污泥是污水处理过程的副产物,包括筛余物、沉泥、浮渣和剩余污泥等。污泥体积约占处理水量的0.3%~0.5%左右,如水进行深度处理,污泥量还可能增加0.5~1倍。
1、按成分不同分
污泥:以有机物为主要成分。其主要性质是易于腐化发臭,颗粒较细,比重较小(约为1.02~1.006),含水率高且不易脱水,属于胶状结构的亲水性物质。初次沉淀池与二次沉淀池的沉淀物均属污泥。
沉渣:以无机物为主要成分。其主要是颗粒较粗,比重较大(约为2左右),含水率较低且易于脱水,流动性差。沉砂池与某些工业废水处理沉淀池的沉淀物属沉渣。
2、按来源不同分
初次沉淀污泥(也称生污泥或新鲜污泥):来自初次沉淀池。
剩余活性污泥(也称生污泥或新鲜污泥):来自活性污泥法后的二次沉淀池。
腐殖污泥(也称生污泥或新鲜污泥):来自生物膜法后的二次沉淀池。
消化污泥(也称熟污泥):生污泥经厌氧消化或好氧消化处理后的污泥。
化学污泥(也称化学沉渣):用化学沉淀法处理污水后产生的沉淀物。例如,用混凝沉淀法去除污水中的磷;投加硫化物去除污水中的重金属离子;投加石灰中和酸性污水产生的沉渣以及酸、碱污水中和处理产生的沉渣等均称为化学污泥。
3、城市污水厂污泥的特性见表
表 城市污水处理厂污泥的性质和数量
污泥种类 |
污泥量 g/(L.d) |
含水率 % |
相对密度 |
比阻 s2/g |
沉砂池沉渣 |
0.03(L/m3) |
60 |
1.5 |
|
初沉池污泥 |
14~25 |
95~97.5 |
1.015~1.02 |
(1.31~2.11)×1010 |
活性污泥法污泥 |
7~19 |
96~98 |
1.02 |
2.80×1010 |
生物膜法污泥 |
10~21 |
99.2~99.6 |
1.005~1.008 |
4、污泥中水的存在形式
空隙水,颗粒间隙中的游离水,约70%,可通过重力沉淀(浓缩压密)而分离;
毛细水,是在高度密集的细小污泥颗粒周围的水,由毛细管现象而形成的,约20%,可通过施加离心力、负压力等外力,破坏毛细管表面张力和凝聚力的作用力而分离;
颗粒表面吸附水和内部结合水,约10%。表面吸附水是在污泥颗粒表面附着的水分,起附着力较强,常在胶体状颗粒,生物污泥等固体表面上出现,采用混凝方法,通过胶体颗粒相互絮凝,排除附着表面的水分;内部结合水,是污泥颗粒内部结合的水分,如生物污泥中细胞内部水分,无机污泥中金属化合物所带的结晶水等,可通过生物分离或热力方法去除。
通常含水率在85%以上时,污泥呈流态;65%~85%时呈塑态;低于60%时则呈固态。
城市污水处理产生的污泥主要是初沉池污泥和活性污泥(剩余污泥量),计算方法如下:
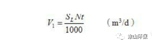
1、初沉污泥体积流量V1

式中:
Q——污水流量,取污水厂的平均日流量,m 3 /d;
C——进入初沉池污水中悬浮物浓度,kg/m 3 ;
η ——初沉池沉淀效率(城市污水厂一般取50%),%;
P1——污泥含水率(一般取95%-97%),%;
ρ ——初沉池污泥浓度(以1000kg/m 3 计),kg/m 3 。
或者按下面公式计算:

式中:
SL——每人每日污泥量[按每人每日计产生的初沉污泥量为 14-27g,初沉污泥含水率以 95%-97%计,则每人每日产生初沉污泥量一般采用0.3-0.8L/(人·d)],L/(人·d);
N——设计人口数(可采用城市人口数或污水处理厂设计当量人口数),人;
t——初沉池两次排泥的间隔时间,d。
应注意V1 是计算公式中所取定含水率P1 时的污泥量。
2、剩余污泥体积流量V2
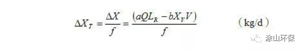
(1)剩余污泥干质量Δ XT
每日排除剩余污泥干重Δ XT(kg/d)等于活性污泥系统中每日产生的活性污泥干质量。

式中:
Δ X——挥发性物质基污水厂剩余污泥流量,kg/d;
Q——平均体积流量,m 3 /d;
a、b——污泥产率系数和污泥自身氧率,以生活污水为主的城市污水,一般为0.5-0.6,为0.06-0.1/d;
LR——曝气池进水BOD5 浓度差,kg/m 3 ;
XV——曝气池混合液挥发性悬浮物固体浓度,kg/m 3 ;
V——曝气池容积,m 3 ;
f——曝气池挥发性悬浮固体和悬浮固体浓度值比,
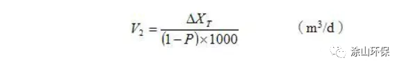
(2)剩余污泥的体积量V2

式中:
P 为剩余污泥含水率,取99.2%-96%。
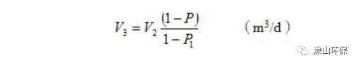
3、浓缩剩余污泥体积流量V3

式中:
V2——浓缩前的污泥量;
P,P1——浓缩前、后的污泥含水率,可分别取99.2%和96%。
推荐资料(点击文字跳转):
知识点:城市污水处理厂产泥量的计算
0人已收藏
0人已打赏
免费1人已点赞
分享
污泥处理
返回版块2.77 万条内容 · 318 人订阅
阅读下一篇
活性污泥为什么是带负电荷的?活性污泥表面带负电荷,物化污泥带正电荷,是很多人知道的,所以生化产生的污泥选择阳离子絮凝剂,物化泥选用阴离子絮凝剂。但是活性污泥为什么带负电荷?这跟活性污泥的主要组成细菌有关系,细菌的电荷决定了活性污泥的电荷,本文带你全面解析细菌带电荷的原理!
回帖成功
经验值 +10
全部回复(1 )
只看楼主 我来说两句 抢板凳产泥量计算比较实用,学习啦,谢谢楼主分享。
回复 举报