土木在线论坛 \ 施工技术 \ 建筑施工 \ 建筑物地基基础常见问题分析及加固措施

建筑物地基基础常见问题分析及加固措施

发布于:2022-09-26 14:33:26 来自:施工技术/建筑施工 [复制转发]

建筑物地基基础常见问题及原因分析

   一、常见问题
  1.墙体开裂
  地基或基础一旦发生问题,一般是通过墙体开裂反应出来。而墙体的整体性及承载力也会因地基基础的问题而削弱,甚至丧失。在实际工程中,沉降缝是经常见到的。
  2.基础断裂或拱起
  当地基的沉降差较大,基础设计或施工中存在问题时,会引起基础断裂。
图片
  3.建筑物下沉过大
  当地基土较软弱,基础设计形式不当及计算有误时,会导致整座建筑物下沉过大,轻者会造成室外水倒灌,重者建筑物无法使用。例如,上海展览馆的中央大厅为箱形基础,1954年建成,30年后的累计沉降达1800㎜。再如,墨西哥城的国家剧院建在厚层火山灰地基上,建成后沉降达3000㎜,门厅成为半地下室,影响了剧院的使用。
  4.地基滑动
  地基滑动有两种情况,一种是下雨、渗水后在坡地建筑物的下部开挖时而引起的地基滑动;另一种是地基普遍软弱,设计时将地基承载力估值过高或使用时严重超载而引起的地基失稳,产生滑动事故。
图片
  5.地基液化失效
  疏松的粉细砂、轻亚粘土地基,地震时容易产生液化,强度剧烈下降,致使建筑物倾倒和大幅度震沉。
  例如,唐山矿冶学院书库为四层楼房,1976年唐山地震时发生震沉,一层楼全部沉入地下。再如,日本新渴公寓建于砂土地基上,1961年6月因新渴发生7.5级地震,地基发生液化而倾倒。
图片
  二、原因分析
  1.主观原因
  (1)不认真勘察,没有完整的勘察资料。地质勘察报告是建筑物地基基础设计的基本依据。不进行勘察而凭经验设计,或勘察工作做得不认真、不细致,勘察报告未能准确反映实际地质条件,甚至漏测局部夹层弱土,没有探出局部土坑、古井,或是提供的土质指标不确切,均会导致设计失误,从而造成地基基础事故。
  (2)设计方案不周。地基基础设计方案的选择和确定非常重要,必须做到因地制宜,安全可靠,经济合理。有些建筑物的地质条件差,变化复杂,更应合理选择设计方案,认真做好计算分析,否则就会引起建筑物结构开裂或倾斜,危及安全。
  (3)施工质量低劣。地基基础一般均为隐蔽工程,施工中常见的问题有:施工管理不善,未按设计图纸及程序办事;未勘察就施工;偷工减料,砌体强度、混凝土强度达不到设计要求,有的甚至在混凝土内填放砖块;开挖后未验槽就浇捣基础,或开挖后发现有意外情况也不作认真处理就施工等。
  2.客观原因
  (1)地基土软弱。软土地基的压缩性大,抗剪强度低,流变性强,对上部建筑体形及荷载等变化反应较敏感,如设计不周,软土地基上的建筑物较易出现下列裂缝:
  1)建筑物的高差悬殊大,常在高低楼的接合处墙面上出现裂缝。
  2)体形复杂的建筑物,如L、T、Ш、П形等建筑物常在转角处开裂。
  3)基础相对密集处或在已有建筑物近旁的新建房屋,因附加应力大,变形重叠,常在基础的稀密交接处或在原有建筑物的墙体上出现裂缝。
  4)上部结构圈梁少,长高比过大等使整个房屋刚度较差。
  5)筷板基础的配筋计算有误或施工质量差,容易出现局部拱起开裂。
  6)仓库、料仓等堆料较多的建(构)筑物,其底板或地坪易出现局部弯沉事故。
  (2)地基浸水湿陷。湿陷性黄土地基以及未夯实的填土地基等,在浸水后会产生附加沉降,引起墙体开裂。
  (3)地基软硬不均。在山坡上、池塘边、河沟旁或局部有古井、土坑、炮弹坑等地段上建造的建筑物,因地基软硬不均、沉降差过大而常使上部墙体开裂。
  (4)膨胀土、冻胀土地基。膨胀土吸水后膨胀,失水后收缩。因此建在膨胀土上的建筑物危害较大,会发生内墙、外墙、地面开裂,裂缝有时呈交叉形。如山东农机学校学生实习车间开裂。
  冻胀对建筑物的破坏极大。如冷库建筑物,其冷气透入湿度较大的地基,致使地基土冻胀,而引起地坪拱起开裂。在寒冷天气,室外地基冻结膨胀,产生向上向内的力,引起室内外开裂(如图10-1所示)。
图片

建筑物基础加固

  建筑物基础加固分加大基础底面积法 、基础加深法 、基础补强加固法等。
  加大基础底面积法分基础直接加宽、外增独立基础加大两种。
  一、加大基础底面积法
  加宽或加大基础底面积的方法,因其施工简单、所需设备少,常用于基础底面积太小而产生过大沉降或不均匀沉降事故的处理,以及采用直接法加层时对地基基础的补偿加固。
  (一)基础直接加宽
  基础直接加宽是挖开原基础两侧的填土后浇筑新基础的方法。这种方法的优点是能使新旧基础很好结合、共同变形。
  1.单面加宽;
  2.双面加宽;
  3.四面加宽;
  4.增设筏板基础。
  注意不要在基础全长或四周挖贯通式的地槽,基底不能裸露,以免饱和土从基底挤出,导致不均匀沉降。
  (二)外增基础
  1.抬梁法
  抬梁法是在原基础两侧挖坑并做新基础,通过钢筋混凝土梁将墙体荷载部分转移到新做基础上的一种加大基底面积的方法。新加的抬墙梁应设置在原地基梁或
图片
图片
  采用抬梁法加大基底面积时,应注意抬梁的设置应避开底层的门、窗和洞口;抬梁的顶部须用钢板楔紧。对于外增独立基础,可用千斤顶将抬梁顶起,并打入钢楔,以减少新增基础的应力滞后。
  2.斜撑法
  斜撑法加大基底面积,与上述抬梁法不同之点,是抬梁改为斜撑,新加的独立基础不是位于原基础两侧,而是位于原基础之间(如图10-4所示)。
图片
  二、墩式加深(托换)
  墩式加深是指将原持力层地基土分段挖去,然后浇筑混凝土墩或砌筑砖墩,使基础支承到较好的土层上的一种基础加固法。此法对于软弱地基,特别是膨胀土地基的处理是较为有效的。墩体可以是间断的,也可以是连续的,主要取决于原基础的荷载和地基上的承载力。
图片
  墩式加深(托换)施工步骤如下:
  (1)在贴近被托换的基础旁,人工开挖比原基础底面深1.5m、长1.2m、宽0.9m的导坑。
  (2)将导坑横向扩展到原基础下面(见图10-5a),并继续下挖至所要求的持力层。
  (3)用微膨胀混凝土浇筑基础下的坑体(或砌砖墩),注意振捣密实并顶紧原基础底面。若没有膨胀剂时,则应在离原基础底面80㎜处停止浇注,待养护1天后,再用l:l水泥砂浆填实这80㎜的空隙。
  (4)如此间隔分段重复上述工序,直至全部加深工作完成为止。
  三、基础加固
  基础自身的加固方法,有混凝土围套加固、加厚加固和灌浆加固。
  1.混凝土圈套加固
  混凝土围套加固是指在已开裂、破损或因加层而需要提高刚度的基础外面浇筑钢筋混凝土围套的一种基础加固方法。这种方法不仅可使基础底面积增大,降低原基底的反力,而且可使原基础受到围套的约束,其刚度、抗剪、抗弯和抗冲切的能力得到提高。
  2.灌浆法加固
  灌浆法加固是指用压送设备把水泥浆或环氧树脂浆压入原基础的裂缝内或破损处的一种加固方法,如图10-7所示。
图片
  施工时先在基础中钻孔,孔径应比灌浆管直径(一般为25㎜)大2~3,孔距取3.5~1.0m,孔数对于独立基础应不小于2个孔。灌浆压力为0.2~0.6MPa。灌浆有效半径约0.6~1.2m。
  3.加厚加固
图片
  这种加固方法是将原基础的肋加高、加宽。以减少基础底板的悬臂长度和降低悬臂弯矩,使原基础的刚度及承载力得到提高。尤其适合于旧房加层设计时的基础加固。

建筑物地基加固

  一、已有建筑物地基承载力的确定
  已有建筑物地基在长期荷载作用下,其承载力有所提高,在进行事故处理及加层设计时,都可加以利用。确定地基当前的允许承载力值,可采用现场实测和经验公式计算。现场实测的方法有井探、静力触探及动力触探等。目前国内外确定已有建筑物地基承载力的经验公式有多种,但是它们都不通用,因此不再详述。
  二、几种特殊土的判别
  1.软土地基
  软土地基一般指在静水或缓慢流水环境中沉积的,天然含水量较大、压缩性较高、承载力较低的软塑土。当各项指标在下述范围时,即可判定为软土地基。
  天然孔隙e>1.0;天然含水量ω>35%。压缩系数al-2≥0.5MPa-1;塑性指数Ip>10(当Ip>17时,为淤泥质粘土;当17注Ip>10时,为淤泥粉质粘土)
  不排水抗剪强度Cu<20KPa。
  2.湿陷性黄土
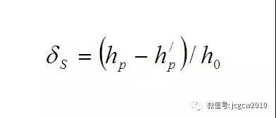
  (1)湿陷性黄土的判定。黄土的湿陷量可用湿陷系数衡量。湿陷系数由室内压缩试验测定。在压缩仪中将原状试样逐级加压到规定的压力p,等压缩稳定后测得压缩试祥高度hp,然后加水浸湿,测得下沉稳定后的高度h/p。设土样的原始高度为h0,则湿陷系数δS,为:
图片
  当δS≥0.15时,一般定为湿陷性黄土。
  测定湿陷性的压力p应与地基中黄土实际受到的压力相当。自基础底面算起,l0m以内的土层用200kPa,10m以下的土层用300kPa。
  (2)湿陷等级的划分。湿陷性黄土地基湿陷等级按分级湿陷量ΔS划分,其值按下式计算:
图片
  式中  δsi——第i层土的诗陷系数;hi——第i层土的厚度(cm)。ΔS的累计范围是自基础底算起,对非自重湿陷性黄土地基算至基底下5m为止,对自重湿陷性黄土地基算至基底下10m为止,其中,δS<0.15的土层不计入。
  根据ΔS大小按表10-1划分黄土地基的湿陷等级。
图片
  3.膨胀土
  (1)直观鉴别。若肉眼观察到以下现象,即可初步判定为膨胀土:
  1)建筑物裂缝随气候的变化而张开或闭合。
  2)土层出现的裂缝,常有光滑面和擦痕。有的裂隙中充填着灰白、灰绿色粘土,在自然条件下呈坚硬或硬塑状态;
  3)常见浅层塑性滑坡、地裂,新开挖坑壁易发生坍塌。
  如观察到上述现象,且土的自由膨胀率大于或等于40%,即应判为膨胀土。
  (2)膨胀土的膨胀潜势分类。膨胀土膨胀潜势可按自由膨胀率的大小分为三类:
  ?ef≥90%则为强膨胀潜势;
  65%≤?ef <90%则为中膨胀潜势;
  ?ef <65%则为弱膨胀潜势。
  自由膨胀率为人工制备的烘干土在水中增加的体积与原体积V0之比。即:
图片
  (3)膨胀土场地与地基评价。膨胀土场地有平坦场地和坡地场地之分。一般建于坡地场地上的房屋损坏比例高,且事故严重,而建于坡顶及坡腰上的房屋损坏率高于建于坡脚或盆地中部的房屋。
  膨胀土的分布一般是不均匀的,同一场地内可能既分布有膨胀土,也可能分布有非膨胀土。所以不能仅局限于膨胀土的判别而应对整个地基进行评价,也即要划分地基土的胀缩等级。膨胀土的地基胀缩等级可按分级变形量Sc确定。
  三、建筑物的地基加固
  对已有建筑物的地基土进行处理(加固),是解决地基基础问题的另一条途径,它可以改善地基的受力及变形性能,提高承载力。
  1.锚杆静压桩法
  锚杆静压桩法适用于淤泥、淤泥质土、粘性土粉土和人工填土等地基土。
  2.树根桩法
  树根桩法适用于淤泥、淤泥质土、粘性土、粉土、砂土、碎石土及人工填土等地基土上既有建筑的修复和增层、古建筑的整修、地下铁道的穿越等加固工程。
  3.坑式静压桩法
  坑式静压桩法适用于淤泥、淤泥质土、粘性土、粉土和人工填土等,且地下水位较低的情况。
  4.  石灰桩法
  石灰桩法适用于处理地下水位以下的粘性土、粉土、松散粉细砂、淤泥、淤泥质土、杂填土或饱和黄土等地基及基础周围土体的加固。
  对重要工程或地质复杂而又缺乏经验的地区,施工前应通过现场试验确定其适用性。
  5.注浆加固法
  注浆加固法适用于砂土、粉土、粘性土和人工填土等地基加固。一般用于防渗堵漏、提高地基土的强度和变形模量以及控制地层沉降等。注浆设计前宜进行室内浆液配比试验和现场注浆试验,以确定设计参数和检验施工方法及设备。也可参考当地类似工程的经验确定设计参数。
  6.高压喷射注浆法
  高压喷射注浆法适用于淤泥、淤泥质土、粘性土、粉土、黄土、砂土、人工填土和碎石土等地基。
  7.灰土挤密桩法
  灰土挤密桩法适用于处理地下水位以上的湿陷性黄土、素填士和杂填土等地基。
  8.深层搅拌法
  深层搅拌法适用于处理淤泥、淤泥质土、粉土和含水量较高的粘性土等地基。
  9.硅化法
  硅化法可分双液硅化法和单液硅化法。当地基土的渗透系数大于2.0m/d的粗颗粒土时,可采用双液硅化法(水玻璃和氯化钙,当地基土的渗透系数为0.1~2.0m/d的湿陷性黄土时,可采用单液硅化法(水玻璃);对自重湿陷性黄土,宜采用无压力单液硅化法。
  10.碱液法
  碱液法适用于处理非自重湿陷性黄土地基。
  注:高压喷射注浆法、灰土挤密桩法、深层搅拌法、硅化法和碱液法的设计和施工应按国家现行标准《建筑地基处理技术规范》有关规定执行。

建筑地基基础事故的补救与预防

  一、设计、施工或使用不当引起事故的补救
  (一)对于建造在软土地基上出现损坏的建筑,可采取下列补救措施:
  1、由于建筑体型复杂或荷载差异较大,引起不均匀沉降,而造成建筑物损坏者,可根据损坏程度选用局部卸荷、增加上部结构或基础刚度、加深基础、锚杆静压桩、树根桩或注浆加固等补救措施;
  2、由于局部软弱土层或暗塘、暗沟等引起差异沉降过大,而造成建筑物损坏者,可选用锚杆静压桩、树根桩或旋喷桩等进行局部加固;
  3、由于基础承受荷载过大、或加荷速率过快,引起大量沉降或不均匀沉降,而造成建筑物损坏者,可选用卸除部分荷载、加大基础底面积或加深基础等;
  4、由于大面积地面荷载或大面积填土引起柱基、墙基不均匀沉降、地面大量凹陷、或柱身、墙身断裂者,可选用锚杆静压或树根桩加固等;5由于地质条件复杂或荷载分布不均,引起建筑物过大倾斜者,可按本规范第9章有关规定选用纠倾措施。
  (二)对于建造在湿陷性黄土地基上出现损坏的建筑,可采取下列补救措施 :
  1、对非自重湿陷性黄土场地,当湿陷性土层不厚、湿陷变形已趋稳定、或估计再次浸水产生的湿陷量不大时,可选用上部结构加固措施;当湿陷性土层较厚、湿陷变形较大、或估计再次浸水产生的湿陷量较大时,可选用石灰桩、灰土挤密桩、坑式静压桩、铺杆静压桩、树根桩、硅化法或碱液法等,加固深度宜达到基础压缩层下限;
  2、对自重湿陷性黄土场地,可选用灰土井、坑式静压桩、锚杆静压桩、树根桩或灌注桩加固等。加固深度宜穿透全部湿陷性土层。
  (三)对于建造在人工填土地基上出现损坏的建筑,可采取下列补救措施 :
  1、对于素填土地基由于浸水引起过大的不均匀沉降而造成建筑物损坏者,可选用锚杆静压桩、树根桩、坑式静压桩、石灰桩或注浆加固等。加固深度应穿透素填土层;
  2、对于杂填土地基上损坏的建筑,可根据损坏程度选用加强上部结构和基础刚度、铺杆静压桩、树根桩、旋喷桩、石灰桩或注浆加固等;
  3、对于冲填土地基上损坏的建筑,可按(一)的有关规定选用加固方法。
  (四)对于建造在膨胀土地基上出现损坏的建筑,可采取下列补救措施 :
  1、对建筑物损坏轻微,且胀缩等级为I级的膨胀土地基,可采用设置宽散水及在周围种植草皮等措施;
  2、对建筑物损坏程度中等,且胀缩等级为I、II级的膨胀土地基,可采用加强结构刚度和设置宽散水等措施;
  3、对建筑物损坏程度较严重,或胀缩等级Ⅲ级的膨胀土地基,可采用锚杆静压桩、树根桩、坑式静压桩或加深基础等方法。桩端或基底应埋置在非膨胀土层中或伸入到大气影响深度以下的土层中;
  4、建造在坡地上的损坏建筑,除可选用相应的地基或基础加固方法外,尚应在坡地周围采取保湿措施,防止多向失水造成的危害。
  (五)对于建造在土岩组合地基上出现损坏的建筑,可采取下列补救措施 :
  1、由于土岩交界部位出现过大的差异沉降,而造成建筑物损坏者,可根据损坏程度,采用局部加深基础、锚杆静压桩、树根桩、坑式静压桩或旋喷桩加固等措施;
  2、由于局部软弱地基引起差异沉降过大,而造成建筑物损坏者,可根据损坏程度,采用局部加深基础或桩基加固等措施;
  3、由于基底下局部基岩出露或存在大块孤石,而造成建筑物损坏者,可将局部基岩或孤石凿去,铺设褥垫,或采用在土层部位加深基础或桩基加固等。
  二、地下工程施工引起事故的预防与补救
  1、地下工程施工可能对既有建筑、地下管线或道路造成影响。当影响范围较大时,可采用隔断墙将既有建筑、地下管线或道路隔开。隔断墙可采用钢板桩、树根桩、深层搅拌桩、注浆加固或地下连续墙等方法。
  2、当地下工程施工对既有建筑造成影响时,可对既有建筑地基进行加固。加固方法可选用锚杆静压桩、树根桩或注浆加固等。加固深度应大于地下工程底面深度。
  3、当地下工程施工对既有建筑造成的影响比较轻微时,可采用加强既有建筑刚度和强度的方法。
  4、对在地下工程施工影响区范围内的通讯,电缆、高压、易燃和易爆管道等对地层变形极其敏感的重要管线,除采取一般性预防措施外,尚应将其暴露并挂起。
  5、当地下工程施工时,应对其施工影响区范围内的既有建筑和地下管线的沉降和水平位移进行严密的监测,一旦发现问题,应及时采取有效措施。
  三、邻近建筑施工引起事故的预防与补救
  1、当邻近工程的施工对既有建筑可能产生影响时,应查明既有建筑的基础型式、结构状态、建成年代和使用情况等,根据邻近工程的结构类型、荷载大小、基础型式、间隔距离以及土质情况等因素分析可能产生的影响程度,并提出相应的预防措施。
  2、当软土地基上采用有挤土效应的桩基对邻近既有建筑有影响时,可在邻近既有建筑的一侧设置砂井、塑料排水带、应力释放孔或开挖隔离沟,减小沉桩引起的孔隙水压力和挤土效应。对重要建筑可设地下挡墙。
  3、遇有振动效应的桩基施工时,可采用开挖隔振沟,以减少振动波传递。
  4、当邻近建筑开挖基槽、人工降低地下水或迫降纠倾施工等,可能造成土体侧向变形或产生附加应力时,可采用对既有建筑进行地基基础局部加固,减少该侧地基的附加应力,控制基础沉降等措施。
  5、在既有建筑邻近进行人工挖孔桩施工时,应注意地下水的流失及土的侧向变形,可采用回灌、截水措施或跳挖施工方法,并进行沉降观测,防止既有建筑出现不均匀沉降而造成裂损。
  6、当邻近工程的施工造成既有建筑裂损或倾斜时,应根据既有建筑的结构特点、影响程度和地层条件选用本有关方法进行加固。
  四、深基坑工程引起事故的预防与补救
  1、基坑开挖蔚应对基坑及邻近既有建筑地基进行土体稳定验算分析,提出预防土体失稳的措施。必要时可对邻近既有建筑的地基或基础预先进行加固处理等,避免可能发生的事故。
  2、当基坑内降水开挖,使邻近既有建筑或地下管线发生沉降、倾斜或裂损时,应立即停止坑内降水,查出事故原因,进行有效加固处理。当设置基坑支护结构时,应在基坑止水墙外侧,靠近邻近既有建筑附近设置水位观测井和回灌井。
  3、当基坑周边邻近既有建筑为桩基础或新建建筑采用打人桩基础时,为保护邻近既有建筑的安全,新建基坑支护结构外边缘与邻近既有建筑的距离不应小于基坑开挖深度的1.2~1.5倍,当无法满足最小安全距离时,应采用隔振沟或钢筋混凝土地下连续墙或其他有效的基坑支护结构形式。
  4、当基坑采用铺杆支护结构时,应预先查清邻近既有建筑的基础类型和埋深,严禁锚杆成孔施工,破坏邻近既有建筑的地基稳定或基础的安全。
  5、当既有建筑与基坑较近时,基坑周边不得搭建临时施工建筑或库房;不得堆放建筑材料或弃土;不得停放大型施工机具和车辆等。严防上述荷载对基坑侧壁和邻近既有建筑的稳定产生不利影响。
  6、当既有建筑与基坑较近时,基坑周边地面应做护面及排水沟,使地面水流向坑外,并防止雨水、施工用水渗入地下或坑内。
  7、当既有建筑或地下管线因周围深基坑工程施工而出现倾斜、裂缝或损坏时,应根据影响程度,选用有关补救措施。



推荐资料(点击文字跳转)

地基基础注浆加固施工图纸

地基基础加固节点详图(参考03SG611)

地下车库抗浮失效后结构构件及地基基础加固


知识点:地基基础的问题及加固

  • daghy
    daghy 沙发

    看一下。。了解下这方面的内容

    2022-09-26 14:51:26

    回复 举报
    赞同0
这个家伙什么也没有留下。。。

建筑施工

返回版块

66.02 万条内容 · 1638 人订阅

猜你喜欢

阅读下一篇

地基≠基础,常用地基处理方式

一、区分一下地基与基础的概念 建筑物由上部结构、基础与地基三部分组成。 建筑物的全部荷载均由其下的地层来承担。受建筑物影响的那一部分地层称为地基。所以地基是指基础底面以下,承受基础传递过来的建筑物荷载而产生应力和应变的土壤层。

回帖成功

经验值 +10