长江口北岸的启东.如东地区广泛分布着双层土的地基,上部硬土层为粘质粉土或粉质粘土层承载力特征值较高,达90-110kPa,压缩模量为7-8MPa,厚度有2-4.5米厚左右,其下分布一层相对较软的土层(灰色粉质粘土或淤泥质粉质粘土,夹薄层粉土),厚度约1.0-2.0m左右,承载力特征值只有70kPa左右,压缩模量为3-4MPa.
现在根据《建筑地基基础设计规范》GB50007-2002表5.2.7的规定,压缩模量比值<3,我们这儿的好多工程师均认为,地基扩散角取0,那么地基承载力的特征值取下卧层的值,只有70kPa左右.这样下来好多的多层住宅和两层车间因承载力不够而进行地基处理.我觉得这个有点保守,但是想不出理论的支持,请高老师指教
验算软弱下卧层强度时,关键问题是需要了解软弱下卧层顶面处的附加应力,对于压缩模量的比值小于3的情况,说明持力层与下卧层的刚度相差不太大,可以用均质土的应力分布的计算方法计算软弱下卧层顶面处的附加应力,应力系数就可以用《建筑地基基础设计规范》附录K.0.1的表查用。

为什么要控制压缩模量比的条件?这是考虑到上硬下软的情况,硬层可以起扩散应力的作用,使软弱下卧层顶面的附加应力小一些,而采用双层地基的理论计算又太复杂,才有规范的这种扩散角的近似计算的方法。
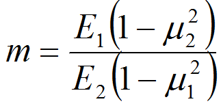
可以按双层地基的不同变形性质直接求解软弱层顶面的压力,理论解的结果如图14-4所示。图中的m为双层地基的变形特征系数,由下式计算:


全部回复(0 )
只看楼主 我来说两句抢沙发