结构概念设计要求,不但应保证连梁在地震作用下的变形和耗能能力,而且还需确保连梁不能先于弯曲而发生剪切破坏。因为剪切破坏为脆性破坏,一旦发生连梁便退出工作,耗能能力便无从谈起。并且,国内外试验研究表明,当连梁的平均剪应力过大时,在箍筋尚未充分发挥作用前,连梁就会发生剪切破坏。由此可以看出,对连梁截面的剪压比限定在一定范围内是完全必要的,剪压比超限就意味着地震时延性连梁的失效。《高层建筑混凝土结构技术规程》 JGJ 3-2010第7.2.22规定:连梁截面剪力设计值应符合下列规定:
1 、永久、短暂设计状况

2 、地震设计状况
跨高比大于2.5的连梁

跨高比不大于2.5的连梁

式中:V——按本规程第7.2.21条调整后的连梁截面剪力设计值;
bb——连梁截面宽度;
hbo——连梁截面有效高度;
——混凝土强度影响系数,见本规程第6.2.6条。
然而,现在住宅楼越盖越高,地震烈度也提高了,在结构整体计算中,剪力墙连梁经常会出现截面不足、抗剪不足的超限情况,即我们常说的连梁剪压比超限。土木君今天汇总了些连梁剪压比超限时的处理方法,供诸君参考。
1、减小连梁刚度
减小连梁刚度后,可以降低连梁弯矩、减小连梁剪力设计值。减小连梁刚度的方法有很多,如减小连梁截面高度、增加连梁跨度、设水平缝形成双连梁和多连梁等。其中减小连梁截面高度虽可以减小连梁剪力设计值,但其抗剪截面也会减小,所以不一定有效。另外,由《高层建筑混凝土结构技术规程》JGJ3-2010中第7.2.22条及7.2.23条不难看出,剪力墙连梁跨高比大于2.5的与不大于2.5的调整系数是不一样的,不大于2.5的连梁要求更严格,相反的就可以得出结论,大于2.5的连梁截面更容易满足抗剪的要求。
2、考虑连梁开裂后的刚度降低
《高层建筑混凝土结构技术规程》 JGJ 3-2010第5.2.1条规定:高层建筑结构地震作用效应计算时,可对剪力墙连梁刚度予以折减,折减系数不宜小于0.5。对连梁刚度进行折减后,可以不减小连梁的截面高度而减小连梁剪力设计值,所以是比较有效的方法。
3、采用交叉斜筋和普通箍筋共同抗剪
增设交叉斜筋配筋抗剪或同时配置普通垂直箍筋,两者共同抗剪。
《混凝土结构设计规范 》GB50010-2010第11.7.10条规定:对于一、二级抗震等级的连梁,当跨高比不大于2.5时,除普通箍筋外宜另配置斜向交叉钢筋,其截面限制条件及斜截面受剪承载力可按下列规定计算:
当洞口连梁截面宽度不小于250mm时,可采用交叉斜筋配筋(图11.7.10—1),其截面限制条件及斜截面受剪承载力应符合下列规定:

可以看出, 配置交叉斜筋,剪压比限值提高了,但这种方法施工有一定难度,主要是墙体厚度尺寸不大,容易造成钢筋过于密集,影响混凝土对钢筋的握裹能力等。

4、将连梁高度加到最大
外部剪力墙的连梁高度,可以取为上下层窗洞口的距离,这种连梁虽然跨高比相对较小,但因其截面足够大,有时也可以满足截面抗剪的要求,而且这种方法同时可以增加结构的抗扭刚度。
5、加大连梁跨度
连梁截面加宽后,可以在基本不增加刚度的情况下,较好的提高其抗剪能力。但加宽连梁时,一般也要加宽剪力墙厚度,所以从经济性和使用功能上考虑不一定很合适。
6、在连梁内配置钢板
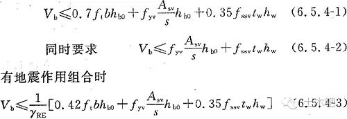
无地震作用组合时

式中 Vb——连梁剪力设计值;
?t——混凝土轴心抗拉强度设计值,按现行国家标准《混凝土设计规范》GB 50010的规定采用;
?yv——箍筋的抗拉强度设计值,按现行国家标准《混凝土设计规范》GB 50010的规定采用;
b——连梁截面的宽度;
hb0——连梁截面的有效高度;
Asv——配置在同一截面内各肢箍筋的全部截面面积;
s——沿构件长度方向的箍筋间距;
tw——钢板的厚度;
hw——钢板的高度;
?ssv——钢板的抗剪强度设计值;
γRE——受剪承载力抗震调整系数,取0.85。
从规范公式可以看出,钢板可以承担一部分剪力。

相对于普通连梁,其剪压比限值也有所提高,其中在有地震组合时,很多专家建议上式中0.2的系数可提高到0.25。
7、提高混凝土强度等级
提高混凝土等级后,其轴心抗压强度会提高,对减压比会有一定好处,但由于fc提高,结构刚度也会略微增大,相应也会增加一些地震剪力。
8、不考虑连梁参与抗震
当连梁破坏对承受竖向荷载无明显影响时,可考虑在地震作用下超筋连梁退出工作,即超筋连梁两端可点铰,按独立墙肢进行第二次多遇地震作用下的内力分析,墙肢截面按两次计算的较大值计算配筋。
9、采用钢连梁
耗能型钢连梁,可用于混凝土联肢剪力墙中替代传统混凝土连梁,可大幅度提高连梁的刚度、承载力、延性与耗能能力,可根据需要设计成弯曲耗能型、剪切耗能型和弯剪耗能型,具有屈服时机可控、震后可更换等优点。
但这种连梁连接构造复杂,不利于暗埋管线,也不方便装修封堵,对于厚度较薄的剪力墙要慎重采用。
内容源于网络,如有侵权,请联系删除
相关资料推荐:
知识点:连梁抗剪超限解决办法
0人已收藏
0人已打赏
免费4人已点赞
分享
混凝土结构
返回版块140.17 万条内容 · 2216 人订阅
阅读下一篇
对剪力墙连梁超筋问题的分析连梁的作用主要是联系剪力墙,跨高比越小墙体联系越强,共同受力越好; 可是分配的弯矩,剪力越大,容易发生脆性破坏。 跨高比大当然延性好,不过降低了整体共同抵抗作用. 在刚度富裕的时候,还是连梁还是弱一些好,免得超筋。 一般来说,弱连梁可以保证塑性铰首先出现在连梁的两端,增加结构的延性,增加耗能,对结构抗震是有利的。 同时也要注意,梁截面也不能太小,要保证能够承受地震作用所产生的弯矩和减力。
回帖成功
经验值 +10
全部回复(0 )
只看楼主 我来说两句抢沙发