瑞典条分法,就是将滑动土体竖直分成若干个土条,把土条看成是刚体,分别求出作用于各个土条上的力对圆心的滑动力矩和抗滑力矩,然后求土坡的稳定安全系数。

把滑动土体分成若干个土条后,土条的两个侧面分别存在着条块间的作用力。作用在条块i上的力,除了重力Wi外,条块侧面上作用有法向力Pi、Pi+1,切向力Hi、Hi+1,法向力的作用点至滑动弧面的距离为hi、hi+1。滑弧段的长度li,其上作用着法向力Ni和切向力Ti,Ti包括粘聚阻力ci·li和摩擦阻力Ni·tgi。

考虑到条块的宽度不大,Wi和Ni可以看成是作用于条块弧段的中点。在所有的作用力中,Pi、Hi在分析前一土条时已经出现,可视为已知量,因此,待定的未知量有Pi+1、Hi+1、hi+1、Ni和Ti5个。每个土条可以建立三个静力平衡方程,即ΣFxi=0,ΣFzi=0和ΣMi=0和一个极限平衡方程Ti=(Ni·tgi+ci·li)/ Fs。
如果把滑动土体分成n个条块,则n个条块之间的分界面就有(n-1)个。分界面上的未知量为3(n-1),滑动面上的未知量为2n个,还有待求的安全系数Fs,未知量总个数为(5n-2),可以建立的静力平衡方程和极限平衡方程为4n个。待求未知量与方程数之差为(n-2)。而一般条分法中的n在10以上。因此,这是一个高次的超静定问题。为使问题求解,必须进行简化计算。
瑞典条分法假定滑动面是一个圆弧面,并认为条块间的作用力对土坡的整体稳定性影响不大,故而忽略不计。或者说,假定条块两侧的作用力大小相等,方向相反且作用于同一直线上。

图中取条块i进行分析,由于不考虑条块间的作用力,根据径向力的静力平衡条件,有:
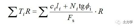
按照滑动土体的整体力矩平衡条件,外力对圆心力矩之和为零。在条块的三个作用力中,法向力Ni通过圆心不产生力矩。重力Wi产生的滑动力矩为:
滑动土体的整体力矩平衡,即

上式是最简单的条分法计算公式,因为它是由瑞典人费伦纽斯(W.Fellenius)等首先提出的,所以称为瑞典条分法,又称为费伦纽斯条分法。
从分析过程可以看出,瑞典条分法是忽略了土条块之间力的相互影响的一种简化计算方法,它只满足于滑动土体整体的力矩平衡条件,却不满足土条块之间的静力平衡条件。这是它区别于后面将要讲述的其它条分法的主要特点。由于该方法应用的时间很长,积累了丰富的工程经验,一般得到的安全系数偏低,即误差偏于安全,所以目前仍然是工程上常用的方法。
内容源于网络,如有侵权,请联系删除
相关资料推荐:
知识点:瑞典条分法
全部回复(0 )
只看楼主 我来说两句抢沙发