不同后续使用年限的地震作用计算理论
引言
我国早期的鉴定标准对地震作用的折减系数采用的专家经验系数法,对于地震中易发生破坏或倒塌的结构采用较大的折减系数,对破坏影响不大的结构采用较小的折减系数。95标准实施后,中国建筑科学研究院有限公司工程抗震研究所进行了长达20年的探索研究,发展了不同后续使用年限的地震作用计算理论,这一时期笔者将其划分为三个阶段。

戴国莹等提出了“抗震鉴定与加固时可考虑后续设计工作寿命期的不同建立相应的鉴定用地震动参数。新建工程系按50年设计工作寿命期内超越概率10%确定其设计所用的抗震设防烈度,对于已经使用了T1年的现有建筑,可按(50-T1)年内超越概率10%确定其鉴定与加固时所用的设防烈度,再确定对应的地震动参数”的重要思想,为地震作用的计算奠定了理论基础,从而使地震作用的折减系数的专家经验法过渡到半经验半理论方法。
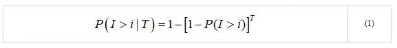
戴国莹先生在这一阶段的重要贡献在于,借助于地震危险性分析,在潜在震源、地震活动性、衰减规律的基础上,可得到某个地区以年超越概率P(I>i)表示的地震危险性,再根据给定期限T年内发生大于某一烈度的超越概率P(I>i|T)与年超越概率的关系:
就可以得到不同期限内在给定超越概率下的地震烈度。
但上述观点也存在着一些问题:⑴用结构的剩余使用年限代替后续使用年限;⑵根据剩余使用年限折减设防烈度,进而对地震作用进行折减。
以北京地区为例,已经使用了20年建筑,烈度降0.3、地震作用可取0.8的折减系数,使用了30年的建筑烈度降0.8、地震作用折减系数可取0.57!
毋剑平等基于我国华北、西北和西南45个城镇以及新疆地区20个城镇的地震危险性分析结果,提出50年地震烈度的概率符合极值Ⅲ型分布,可以表达为:
可以推出任意t年内的地震概率同样也符合极值Ⅲ型分布,表达为:
概率分布函数与超越概率的关系:
这样就可以得到不同期限内在给定概率下的地震烈度,从而确定不同使用年限所对应的地震作用的参数。分别求出45城镇在不同设计使用年限内超越概率为63.2%的地震的烈度,然后分别对6、7、8、9度区取平均值,得出不同基本烈度地区在不同设计使用年限内超越概率为63.2%的众值地震烈度。
有了不同后续使用年限的小震烈度,采用刘恢先教授给出了地面运动加速度峰值与基本烈度的关系式就可以设计基准期50年为基准,不同设计使用年限的地震动参数比值见表1(现行标准的取值依据),相应的曲线见图1。
白雪霜等按照等超越概率原则确定了不同后续使用年限在不同设防水准下(小震、中震、大震)等效超越概率、地震动参数(水平地震影响系数、地面峰值加速度)的取值,并给出了三水准的地震作用折减系数建议值(见表2与图2)。
以往的地震作用调整系数均是先对设防烈度进行调整,然后根据调整后的设防烈度确定地震作用。然而作为工程技术人员更为关心的是直接可用于设计的地震作用,众多学者的研究表明:地震作用服从极值Ⅱ型分布,地震烈度服从极值Ⅲ型分布。
⑴地震作用分布规律
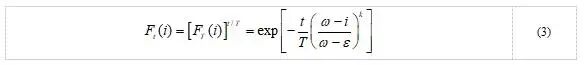
程绍革等研究了点震源、线震源、面震源及复合震源的地震发震机制及传播规律,推导出地震动参数的累积分布函数可统一表达为:
上式中指数k ?0,说明地震作用的确服从极值Ⅱ型分布。
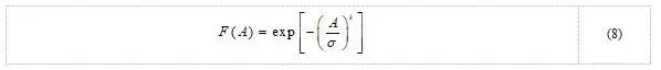
此外,对我国大陆地区1913~1963年、1967~2016年两50年间的最大震级地震及相应的烈度和地面峰值加速度进行了数据拟合。地震烈度分布的拟合公式见式(6),指数项大于零,说明地震烈度服从极值Ⅲ型分布;地面峰值加速度的拟合公式见式(7),指数项小于零。因此,从实际地震的数据拟合也证明了极值分布规律。
第二步:计算以50年为基准期的不同设计使用年限的等效超越概率
第三步:计算三水准地面峰值加速度
第四步:以50年为基准期计算地震作用调整系数
显然,调整系数与设防水准无关(与“解梦”阶段研究结果不同),烈度影响参数k影响不大,主要与设计使用年限有关,不同设计使用年限的地震作用调整系数结果见表3。

知识点:不同后续使用年限的地震作用计算理论
来源:CECS抗震专业委员会
0人已收藏
0人已打赏
免费0人已点赞
分享
建筑规范
返回版块34.61 万条内容 · 519 人订阅
阅读下一篇
我国各时期鉴定标准关于地震作用的折减方法我国各时期鉴定标准关于地震作用的折减方法 引言 我国的抗震鉴定标准经历了75、77、95和09四个正式版本,各版本的标准中均认为既有建筑的抗震鉴定不能按新建工程对待,在抗震验算时应对地震作用进行折减,但在表达方式上是不同的。
回帖成功
经验值 +10
全部回复(0 )
只看楼主 我来说两句抢沙发