知识点:充电站电源模块
摘要
分析了移相全桥变换器的工作原理,提出一种安全可靠的IGBT驱动电路。据此设计了一种面向电动汽车充电站应用的电源模块,该电源模块具有恒压和恒流两种输出方式。电压反馈采用差分方式,可以实现串并联。根据设计试镧了一台输入为三相380 V交流。输出为100 V。功率为10 kW 的样机。实验结果表明,该电源系统具有良好的控制效果、很强的灵活性和可靠性。
由于环境与能源的压力,电动汽车将是汽车发展的一个方向和趋势,电动汽车的普及与广泛应用还存在着不少待解决的问题,其中的一个关键技术就是电动汽车的充电技术。目前电动汽车主要有以下充电方式:常规充电、快速充电、无线充电、更换电池,其中更换电池的优点是电动车电池不需现场充电,更换电池时间较短,更换下来的电池可以由充电站统一充电。由于充电站每天换下来的电池数量不同,甚至型号不同,对充电电源的电压、电流、功率的要求多样。面对电动汽车充电站这种需求,本文设计了一种电压0~100 V可调、电流0~100 A可调、最大功率为10 kW 的电动汽车充电模块,该电源模块既可以独立的作为一个可调电压、电流源来使用,亦可把多个模块进行串并联来使用,以实现更大电压、电流、功率的要求。
1 电路结构与工作原理
1.1系统总体结构

图1所示为该电源模块总体的系统结构框图。该系统主要由三相整流模块、全桥IGBT功率模块、高频变压器、输出滤波电感、输出滤波电容和主控制电路组成。
该系统的输出分为两种方式:恒压输出和恒流输出。因此该系统的反馈回路有两路:一路是内环为限流环,外环为电压环的反馈回路(恒压输出方式);另一路是只有电流环的反馈回路(恒流输出方式)。两路反馈信号经过一个多路模拟选择器(由单片机控制)送入移相控制芯片UCC3895,产生PWM信号,再经过IGBT驱动电路来控制IGBT。在恒压模式下内环的限流环可以起到限流的作用。在恒流模式下,系统的最大输出电压即为全桥电路以最大占空比输出时的电压,不需要限压,只有一个电流环。
系统中的电压、电流环均是限幅Pl调节器,由硬件电路来实现,以达到该电源模块负反馈的快速性,而电压参考Uref,电流参考Iref,恒压和恒流两个工作模式的选择,过压、欠压、过流、过温保护以及和计算机的通信都是由单片机来完成的,以实现该电源模块的灵活性。
1.2主功率电路及反馈回路
全桥变换器的拓扑开关管的稳态关断电压等于直流输入电压,而不是像推挽、单端正激或交错正激拓扑那样为输入电压的两倍,且全桥变换器的输出是具有正负的全波,不会造成变压器磁芯的偏磁,广泛用于大功率电源中,因此该电源采用全桥变换器拓扑结构,如图2所示。

VS1、VS2:组成变换器的超前桥臂,VS3、VS4组成变换器的滞后桥臂,LK为变压器漏感,Cb为隔直电容,用于平衡变压器伏秒值,防止变压器偏磁。变压器变比为3:1,变压器次级输出采用全桥整流。该拓扑利用变压器漏感LK和功率开关管的并联电容C1、C2产生谐振来实现超前臂的零电压开通与关断。变压器副侧采用由Dh、Dr、Dc 组成的辅助电路来实现滞后臂的零电流开通与关断,改变对角线上开关管驱动信号之间的相位差来改变占空比,以达到调节电源输出功率的目的日。其主要的工作波形如图3所示。

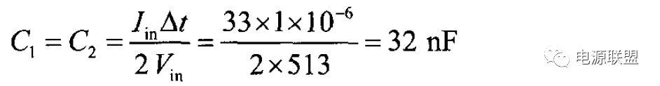
该全桥拓扑的超前臂实现ZVS的条件是在死区时间内,要有足够能量来抽走将要开通的开关管的并联电容上的电荷,使电容电压下降为零。输入电压Vin=513 V,输入电流最大为33 A,设在1μs时达到ZVS,则有:

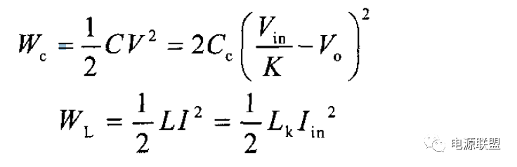
滞后臂要实现ZCS,要求原边电流在超前管关断后到滞后管关断前这段时间里,能够减小到零,所以电容Cc上储存的能量要大于变压器漏感中的能量。电容与电感上储存的能量分别为:

由Wc=WL,得:

式中:Vin=513V;Vo=100 V;Iin=33 A;K=3;实际测得 ;LK=8μH;计算得Cc=0.43μF。
该电源模块能够串并联,要求反馈电压、电流信号必须和主电路的参考地没有关系,因此该电源模块的电流采样采用霍尔电流传感器,而电压采样则采用差分信号反馈(如图4所示),它只和输出电压正负两端的电压差有关系。在两个模块串联的时候,上下两个电源模块的V-端的电压是不一样的,但这对每个电源模块的电压反馈是没有任何影响的。另外控制电和主电路也是隔离的,因此该电源模块可以实现串并联。
如图4所示,电压反馈信号V+和V-经过一个差分式减法电路得到电压反馈信号Vo。


图4中,电压电流调节器的传递函数为:

从传递函数可以看出该调节器由一个PI调节器和一个滤波调节器组成。调节R5和R6的比值即改变比例系数,调节R5和C1即可改变积分常数。该调节器也可以提供一个原点极点、一个低频零点和一个高频极点的补偿网络,选择合适的参数可以调节闭环系统的稳定性与快速性。图4中的稳压管对调节器起到限幅的作用。
1.3 IGBT驱动
如图5所示,在本电源模块中,IGBT驱动电路是由变压器和光耦组成。交流15 V输入(由直流15V经过由MOSFET组成的H桥逆变得到)送入一个多抽头高频变压器(工作频率为30 kHz)。变压器副侧输出经全波整流滤波后给光耦供电。每个驱动电路驱动一个IGBT。

该驱动电路的特点有:
(1)产生导通IGBT所需要的正向栅极电压VGE,当光耦导通时,Vo输出电压为VCC,相对于变压器中点电压VE是一个正的驱动电压。
(2)产生IGBT关断所需要的负压VGE,当光耦关断时,Vo输出电压为VEE ,相对于变压器中点电压 是一个负的关断电压VE,可以快速关断IGBT,并且可以有效防止由于IGBT快速关断带来的误导通,保证IGBT安全、可靠地工作。
(3)驱动电路与主电路和控制电路均是隔离的,另外控制光耦的两路PWM 信号是同一个桥臂的上下两个管子的PWM 信号,这样只有PWMA为高、PWMB为低时,光耦才会导通,下管的驱动是相反的,可以防止两只管子同时导通。
(4)IGBT的栅射极之间并接两只反串联的稳压二极管,可以有效抑制驱动电路出现的高压尖脉冲,这对IGBT起到了保护作用。
(5)4个驱动电路彼此之间几乎没有相互干扰,因为它们采用的是不同变压器。有很多电源的控制和驱动供电采用的是TOPSwitch结构,用一个变压器产生多组隔离的电压,来提供关断IGBT时所需要的负压,但它们彼此之间很容易引进干扰,本电源采用驱动方法没有这些缺点。
1.4 电源模块的串并联
该电源模块可以当作一个独立的电源来使用,也可以串并联使用。当多个模块进行串并联时,只需要在上层用一个控制器来给定各个电源模块的电压、电流值即可,当然各模块的电压、电流给定是根据负载和电源之间的回流而时时变化的,来实现各电源模块之间的均流、均压。这样设计的优点是电源使用起来非常灵活,可以单独使用,可以串并联使用,非常适合给电动汽车充电站使用,以满足其各种不同功率的充电要求。
2 实验结果分析
根据上面的设计,研制了一台功率为10 kW 的实验样机。部分实验波形如图6所示。

由图6可以看到驱动电路提供的负电压可以保证在IGBT关断时,VGE在0 V以下,而且驱动电路的抗干扰能力很好。超前臂IGBT开通时,VCE已经为零,关断时VCE缓慢上升,实现了ZVS
由图7可以看出滞后臂IGBT开通时,电流上升缓慢,关断时电流已经为零,实现了ZCS。

3 结论
本文设计了一种适合电动汽车充电的电源,该电源采用了全桥变换器拓扑和硬件电压电流环。在超前臂IGBT并联适合的电容,在变压器副边增加简单的辅助电路,实现了移相全桥ZVS、ZCS软开关技术,大大降低IGBT开关器件的损耗。本文设计的变压器加光耦的IGBT驱动电路可以实现IGBT的可靠开关,并且抗干扰能力很好,经实验验证具有非常好的效果。最后样机的实现证明了本设计的可行性。
相关推荐链接:
0人已收藏
0人已打赏
免费0人已点赞
分享
供配电技术
返回版块97.93 万条内容 · 2214 人订阅
回帖成功
经验值 +10
全部回复(0 )
只看楼主 我来说两句抢沙发