钢筋混凝土结构产生裂缝的主要原因: (1) 作用的效应(弯矩、剪力、扭矩及拉力等)引起的裂缝; (2) 由外加变形或约束变形引起的裂缝; (3)由使用环境条件作用引起的钢筋锈蚀裂缝。钢筋混凝土构件在荷载作用下产生的混凝土弯曲裂缝宽度(Crack Width),主要通过设计上进行裂缝宽度验算和构造措施上加以控制。由于影响裂缝宽度的因素非常多, 因此不同规范有着不同的混凝土裂缝宽度计算方法.

2 公路桥规
《公路桥规》规定, 对于矩形、T形和工字形截面的钢筋混凝土构件,最大裂缝宽度的计算方法如下图所示. 这种计算方法的影响因素包括:钢筋表面的粗糙度, 载荷作用的弯矩, 受弯构件的受力性质, 钢筋的弹性模量, 混凝土保护层厚度, 纵向受拉钢筋的直径, 载荷作用下的应力以及配筋率.


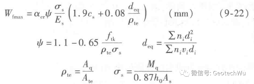
3 混凝土结构设计规范
《混凝土结构设计规范》采用综合理论计算最大裂缝宽度, 考虑了混凝土保护层厚度对裂缝宽度的影响, 同时也考虑了钢筋和混凝土之间可能出现的滑移. 这种计算方法的影响因素包括: 构件所受的弯矩值, 受拉区纵向钢筋的应力; 裂缝间纵向受拉钢筋的应变不均匀性, 保护层厚度, 有效受拉混凝土面积, 钢筋的配筋率, 钢筋截面积等.

4 ACI 318规范
在1999年之前,《ACI 318规范》中的受弯裂缝控制要求是基于Gergely和Lutz提出的所谓z-factor方法。这种算法是对大量实验数据进行统计分析的广泛统计分析得出的, 早期的ACI 318-95的版本使用了如下的关系式:

其中
beta=(h-x)/(d-x), 是中性轴和极限拉伸面之间的距离与中轴线和钢筋中心点之间的距离之比;
梁中的b=1.20,可用于比较在静力和轴向拉伸中获得的裂缝宽度;
Ao是每根钢筋周围的混凝土面积, Ao=Ae/nb,Aes是受拉混凝土的有效面积,Ae可以被定义为具有梁的全部宽度和具有相同主筋中心点的混凝土面积;
Ae=2*d_c*b,n_b是受拉钢筋的数量;
d_c是从受拉钢筋的中心点到极限受拉钢筋的距离.
自从ACI 318-05 和 ACI 318-08实施后, ACI使用了更简单的计算方法, 最主要的观点是废弃了腐蚀对裂缝宽度的影响.

裂缝间距的计算方法如下所示:

其中
s是最靠近受拉面的钢筋的最大间距,mm;
c是钢筋表面到受拉面的最小距离,mm;
fs = 0.67 fy.

5 结束语
欧洲规范 Eurocode和英国标准 British standards BS 8110制定了不同的计算方法. 总的来说, 受弯构件裂缝宽度的计算方法仍然是钢筋混凝土结构设计一个持续的研究方向, 有待发展出更简单实用的计算方法.
内容源于网络,如有侵权,请联系删除
相关资料推荐:
知识点:受弯构件裂缝宽度计算方法
0人已收藏
0人已打赏
免费3人已点赞
分享
混凝土结构
返回版块140.17 万条内容 · 2216 人订阅
阅读下一篇
局部承压的破坏形态和破坏机理1 引言 局部承压是指在构件表面上仅有部分面积承受压力的受力状态, 如下图所示. 局部承压的例子包括后张法预应力混凝土构件端部锚固区,桥梁墩(态)帽直接支承支座垫板的部分,拱上立柱对拱圈垫梁的作用,支座反力对梁底混凝土的作用等。本章主要内容包括: (1) 局部承压的破坏形态和破坏机理; (2) 混凝土局部承压强度提高系数; (3) 局部承压区的计算.
回帖成功
经验值 +10
全部回复(0 )
只看楼主 我来说两句抢沙发