变形模量
是指在侧向自由变形条件下竖向压应力与竖向总应变之比。它主要是通过现场载荷试验求得的压缩性指标,能较真实地反映天然土层的变形特性。
试验装置如图所示,一般由加荷稳压装置、反力装置及观测装置三部分组成。加荷稳压装置包括承压板、千斤顶及稳压器等,反力装置常用平台堆载或地锚。承压板常用方形或圆形,采用厚钢板,面积有0.25、0.5和1.0m2三种,常用0.5m2的。

在建筑场地选择有代表性的部位,挖坑到待测土层。首先用千斤顶通过承压板向地基施加第一级压力,利用稳定器保持这一压力值不变,用百分表测量承压板的位移,即地基的沉降量,当沉降量稳定后,再提高载荷到第二级压力,同样观测荷载板的位移,这样便可测得载荷板位移S与P之间的一组数据。根据这些数据便可绘制出基底压力与沉降量的关系曲线。
(3)加荷及观测标准
加荷等级不少于8级,第一级荷载取试验坑底面处的自重应力;其后每级荷载增量,对较松软土取10kPa~25kPa,对较密实的土取50kPa;最大加载值不应小于地基承载力设计值的2倍,并应尽量接近预估的地基极限荷载。
每加一级荷载后,按时间间隔10min,10min,10min,15min,15min及以后每隔30min读一次沉降,如果连续两个小时内,每小时的沉降量小于0.1mm,则认为变形已经稳定,可施加荷载到下一级。

(4)破坏标准
达到下列情况之一时,认为土已达到极限状态,即地基土破坏,应终止加载。包括:
①承载板周围的土明显侧向挤出;
②沉降S急剧增大, p-s曲线出现陡降阶段;
③在某级荷载下,24h内沉降速率应不能达到稳定标准;
④沉降量大于0.06b(b为承压板宽度或直径)。
现场载荷试验的结果之一是获得地基土的曲线。多数情况下,曲线可分为三个变形阶段,如图所示。

①直线变形阶段
相当于曲线oa段,s-p的关系近直线,此阶段变形主要是土的孔隙体积被压缩而引起土粒发生垂直方向为主的位移,称压密变形。地基土在各级荷载作用下变形,是随着时间的增长而趋于稳定。
相当于曲线的ab段,s-p的关系不再保持直线关系,而是随着p的增大,s的增大逐渐加大。此阶段变形是在压密变形的同时,地基土中局部地区的剪应力超过土的抗剪强度,而引起土粒之间相互错动的位移,称剪切变形,也称塑性变形。地基由压密变形阶段过渡到局部剪切变形阶段的荷载,称为地基土的临塑荷载或比例界限压力。
③完全破坏阶段
塑性变形区的不断发展,导致地基稳定性的逐渐降低,而且趋向完全破坏阶段。即b点以下的一段。地基达到完全破坏时的临界荷载,称为地基的极限荷载。相当b的压力。因此,在实际设计工作中,若作用在基础底面每单位面积的压力不超过地基土的临塑荷载,则一般能保证地基的稳定和不致产生过大的变形,确保建筑物的安全和正常使用。故常选用临塑荷载作为地基土的允许承载力。
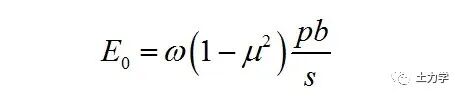
(6)地基土的变形模量
载荷试验的结果,除了用以确定地基土的承载力外,还可以计算中所需要的另一个压缩性指标——变形模量E0。
在P-S曲线上,开始一段呈直线,即认为荷载较小时,土体是线弹性的,因而可利用弹性理论公式求得土的变形模量。其计算公式为:


旁压试验是将圆柱形旁压器竖直放入土中,通过旁压器在竖直的孔内加压,使旁压膜膨胀,并由旁压膜将压力传给周围的土体,使土体产生变形直至破坏,通过量测施加的压力和土变形之间的关系,即可得到地基土在水平方向的应力应变关系。
和静载荷试验相比,旁压试验有精度高、设备轻便、测试时间短等特点,但其精度受成孔质量的影响较大。
旁压试验适用于测定粘性土、粉土、砂土、碎石土、软质岩石和风化岩石的承载力、旁压模量和应力应变关系。
旁压试验应在有代表性的位置和深度进行。旁压器的测量腔应在同一土层内。为了避免相邻试验点应力影响范围重叠,试验点的垂直间距不宜小于1.0m,且每层土的测点不宜少于1个,厚度大于3.0m的土层的测点不宜少于2个。

成孔质量是预钻式旁压试验成败的关键,应保证成孔的质量。
加荷等级是采用预计极限压力的1/8~1/12。每级压力应持续1min或3min在施加下一级压力,读数时间按照15s、30s、60s、120s和180s读数。当加荷接近或达到极限压力,或者量测腔的扩张体积相当于量测腔固有体积时,应停止旁压试验。
旁压试验的成果主要是压力和扩张体积(p-V)曲线、压力和半径增量(p~r)曲线。典型的p~V曲线,可将它分为3段:第一阶段,初步阶段;第二阶段,似弹性阶段,压力与体积变化量大致成线性关系;第三阶段,塑性阶段。

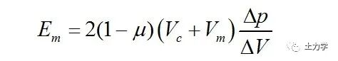
I~II段的界限压力相当于初始水平应力p0,II~III段的界限压力相当于临塑压力pf,III阶段末尾渐近线的压力为极限压力pl。(1)p0的确定:将旁压曲线直线段延长与V轴交于V0,过V0作平行于p的直线,该直线与旁压试验交点对应的压力即p0值。(2)pf为旁压曲线中直线的末尾点对应的压力。(3)pl为V=2V0+Vc所对应的压力,其中Vc为旁压器量腔的固有体积或p-(1/V)关系末端直线与p轴交点相应的压力。按下式计算旁压模量

Vm――旁压曲线直线段头尾中间的平均扩张体积(cm3);
变形模量E0与压缩模量Es虽都是反映土体变形特性的指标,但概念上有所区别,测定的试验方法也不同。E0是通过现场载荷试验获得,是靠承压板正下方土柱周围的土体起到一定的侧限作用;而Es是通过室内压缩试验获得,是属于完全侧限条件。在理论上,二者存在一定的换算关系。
现取室内侧限压缩试验中土样的单元体进行应力分析,如图所示。

单元体受三向应力作用,由于土样的受力状态属于轴对称问题,相应的水平应力

式中:K0——土的侧压力系数。侧压力系数表示侧限条件下有效水平应力与有效竖向应力的比值,通常K0可通过试验测定,当无试验资料时,可参考下表。


需要注意,上式只是E0与Es之间的理论关系,是假设土体为线性变形体得到的。根据材料力学中广义虎克定律可推导求得K0和μ的相互关系

土的侧压力系数可由专门仪器测得,但泊松比不易直接测定,可根据土的侧压力系数,按式计算求得。一般情况下可参照下表所列数值选用K0和μ值。
根据理论分析,当μ从0变化到0.5时,β值从1变化到0,即E0/Es的比值在0—1之间变化。因为E0是无侧限条件下的变形模量,其应变比有侧限条件时大,故一般应是E0<Es。但实践表明,理论分析与实际情况有很大出入,很多情况都是E0/Es值大于1。分析原因,一方面土不是真正的弹性体,用弹性理论建立的关系会带来误差;另一方面就是土的结构的影响,在取样过程中土的天然结构会受到不同程度的扰动。因此,在过去的规范中,常用压缩试验求得的Es乘以β值来换算E0的作法是不够恰当的。目前常根据统计地区性经验回归方程得到经验公式进行E0与Es的换算。
土的K0等参数的参考值 ↓
土的类别 |
土的状态 |
K0 |
μ |
β |
碎石土 砂土 粉土 |
|
0.18—0.33 0.33—0.43 0.43 |
0.15—0.25 0.25—0.30 0.30 |
0.95—0.83 0.83—0.74 0.74 |
粉质 黏土 |
坚 硬 可 塑 软塑或流塑 |
0.33 0.43 0.53 |
0.25 0.30 0.35 |
0.83 0.74 0.62 |
黏土 |
坚 硬 可 塑 软塑或流塑 |
0.33 0.53 0.72 |
0.25 0.35 0.42 |
0.83 0.62 0.39 |
内容源于网络,如有侵权,请联系删除
相关资料推荐:
知识点:土的变形模量
全部回复(0 )
只看楼主 我来说两句抢沙发