作为一个设计人员,当遇到一个地质条件不好时,往往需要进行地基处理,今天依据《建筑地基处理技术规范》(以下简称《地处规》)来聊一聊复合地基的设计。
一、复合地基的概念
复合地基是指天然地基在地基处理过程中部分土体得到增强或被置换,形成由地基土和增强体共同承担荷载的人工地基,竖向增强体习惯上称为桩。
复合地基与浅基础、桩基础的区别在于传力给地基土体的方式不一样,可以认为是二者的结合。它的分类如下所示:

二、复合地基承载力的计算-柔性桩(散体材料桩)

(1)其中应力比n=桩承载力(fpk)/处理后桩间土承载力(fsk)
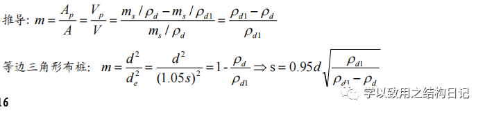
(2)面积置换率m的计算

其实原理很简单,就是桩的面积A/处理地基的面积Ae,规范中是把处理后的地基等效为一个直径为de的圆进行计算的,又因为布桩的规律性,所以可以计算一个单元的面积置换率。

所以知道这个原理后,即使有不规则的布桩方式也可以推导计算出面积置换率m,只要找出一个单元体,问题就迎刃而解了,如下所示:

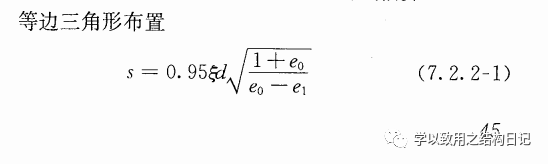
(3)桩间距与孔隙比的关系
在《地处规》正文7.2.2条中,关于沉管砂石桩的桩间距有如下式要求,公式的推导依据是认为桩间土和桩的沉降量相同的。


(4)桩间距与干密度的关系
在《地处规》正文7.5.2条中,关于灰土挤密桩及土密桩的桩间距有如下式要求:

推导依据:桩间土和桩的沉降量相同的

内容源于网络,如有侵权,请联系删除
相关资料推荐:
知识点:复合地基的设计
0人已收藏
0人已打赏
免费3人已点赞
分享
地基基础
返回版块12.11 万条内容 · 716 人订阅
阅读下一篇
树根桩加固技术的介绍一、什么是树根桩? 树根桩是一种用压浆方法成桩的微型桩,因其桩群形如树根状,故称之为树根桩或网状树根桩,常用于 房屋纠偏、地基沉陷处理和边坡加固 等。 适用于淤泥、淤泥质土、粘性土、粉土、砂土、碎石土及人工填土等地基处理。 二、树根桩的设计 1.桩径一般在Φ150—300mm之间,桩长不宜超过30m,新建工程桩的布置应采用垂直桩型,加固工程可采用斜桩网状型。
回帖成功
经验值 +10
全部回复(0 )
只看楼主 我来说两句抢沙发