

加筋土是在土中加入加紧材料(或称筋带)的一种复合土。在土中加入加筋材料可以提高土体的抗剪强度,增加土体工程的稳定性。



国内工程案例











特点;
可以装配施工,施工简便,快速,节省人力和缩短工期。
具有一定柔性,能够适应地基轻微变形,且抗震性强。
可以做成很高的垂直挡土墙,对地基承载力的要求较低。

加筋土挡墙的加固机理:













加筋土挡墙的破坏主要原因有以下三种,如下图:

3.2内部稳定性分析

3.2.1常用计算方法:

3.2.2重点内容


四种破裂面的假设当中,第四种最符合实际。






土压力计算





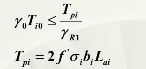
有一个重要的概念就是有效长度。




















对于加筋材料的规定






当墙高较大时,似摩擦系数不会随填土高度无限增大,具有软化效应。但是随着填土密度的增大而增大。










加筋的一些构造要求如下:






主要的验算内容






加筋土挡土墙是在土中加入拉筋,利用拉筋与土之间的摩擦作用,改善土体的变形条件和提高土体的工程特性,从而达到稳定土体的目的。加筋土挡土墙由填料。
在填料中布置的拉筋以及墙面板三部分组成。一般应用于地形较为平坦且宽敞的填方路段上,在挖方路段或地形陡峭的山坡,由于不利于布置拉筋,一般不宜使用。
内容源于网络,如有侵权,请联系删除
相关资料推荐:
知识点:加筋土挡墙理论与计算
0人已收藏
0人已打赏
免费4人已点赞
分享
结构资料库
返回版块41.29 万条内容 · 424 人订阅
回帖成功
经验值 +10
全部回复(0 )
只看楼主 我来说两句抢沙发