注:本文提到的效率系数ηs 来源于王峰老师《给水系统节能系数的判别方法——效率系数ηs的提出》一文,该文由王峰老师发表在《给水排水》杂志2011年第5期,关于效率系数的计算公式及介绍摘自该文,仅供给排水同行学习参考,如有侵权,请联系删除。
效率系数这一概念让给水系统的节能性判断有了可以量化计算的基础,指明了节能设计的路径。
本文在原公式基础上进行了局部修改、解释及拓展,如有不对的地方,欢迎大家批评指正,除引用部分外,其余部分为个人解读与应用,所有观点均只代表个人意见,观点的正确与否,请读者朋友们自己甄别、判断。
导读:超高层建筑给水系统,在设计上有诸多方式,如采用管网叠压供水、设置中间水箱全重力供水,或设置中间水泵、中间水箱接力供水等,在实际应用中,较多采用设置中间水箱的方式,至于重力供水和加压供水的范围,不同项目有不同,在分析究竟采用哪种方式之前,我觉得必须要厘清高位水箱重力供水和变频供水设备加压供水之间的差异,尤其是了解对两种方式节能性的评价,才能帮助我们有效地进行系统选择。
摘要
①1kWh=367.2吨.米 或 1吨.米=0.0027kWh
在零机械损耗时,耗电1kW.h可以将1m?的水提升至367.3m,或将367.3m?的水提升1m。将1m?水提升1m(单位高度体积:m?.m)需要消耗有效功率为0.0027kWh。
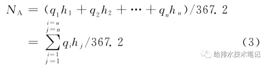
②
(用户获得的实际功效之和的折合电量)计算公式简化:
A.当水泵供水区域标高范围为0~H(不分区供水),则:
=Q*[H/2+hf]/367.2
B.当水泵供水范围为竖向一部分楼层时(分区供水),假设该泵组供水标高范围为H’~H‘’,则
=Q*[(H’+H‘’)/2+hf]/367.2
C.当供水区域为某一固定标高时(例如水泵向屋顶水箱供水时,出水口为固定标高),H1=Hn=H,则:
=Q*[H+hf]/367.2
1、给水系统效率系数ηs的引入及解析
《给水系统节能系数的判别方法——效率系数ηs的提出》部分内容(原作者:王峰):
引用如下:“



”“”
“
解析(个人观点):
1)用户获得的实际功效之和的折合电量
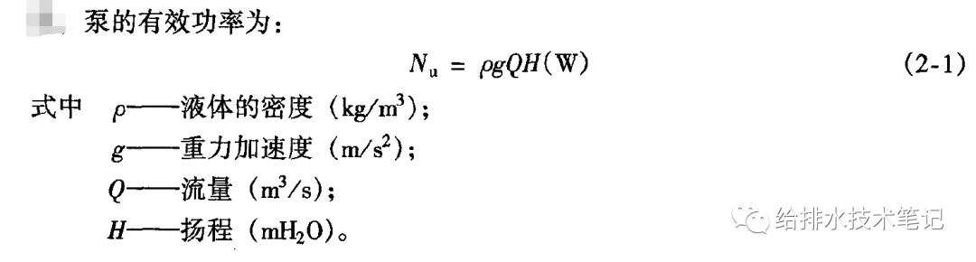
的计算公式脱胎于水泵有效功率的计算公式,本的有效功率计算公式如下(摘自大学教材《泵与泵站》第五版本-P15):


1kw=1000W=1000j/s=1000nm/s (注:1N=1/9.8kg≈0.102kg)
=1000*0.102kg.m/s
=102kgm/s,则:
1kWh=102kgm/s*3600s
=367.2×1000kg.m
=367.2(吨.米)
即: 1吨.米=0.0027kWh,其含义为:
在零机械损耗时,耗电1kW.h可以将1m?的水提升至367.3m,或将367.3m?的水提升1m。将1m?水提升1m(单位高度体积:m?.m)需要消耗的电能为0.0027kWh。
故:要计算折合电量
。只需要将提升至不同高度的流量与相应不同供水高度的乘积求和,然后除以367.2(吨.米)即可。
2)
的计算公式:

解析:
① 括号里的内容表示该泵组供水区域内各给水点有效供水扬程与供水量的乘积之和,有效供水扬程等于水泵供水至该点的高差(分别定为H1、H2、...、Hn)加楼层出流水头hf,为简化计算,各层出流水头hf均按最不利楼层出流水头考虑。各楼层给水压力差值很小,超0.2MPa时一般都设有减压阀减压,可近似计算,所以:
H1=h1-hf,H2=h2-hf,...、Hn=hn-hf,假设H1≤H2...≤Hn, H表示水泵供水的静扬程(给水最高点与水泵出水口高差),则:
A.当水泵供水区域标高范围为0~H,则H1=0,Hn=H。
B.当水泵供水范围为竖向一部分楼层时,假设供水分区标高范围为H’~H‘’,则H1=H’ , Hn=H‘’=H。
C.当供水区域为某一固定标高时,H1=H2=...=Hn=H
②按每层均为标准层、且每层供水量一致考虑,q1=q2=...=qn=q(q1、q2、...、qn表示各楼层供水量),且q1+q2+q3...+qn=nq=Q (Q-泵组总供水量),则:
q1*h1+q2*h2+...+qn*hn
=q(h1+h2+...+hn)
=q(H1+H2+Hn+n*hf)
=[Q/n]*[(H1+Hn)n/2+n*hf]
=Q*[(H1+Hn)/2+hf]
③ 则简化过后的计算公式:
=Q*[(H1+Hn)/2+hf]/367.2
式中:
H1——水泵供水范围内最低点与水泵出口高差;
Hn——水泵供水范围内最高点与水泵出口高差;
hf——最不利楼层出流水头。
(H1+Hn)/2可理解为该泵组供水平均静扬程(供水区域几何中心与水泵出水口高差),而(H1+Hn)/2+hf可理解为该泵组供水平均有效供水扬程。
A.当水泵供水区域标高范围为0~H(不分区供水),则:
=Q*[H/2+hf]/367.2 (公式1)
B.当水泵供水范围为竖向一部分楼层时(分区供水),假设该泵组供水标高范围为H’~H‘’,则
=Q*[(H’+H‘’)/2+hf]/367.2(公式2)
C.当供水区域为某一固定标高时(例如水泵向屋顶水箱供水时,出水口为固定标高),H1=Hn=H,则:
=Q*[H+hf]/367.2 (公式3)
3)给水系统效率系数ηs的应用

的计算过程虽然进行过简化和近似处理,但不影响对系统节能性的评价,简化系统,更容易计算,也更便于分析和判断。
为提升相应水量至相应高度(获得
)的实际耗电量,此耗电量应根据实际工程测算。但ηs的大小与给水系统设计的合理性息息相关,包括系统是否分区、分区高度是否合理、水泵流量、扬程参数配置的合理性、是否采用了高效率水泵及电机、是否设置辅泵及气压罐、是否为全变频设备等,要获得客观的评价结论,实测项目必须基于合理的设计,在无法确定实际工程设计的合理性和未基于大量统计数据之前,不能妄下定论,但可先进行合理分析和近似估算。
2、水泵变频运行节能原理及分析
1)问题
“变频调速二次供水技术以及其供水压力稳定、卫生、节能等优势逐步替代了水泵水塔、水泵屋顶水箱及气压供水等供水方式,成为二次供水的首选方案”,这段话来自于《二次供水供水工程设计手册》,但实际去搜索相关话题的论文,大多数文章都对变频供水设备的节能性存在质疑,甚至认为变频水泵节能是伪命题,并有相关文章根据部分小区实测结果断定变频供水设备相对于水泵-屋顶水箱系统更加耗能,而且甚至是2倍以上,但个人分析发现,很多论文或实测情况存在以下缺乏考量的地方:
① 采用的供水设备非数字集成全变频供水设备,多数分析的文章时间相对久远,有些是10年甚至十几年前撰写的,多数文章还停留在单变频或多变频给水设备,而当今给水设备更迭迅速,变频控制技术由单片机PLC微机控制发展到数字集成全变频控制技术,无论从控制精度、控制有效性,还是从经济性、节能能力都有了很大的发展。
《【GB/T 37892-2019】数字集成全变频控制恒压供水设备》为全变频给水设备首次制定的产品标准,该标准于2020年7月1日实施,实施不过半年左右,而相关技术规范及安装图集也才实施5~6年,不管是实测项目还是相关论文讨论的基础就不是全变频供水,评价结果难免出现偏差。
② 水泵选型的合理性未明确,未交待系统设计参数,未交待水泵性能要求,仅通过满足系统设计流量的水泵来分析系统能耗,且能耗分析过程过于含糊,水泵性能曲线和流量扬程曲线不够明确或不够合理。
③ 多数文章中未明确给水系统分区设计内容,未综合各个分区的能耗测算平均能耗,而分区设计是个人认为节约系统能耗最重要的一环,如果没有从系统分区上来评测系统的节能性,评价结果的公正性,将大打折扣。
④ 部分文章分析的逻辑性存在问题,给水设备的节能性都是相对的,必须有参照对象,变频供水设备的节能判断参照对象为“工频泵直接往管网供水”的方式,而不是和“工频泵-屋顶水箱”重力给水系统进行直接比较,不应混淆两者的区别。
2)数字集成全变频供水设备
① 概述
数字集成全变频供水技术,是二次公司供水领域应用变频调速恒压供水设备在变频控制技术和研发进程中的最新成果,该技术将变频调速、PID(比例、微分、积分)控制技术以及水泵运行控制所用到的其他功能集成于一体,而且不像微机控制那样需要二次编程,其采用相互通信功能的全变频控制技术,实现多泵同步、同频、均效运行,克服传统设备中多台泵并联运行时,有水泵运行偏离高效工况区的弊端,在同等工况下可节能10%左右的运行能耗。数字集成全变频供水设备的发展经历早期单变频、中期多变频及近期全变频,设备运行更加安全可靠、高效节能,更便捷人性化,本文仅对数字集成全变频供水设备进行讨论。
② 运行原理
系统用水时,数字集成全变频供水设备第1台水泵变频启动运行,随着用户用水量的不算增加,当第1台水泵变频运行不能简历稳定的系统供水压力时,逐渐上升运行频率,直到两台水泵运行频率一致。当两台水泵投入运行仍未达到设定值,则变频启动第2台水泵,并由低的运行频率逐渐上升,第1台工频运行水泵则降频,直到两台水泵运行频率一致。当两台水泵投入运行仍未建立稳定的供水压力时,则两台水泵同步上升运行频率,直到两台水泵均达到工频状态。如两台工频运行的水泵仍未建立稳定的系统压力,则变频启动第3台水泵,也由低的运行频率逐步上升,第1、2台水泵则逐渐下降运行频率,直到地3台水泵运行频率一致...。反之,当系统用水需求减少,则运行水泵同步下调运行频率,当运行频率低于一定值时,系统会自动停止一台运行的水泵,直到所有水泵停机休眠。依次类推,周而复始。
③ 设备特点
A.采用集成式专用功率电路,解决了传统二次供水设备控制回路复杂、继电器故障率高、元件寿命低、安全隐患多的问题,采用半导体器件代替继电器电路,故障概率降低80%。
B.集成式PID控制器的创新应用,解决了主控单元的标准化,不在另设可编程控制器PLC,不再需要二次编程,解决了维护和维修或功能扩展时需要依赖弱电工程师更改PLC控制程序的问题,降低了对操作使用人员的专业技术要求。
C.系统模块化(水泵专用变频控制器),将变频器封装在一个防护等级达到IP55的壳体内,解决了水泵变频控制与水泵的集成安全一体化问题,通过铝合金散热结构设计,解决了变频控制器的散热问题。
D.各泵效率均摊,节约运行能耗。
E.水泵专用变频控制器组成的系统变频给水系统,其工作主泵、备用泵、辅助小流量泵每台均配有独立的变频控制器,可以多台并联运行。
F.可实现对供水水质监测、智慧水务综合信息远程管理与数据分析,以及扩展其他需要的功能。
④ 设计要求
A.《数字集成全变频恒压供水设备应用技术规程》2015:
a.应设2台或2台以上的工作水泵,但不宜多于5台。(第3.1.4条)
b.数字集成水泵专用变频控制器的防护等级应为IP55,输出频率应为0.05~50Hz,频率精度显示应为0.1Hz。(第3.3.4条)
B.《建筑给水排水设计标准》2019:
a.工作水泵的数量应根据系统设计流量和水泵高效区段流量的变化曲线经计算确定。
说明:
缺乏相关资料时可按以下要求确定:当系统供水量小于15m?~20m?/h时,可配置2台工作泵,当系统供水量大于20m?/h,可配置2~5台工作泵,单泵流量不宜大于20m?/h。
b.变频调速泵在额定转速时的工作点,应位于水泵高效区的末端。
说明:
变频水泵大部分时段的运行工况小于“设计秒流量”工作点,为使水泵在高效区运行,此时总出水量对应的单泵工作点应处于水泵高效区的末端。
C.其他要求
a.设计中,应考虑节能设计要求,宜在图中标明:“所选用的水泵最低效率应达到节能评价值”,如不考虑节能认证时,则应该达到水泵效能限定值和目标能效限定值。
b.在选择生活给水系统加压水泵时,应先根据给水系统的计算确定水泵所需的流量、扬程,在根据水泵在该点的目标能效值或节能评价值,推算出所需的输入功率,从而向电气专业提资。
c.在实际选泵时,应根据设计流量、扬程、泵转速,计算水泵的比转数,查水泵效率修正值,再通过目标限定值和节能评价值减去修正值后,得到水泵的设计效率。
d.水泵能效评定参见国家标准《清水离心泵能效限定值及节能评价值》GB19762-2007中的相关要求,水泵的设计效率计算可参见此规范附录 B:泵目标能效限定值计算方法示例。
e.数字集成全变频恒压供水设备采用的电机应符合现行国家标准《中小型三相异步电动机能效限定值及能效等级》GN18163的能效要求。
未完待续~
相关资料推荐:
变频恒压供水系统成套设计图纸(共8张图)
https://ziliao.co188.com/d62746102.html
知识点:变频供水系统节能性分析
0人已收藏
0人已打赏
免费3人已点赞
分享
建筑给排水
返回版块47.29 万条内容 · 1371 人订阅
回帖成功
经验值 +10
全部回复(0 )
只看楼主 我来说两句抢沙发