZ2,1H-SZ3 塔型的“定位垂档曲线”, 三种塔型的上包络线就分别形成三条“临界垂档曲线”, 进而绘制出三条“定位临界 Kv 曲线” 。 我们会发现, 三套曲线完全相同, 可以相互通用。换句话说,用 1H-SZ1 设计条件中的水平档距 350 米, 在三条“定位临界 Kv 曲线” 上查出的 Kv值, 都是 0.85; 用 1H-SZ2 设计条件中的水平档距 400 米, 在三条“定位临界 Kv 曲线” 上查出的 Kv 值, 都是 0.75; 用 1H-SZ3 设计条件中的水平档距 500米, 在三条“定位临界 Kv 曲线” 上查出的 Kv 值, 都是 0.65;
3) 既然设计条件中的(350,0.85) (400,0.75) (500,0.65) 都是“定位临界
Kv 曲线” 上的点, 那么, 我们把这些点连接起来, 应该就是“定位临界 Kv
曲线” ! 这么一来, 我们就找到了一个绘制“定位临界 Kv 曲线” 的新方法。
图十就是采用这一新方法绘制出来的。

图十、 典设塔型临界 KV值曲线
2、 如果线路使用塔型依然是上述塔型, 但实际水平档距不是 350 米,400
,500 米, 怎样校验杆塔摇摆角、 间隙是否达标。
1) 根据平断面图, 查出杆塔的定位水平档距 LH、 定位垂直档距 LVD, 据此计算出杆塔的定位 Kv 值:
2) 根据杆塔的水平档距, 在图十定位临界 Kv 值曲线上查取定位临界KVD 临界值; 比较KVD值与定位临界KV临界值, 若KVD≥ KVD临界, 则杆塔的摇摆角和 间隙均达标 。
相关推荐链接:
0人已收藏
0人已打赏
免费2人已点赞
分享
电气工程原创版块
返回版块2.2 万条内容 · 598 人订阅
回帖成功
经验值 +10
全部回复(0 )
只看楼主 我来说两句抢沙发