
一、工艺能耗
1、污水处理工艺
污水处理的主要工艺有A/O工艺、A2/O工艺、氧化沟工艺、SBR工艺及由此引发出来的其他改进工艺。
市政污水处理厂的一般流程是:进水→粗格栅→污水提升泵站→细格栅→沉砂池→初次沉淀池→好氧活性污泥处理→二次沉淀池→消毒池→出水。
污水处理通常可分为预处理、生化处理和污泥处理三个单元,见图2。

预处理单元包括格栅、提升泵、沉砂池等,主要用于污水的提升及渣、沙等的去除,为生化处理创造条件。生化处理单元主要包括曝气系统、回流系统和二次沉淀池,用于有机物、氨氮等的去除。污泥处理单元包括浓缩机、脱水机、出泥泵等,将剩余污泥脱水外运。
不同处理单元的构造和运行模式不同,因而其能耗计算就需要根据能耗分布特点选择合适的方法。
2、能耗分布
市政污水处理厂消耗的能源主要包括电能、燃料及药剂等潜在能源。其中,电耗占总能耗的60%~90% 。
电能的消耗主要用在污水和污泥的提升、生物处理的供氧和回流、污泥的稳定和处理等方面。不同地区、不同规模污水处理厂处理单元的能耗分布见表1。

由表1可知,生化处理是污水厂能量消耗的主要部分。其中,鼓风曝气能耗最大,一般约占到50%;污水提升过程也是能量消耗的重要环节,其能耗约占全厂能耗的20%。
因此,污水提升和鼓风曝气是需要重点关注的节能环节。有效降低污水处理能耗,首先要对耗能分布、耗能量进行调查分析,并根据不同的处理阶段选取相应的能耗计量方法进行评估;最终,结合不同阶段的能耗特点给出行之有效的调整方案。因而,污水厂的节能应该从各处理单元与设备中挖掘并进行优化配置。
二、能耗技术方法和公式
污水处理工艺通常分为预处理、生化处理、污泥处理这三个单元,每个处理单元的耗能情况不尽相同,需要针对每个单元的工艺运行特点选择相应的能耗计算方法对其能耗进行评估和预算。
1、预处理单元
污水提升泵是污水处理厂预处理单元耗能最大的部分,其电耗约占全厂电耗的20%。该部分的能耗计算公式较少,形式也大同小异。
1)污水提升泵电耗的计算式:

式中:W表示电机实际电耗,kWh;
ρ为污水的密度,取1.0×103kg/m3;
g为重力加速度,取9.81m/s2;
Q为污水泵的实际流量,m3/s;
H为污水泵的实际工作扬程,m;
η1为水泵的效率,取0.65~0.85;
η2为电机的效率,取0.95。
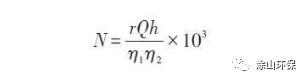
2)提升泵能量估算公式:

式中:h为实际污水提升高度,m;
N为配用电机功率,kW;
r=ρg,取9.8×103N/m3。
式(1)和式(2)计算简便、准确,在实际工作中应用较为广泛。同时可以看出,上述提升泵的实际工作扬程对污水提升泵能耗计算影响较大。
可以通过降低泵扬程来节能降耗的措施。另外,采用变频控制方式控制泵房液位,可以提高泵的工作效率,保证稳定的进水。
2、生化处理单元
污水处理过程中,生化处理阶段能耗最大的是曝气系统,约占总能耗的50%。曝气系统采用的曝气方式主要分为两类:鼓风曝气和表面曝气。
目前,比较常用的曝气方式是鼓风曝气。鼓风曝气的原理是将压缩空气通过管道系统送入池底的空气扩散装置,并以气泡的形式扩散到混合液中,使气泡中的氧迅速转移到液相供微生物需要。因而,要想确定实际运行中曝气系统的能耗利用效率,就要计算系统供气量和实际需氧量之间的关系。
1)两者之比越趋近于1越好,过大耗能较大,过小反而导致出水不达标。根据曝气池供气量GS=R0/0.3EA,延克军给出了简化的供气量计算式:
鼓风曝气:

表面曝气:

式中:α=0.8~0.85;β=0.9~0.97;
EA为氧转化效率;
R为任意状态下的需氧量,m3/h。
式(3)和式(4)简化了繁琐的计算环节。在混合液温度为15~30℃时,采用上述公式比较简单,且可使混合液溶解氧浓度保持在1.5~2.0mg/L。
2)然而,对于其他条件下供气量的计算不适用。鉴于上述公式的条件限制,综合表面曝气和鼓风曝气装置竖向位置不同带来的影响,《给水排水设计手册》给出了实际传氧速率N的换算公式:
鼓风曝气:

表面曝气:

式中:N0为标准传氧速率,kg/h;
CO为混合液剩余DO值,一般用2mg/L;
T为混合液温度,一般为5~30℃;
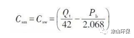
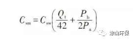
Csm是清水平均溶解氧值,mg/L;
Csw是清水表面处饱和溶解氧,mg/L;
Csm和Csw可以相互换算:

式中:Qt为曝气池逸出气体中含氧量百分率;
Pb为装曝气装置处的绝对压力,kg/cm2。
该公式的精度较低,适用于准确度要求不高的工程计算。
(7)的修正公式为:

采用式(7)计算时,鼓风机功率及曝气装置数量均大于采用式(8)的计算值,将造成工程投资及运行费用的增加。采用修正后的计算公式,大大降低了工程投资及运行费用。
实际工程设计中可根据供气量和风压值计算鼓风机功率:

式中:Qt为曝气池逸出气体中含氧量百分率;
Pb为装曝气装置处的绝对压力,kg/cm2;
Pa为当地大气压力,kg/cm2;
P为鼓风机计算功率,kW;
n为风机效率,一般取0.7~0.8;
P′为鼓风机出日计算升压,kg/cm2;
W为鼓风机消耗的电能,kWh;
t为鼓风机工作的时间,h。
公式(8)对于平原地区的工程计算是通用的,应用也较为广泛。
平原地区和高原地区的(标准大气压)供气量计算式:
平原地区:

高原地区:

式中:GS为供气量,m3/h;
R0为20℃条件下脱氧清水的充氧量,kg/h;
EA为氧转移效率。
通过供气量计算公式可以看出,供气量的计算原理相差不大,但在不同工程中的计算效率和准确度却不同。在实际工程设计和测量中,需根据实际情况选择合适的公式。
3、污泥处理单元
污泥处理是污水处理厂过程中的最后一个单元。该阶段耗能大约占污水厂运行全部能耗的11%,其能耗主要体现在污泥、药和设备三个方面。因而,该部分的耗能不容忽视,其能耗的大小主要由污泥产量的多少决定。
1)每日增长的挥发性污泥量的计算式:

式中:ΔX为每日增长的挥发性污泥量,kg/d;
Y为产率系数;
Kd为衰减系数,d-1;
Q为每日处理污水量,m3/d;Sa为进入曝气池的污水中含有有机污染物的浓度,kg/m3;
Se为经生化处理后水中残留的有机污染物的浓度,kg/m3;
V为生化池的有效容积,m3;Xv为混合液中挥发性悬浮固体量,kg/m3。
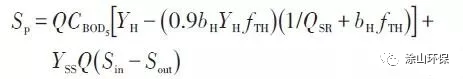
系统剩余污泥量的计算式:

式中:YH为异养微生物的增殖率,取0.5~0.6;
bH为异养微生物的内源呼吸速率,bH=0.08d-1;
fTH为温度修正系数;
YSS为不能水解的悬浮固体率;
Sin和Sout分别为反应池进水和出水的悬浮固体浓度。
式(13)和式(14)计算详细,准确度高。然而由于公式中的变量较多,且中间系数不易取得,应用范围受到限制。
2)为了更好地计算污泥量,可以采用干污泥量计算公式:

式中:S为干泥量,t/h;
C0为原水浊度设计取值,NTU;
K1为原水浊度单位NTU与悬浮物SS单位mg/L的换算系数,应经过实测确定;
D为药剂投加量,mg/L;
K2为药剂转化成泥量的系数。
式(15)计算准确、简便,应用较多,尤其适用于污水厂排泥系统的设计应用。污泥脱水作为污泥处理的关键技术,其电耗计算式为:

式中:W为水泵及电机节约电耗,kWh;
tds为脱水的干固体重量,t/h;t3为脱水机每天工作时间,h;
b为比能耗,kWh/tds。
式(16)计算简便,变量少且易于取得,应用起来较为方便,更适合污泥处理阶段电能的估算。
三、实际案例
以某污水处理厂数据为例,根据参数采集情况,选择适合的前述公式进行能耗计算。该污水处理厂一期工程2010年开始投入使用,采用A/O工艺对污水进行生物处理后再经人工湿地生态处理。处理污水主要来源于综合生活污水和部分工业废水。日处理规模为1.5万m3/d。
下面结合该厂的相关运行参数,分别从预处理、生化处理、污泥处理三个单元给出能耗计算结果。
1、预处理单元单泵参数如下:
设计流量Q=320m3/h=0.09m3/s,水泵实际扬程H=3m,取η1=0.7,η2=0.95。
正常运行时,平均日工作时2台泵工作,最大日工作时3台泵工作,雨季4台泵同时工作。取平均日工作时(8h)为例,应用式(1)计算能耗,计算结果为624.7845kWh。
2、生化处理单元鼓风机设计参数如下:
流量GS=20.8m3/min=1248m3/h,升压P′=60kPa=0.61kg/cm2,风机效率n=0.88。
正常运行时,通过生化池内的溶解氧浓度控制风机的开启台数,多数情况是3用1备,应用式(9)和式(10)计算电耗,计算结果为2391.8kWh。
3、污泥处理单元
污泥处理采用带式浓缩脱水一体机(1台)进行脱水,每天工作6h。其脱水的污泥干重tds=7.50t/h,比能耗b=3.07kWh/tds,脱水机每天工作时间t3=10h。
正常运行时,通过生化池内的溶解氧浓度控制风机的开启台数,多数情况是3用1备,应用式(16)计算电耗,计算结果为230.25kWh。
计算能耗与实际能耗的对比结果如下:

由表2可以看出,计算能耗和实际能耗稍有差别。首先,预处理单元中,提升泵能耗的计算值比实际值偏小些。
这是由于计算过程中水泵的效率 η1 和电机的效率 η2 取的实际工程计算中常用的固定值导致的。在实际工程计算中,如果能较为准确地知道其确定值,可更准确地计算其能耗值。
其次,生化处理单元中,鼓风机能耗的计算比实际值偏大些,这是由于计算过程中的参数值大多使用的是设计值(高于实际值)。由于表2中的实际能耗是根据全厂日平均能耗与各部分耗能比例计算而得,因而计算值和实际值出现微小的偏差是正常的。通过对比相同条件下污水处理各单元实际耗能情况和正常耗能情况的差距,寻找最具调控潜力的耗能设备,进行调控。
由表2可知,该污水厂最具调控潜力的耗能设备是生化处理单元的鼓风机。鉴于不同季节的污染物构成及其成分比重不同,尤其是有机物的浓度相差较大,冬季高于夏季,春、秋介于冬夏之间。当有机物浓度发生变化时,应根据有机物的实际需氧量调整曝气量的大小。该厂处于北方地区,冬季降水较少,日污水处理量变动小,可适当调整污水提升范围,减少能耗。
推荐资料(点击文字跳转):
知识点:污水处理厂电量消耗的分布及计算方法
0人已收藏
0人已打赏
免费0人已点赞
分享
环保大厅
返回版块5354 条内容 · 77 人订阅
阅读下一篇
潜水泵的配套电缆接线方法及选型电缆的接线方法 1、剥去水泵电缆的外层护套及主绝缘层,露出铜线35-40mm,将靠近线芯部分的橡胶修成锥形,把线芯上的氧化层打磨干净,并用酒精(最好用盐酸)擦净线芯及待包扎的绝缘层、护套层并使其自然干燥。 2、接头 1)动力电缆 2)聚氯乙烯粘带 3)自粘性丁基橡胶带 4)φ1mm铜线 5)焊锡 6)引出电缆 3、准备好500W电烙铁、松香、焊锡、lmm裸铜线及绝缘带。
回帖成功
经验值 +10
全部回复(0 )
只看楼主 我来说两句抢沙发