絮凝剂的机理主要是带有正(负)电性的基团和水中带有负(正)电性的难于分离的一些粒子或者颗粒相互靠近,降低其电势,使其处于不稳定状态,并利用其聚合性质使得这些颗粒集中,并通过物理或者化学方法分离出来。
从2018年1月起,多部环境法与环境保护方案开始实行,明确要求砂石厂废水严禁外排,须循环利用,故大量砂石厂在污水处理工艺中采用絮凝剂(大多以阴离子分子量为1200万的聚丙烯酰胺絮凝剂为主)去加速污水中悬浊物的沉降,使其能够快速、有效地将洗砂后的污水沉淀处理进行循环利用。
在前期,为达到效果,砂石厂使用的絮凝剂用量较高,出厂砂中残留的絮凝剂量很高,对混凝土拌合物性能影响明显,因各预拌混凝土企业提议,最近砂石厂使用絮凝剂做循环水处理更注重科学使用,精细控制,出厂砂中残留絮凝剂较少,对混凝土拌合物性能影响有所降低。

张鸣等使用分子量为600万~1000万絮凝剂,研究絮凝剂对水泥净浆的剪切应力与粘度的影响,结果表明,水泥浆体的剪切应力和粘度随掺量的增加而线性增加;同时张鸣等使用分子量为600万~1000万絮凝剂,研究絮凝剂对水泥净浆流动度的影响,试验发现水泥净浆流动度随着絮凝剂掺量的增加而降低。
混凝土用砂中残留的絮凝剂对混凝土拌合物性能影响,目前尚没有文献研究。故本次试验将以强度等级为C30的混凝土进行试验,研究絮凝剂对混凝土和易性和强度的影响。
1.1 水泥
使用都江堰拉法基水泥有限公司生产的P·O42.5R普通硅酸盐水泥,其性能如表1所示。

1.2 粉煤灰
粉煤灰选用成都博磊粉煤灰综合开发有限公司的Ⅰ级粉煤灰,其性能如表2所示。

1.3 磨细矿渣粉
矿粉选用峨眉山宏源资源循环开发有限公司S75级矿粉,其性能如表3所示。

1.4 泵送剂
选用北京中安远大科技发展有限公司ZA-I型聚羧酸高性能泵送剂,其性能指标见表4。
1.5 絮凝剂
选用某公司生产的聚丙烯酰胺(PAM)阴离子1200万分子量和800万分子量,以及聚氯化铝(PAC)。
选用阴离子1200万分子量的聚丙烯酰胺(PAM1)、阴离子分子量为800万的聚丙烯酰胺(PAM2)、聚氯化铝(PAC)按不同掺量加入C30混凝土中进行试验,配合比如表5所示。

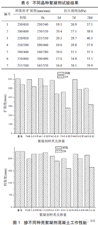
3.1 不同絮凝剂品种的试验结果
按方案进行试验,混凝土合易性及强度检测结果如表6,对比曲线如图1、2。


数据分析可知,加入PAM1后混凝土泵送剂用量保持不变,初始和易性变差,3h和易性与基准相差不大;PAC的掺入会影响泵送剂的掺量,使混凝土和易性下降,且经时损失大;PAM2掺量为0.01‰时,泵送剂掺量不变,混凝土和易性稍有下降,当PAM2掺量为0.02‰时,会提高泵送剂掺量,混凝土和易性下降,经时损失较大。
加入PAM1后混凝土强度有所提高,当其掺量为0.02‰时,28d强度较基准提高3.2MPa;当PAC掺量低于0.01‰时,其28d强度与不掺絮凝剂混凝土强度相当,当高于0.01‰时,会使混凝土强度降低;PAM2掺入会影响混凝土强度,使混凝土强度降低,PAM2掺量为0.01‰时,其28d强度比不掺絮凝剂混凝土强度低4.3MPa,PAM2掺量为0.02‰时,其28d强度比不掺絮凝剂混凝土强度低8.6MPa。
3.2 絮凝剂不同掺量的试验结果
按方案进行试验,混凝土和易性及强度检测结果如表7,对比曲线如图3、4。


数据分析可知,絮凝剂作用在混凝土中,当絮凝剂掺量低于0.02‰(与砂的比例)时,泵送剂掺量不会发生变化,同时能够提高混凝土的粘聚性;当絮凝剂掺量高于0.02%(与砂的比例)时,泵送剂掺量会随絮凝剂掺量的增加而增大,初始坍落度与扩展度会随着絮凝剂掺量的增加而降低,且混凝土粘聚性不佳。絮凝剂掺量越大,混凝土3h坍落度与扩展度经时损失越大。
絮凝剂掺量在0.02‰、0.03‰、0.05‰时,混凝土28d强度比不掺絮凝剂的混凝土强度高,掺量在0.03‰时,混凝土28d强度最高,为40.8MPa,比不掺絮凝剂的混凝土28d强度高3.7MPa;当絮凝剂掺量高于0.1‰时,混凝土28d强度呈下降的趋势。
低掺量的絮凝剂能够提升混凝土的强度,造成这一现象的原因主要是在混凝土中掺入低浓度的聚丙烯酰胺后,聚丙烯酰胺中的酰胺基团会在碱性条件下发生水解反应,导致酰胺基团分解为羧基和氨基两种官能团,其中氨基的引入在一定程度上会促进水泥的水化反应,提高混凝土早期和后期强度。而且适当的引入聚丙烯酰胺,其本身还能够起到一定的保水作用,能够较好地解决混凝土泌浆和泌水现象,提高混凝土和易性,但引入的聚丙烯酰胺浓度不易过大,因为如果聚丙烯酰胺掺入量过大,此时其本身具有极强的保水作用,会将大量自由水锁住,导致混凝土中的用水量不够,混凝土一方面损失会加快,另一方面没有足够的水供水泥水化反应,会直接导致混凝土强度受到较大的影响。
(1)絮凝剂会影响外泵送剂量以及混凝土的和易性,絮凝剂掺量越大对泵送剂掺量及混凝土和易性的影响越严重。
(2)低掺量的絮凝剂能够提高混凝土的粘聚性及强度。
(3)当阴离子分子量为1200万的聚丙烯酰胺掺量小于砂掺量的0.02‰时,不会影响泵送剂掺量及混凝土和易性,3h经时损失正常,还会改善混凝土和易性;低掺量的絮凝剂还能够提高混凝土强度。
(4)当阴离子分子量为1200万的聚丙烯酰胺掺量高于0.02‰时,泵送剂掺量会随着其掺量的升高而增大,混凝土的和易性会随着其掺量的升高而下降。
(5)阴离子分子量为800万的聚丙烯酰胺掺入会影响泵送剂掺量及混凝土和易性。
内容源于网络,如有侵权,请联系删除
相关资料推荐:
知识点:絮凝剂对混凝土和易性和强度的影响
0人已收藏
0人已打赏
免费4人已点赞
分享
混凝土结构
返回版块140.17 万条内容 · 2213 人订阅
阅读下一篇
混凝土的和易性或稠度是什么?混凝土的稠度或称为和易性是一个综合技术指标,通常包括三方面的含义:流动性、黏聚性和保水性。 (1)流动性:指混凝土混合物在本身自重作用下或机械振捣下,能够流动并均匀密实填满模板的性质。流动性大小与加水量、砂率等有关。 (2)黏聚性:是指混凝土混合物具有一定内聚力,使运输、浇灌、捣实过程中不致产生分层、离析泌水。黏聚性大小与水泥浆用量及配合比有关。 (3)保水性:混凝土保持水分不易析出的能力。混凝土拌和时加入的水包括两部分,一部分是保证水泥水化所需水量,约占拌和水量的17%~20%,这部分水与水泥水化物形成晶体永存于混凝土内;另一部分是为使混凝土拌和物有足够流动性,便于浇筑所需的水量,当混凝土保水性差时,在混凝土输送、浇筑中,在凝结硬化前这部分水很容易聚集到混凝土表面,引起表面酥松或积聚在集料或钢筋的下方形成孔隙,削弱集料或钢筋与水泥石的黏结力。
回帖成功
经验值 +10
全部回复(0 )
只看楼主 我来说两句抢沙发